大家好,我是你们的朋友摇摇。这是我个人业余时间打理的一个公众帐号,旨在从数据角度对已经公布的房源信息进行加工筛选,便于大家在摇到号之后方便的选到心仪的房子。话不多说,let's go!
项目介绍

今天(3.22)新鲜出炉一个温江区小开发商项目:湟普国际。恕摇摇常年对温江关注较少,这个盘还真心第一次听说,不过地理位置不错,地铁四号线凤凰大街站,左边的几个楼盘名气都不小,但亮点会不会是右边红框内七中温江校区呢。

选房指南
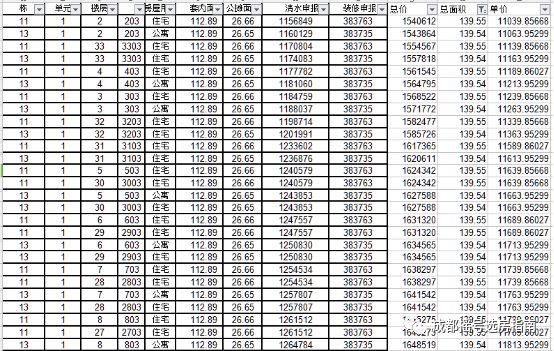
根据摇摇已整理完毕数据分析得知,湟普国际单价均价为12130元,最低价为11040元,分布于11-1-203。最高单价为13940元,分布于11栋1单元11楼1-3号房和13栋1单元201;本次全部准售房源共384 套,约89 ㎡ 2 室2 厅2 卫户型64 套,约139 ㎡ 3 室2 厅2 卫户型128 套,约140 ㎡ 4 室2 厅2 卫户型64 套,约141 ㎡ 4 室2 厅2 卫户型128 套。项目具体价格分布如下。
两 室两卫户型

因为找不到户型图,不做具体点评,但是从规划上已经深深的感觉到设计师的思路清奇了。
三室两卫户型

四 室 两 卫户型

本期选房指南就此结束。被天府新区高性价比楼盘冲击了2天,这些楼盘就觉得很一般了,摇摇个人觉得从地段上讲,其实还不错,在加上七中学区加持,改需人群应该看得上吧。虽然无户型图,但户型规划上就显得很非主流。建议喜欢西门,对教育资源有要求的朋友可以实地考察下。
预祝幸运的小伙伴们都能选到称心如意的好房子!
所有房源价格信息来源于成都房协官方网站,户型图来源于网站,人工录入难免出错,一切以成都房协官方发布房源及开发商公布户型为准,本内容仅供参考!