
作者:华夏溯湍
在刀塔自走棋中,护甲体系传承自dota2,而其伤害公式自然也传承自dota2。在自走棋中,有两个羁绊是直接跟护甲相关联的,分别是亡灵的对对手的棋子减甲以及战士的对自己的战士棋子加护甲。那么这两个羁绊的效果究竟如何呢?我们通过一些计算来给大家展示。
当然,首先,我们来给一下有关护甲的公式。
棋子受到的伤害dmg = atk * (1-(0.052 * 护甲)/(0.9+ 0.048 * |护甲|));

图1 伤害与护甲值的关系
如图1所示,当护甲值越高时,棋子所受的伤害越少,当然,这是废话了。当然,在这里也可以把护甲当做某种生命值来看待,毕竟受到的减伤也就相当于提升了棋子本身的生命值。

图2 生命值与护甲值的关系
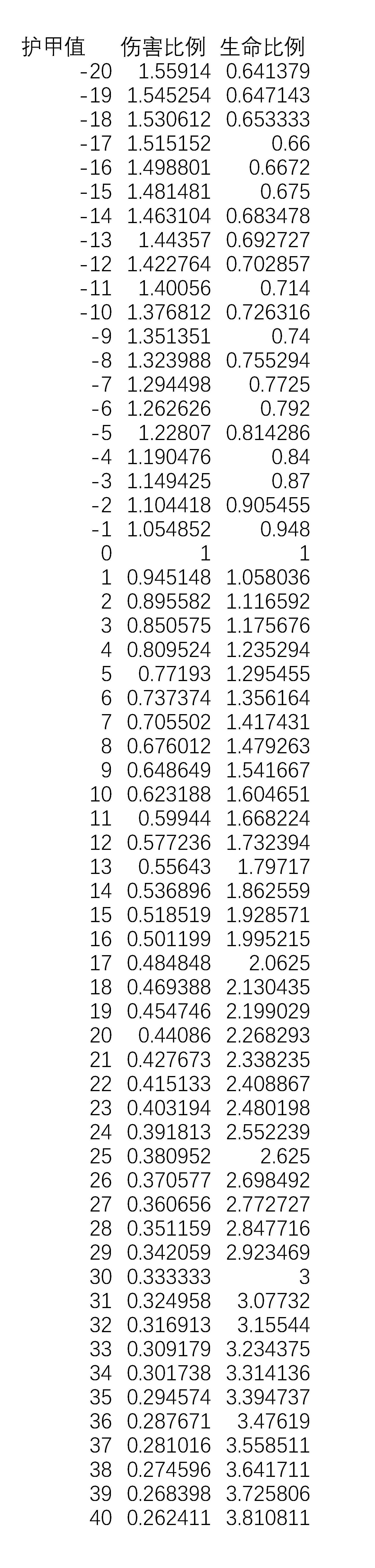
我们可以看到,护甲值可以迅速有效的提升生命值(当然这只是在受到单纯物理伤害的时候)。在护甲值为5时,生命值为原来的1.3倍左右,当护甲值为10时,生命值为原来的1.6倍左右。具体的可以看下面的表格。

表1 护甲值与伤害比与生命比例的对应关系
那么亡灵羁绊到底对于伤害有多少提升呢?
我们知道,所有的棋子的本身的护甲为0-10中的一个整数。其中,大部分棋子的护甲为0-5,少数棋子的护甲为6-10。尤其是低星低费的棋子大部分护甲都是0-5之间。如图3黄线所示,二亡灵对于伤害普遍增加1.1-1.2,尤其是其在护甲值为0-5时,增加伤害最多。如图3紫线所示,四亡灵对于二亡灵的提升在对方棋子的护甲在5-15时提升最多,在1.3以上。如图3绿线所示,四亡灵对于没有亡灵羁绊对于上海的提升非常的高,在对方棋子的护甲在5-10时达到了伤害提升的顶点,在1.6倍左右。而我们之后,后期的主要肉盾的护甲普遍在5-10中间,例如万能的船长,地精流的三星伐木机等等,可以说这1.6倍的提升是极其可观的。

图2 亡灵羁绊对于物理伤害的伤害增加比例

表3 亡灵羁绊伤害增加总表
好了,这里算完了亡灵羁绊的一些数据,可以看到四亡灵的buff可以近似为增加了60%的伤害,与六猎人相同,且所需要的人口远远小于六猎人,所以我觉得在亡灵猎中,四亡灵的buff的优先度高于六猎人,在没法同时完成四亡灵六猎人两个buff的时候,可以优先凑四亡灵配3-5个猎人就很不错了。
好,这篇文章就到此为止了,下一篇应该会计算战士的护甲相关的东西了。