一、特殊角的三角函数值

二、三角函数

三、同角三角函数基本关系式

四、诱导公式

记忆时观察红色区别

记忆时观察红色区别

红色、绿色、蓝色区别
五、两角和与差的正弦、余弦和正切

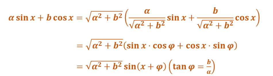
六、辅助角公式

七、二倍角公式、半角公式
1.二倍角公式:

2.半角公式:

3.降幂公式:

八、和差化积、积化和差公式
1.和差化积公式

2.积化和差公式

九、解三角形
1.三角形面积公式

2.正弦定理:


3.余弦定理:

求角:





记忆时观察红色区别

记忆时观察红色区别

红色、绿色、蓝色区别


1.二倍角公式:

2.半角公式:

3.降幂公式:

1.和差化积公式

2.积化和差公式

1.三角形面积公式

2.正弦定理:


3.余弦定理:

求角:
