

跑马拉松,如果平时训练只是围绕如何增加跑量,那成绩会在短时间内发生一次提高,不过之后就会进入平台期,无论怎么增加跑量也将会是无用功。
这时候的训练,就要专注于如何提高自己的最大摄氧量上了,这是提升马拉松成绩的关键。
不同人群的最大耗氧量通常差异非常大,未经训练的健康男性的最大摄氧量约为35-40mL /(kg·min)。未经训练的健康女性的最大摄氧量约为27-31 mL /(kg·min)。
世界级运动员通常具有较高的最大摄氧量,高水平耐力运动员可能达到70毫升/千克/分钟,精英男子跑步运动员可以达到85 mL /(kg·min)的最大摄氧量,女子精英跑步者可以达到约77 mL /(kg·min)。
有记录的世界最高Vo2Max是来自挪威的自行车手Oskar Svendsen,达到惊人的97.5毫升/千克/分钟,大家熟知的Kilian Jornet的最大耗氧量是89.5毫升/千克/分钟,传奇自行车选手阿姆斯特朗的最大耗氧量是85毫升/千克/分钟。
1、定义、作用及计算(VO 2 max)
最大摄氧量是指在人体进行最大强度的运动时,当机体出现无力继续支撑接下来时,所能摄入的氧气含量。它是人体在增量运动期间测量出的最大耗氧速率。
这个体质数据是作为耐力运动员的重要选材依据之一,它反映了个体的心肺适应度,是人体有氧运动能力的重要指标,极高的最大摄氧量是完成高水平有氧运动表现的基础。
此外,最大摄氧率与最大心率之间有一定的关系,比如最大摄氧率70%的运动强度,可近似认为最大心率的70%。
精确测量最大摄氧率的过程比较复杂,它是和运动结合进行测试,需要严格的测量条件(一般在专业的运动实验室中进行)。受试者进行递增强度的运动(通常在跑步机或者自行车上进行测试),受试者在脸上戴上面罩(用于收集呼出的每一口气),并运用气体分析仪来测量受试者呼出和吸入气体的成分变化。测试过程中还需要遵循严格的测试规程,保证排除偶然因素的干扰、保证数据准确。
以跑步机为例,受试者在测试刚开始时先从低强度慢跑开始,逐渐提高跑步机的速度。在达到某个极限点之前,受试者的耗氧量随运动强度增加而增加,当耗氧量达到此极限点时,将不再随活动强度提高而继续增加,进入“平台阶段”,这个平台极限值就是最大耗氧量。“平台阶段”也是运动人员身体感到最痛苦的时段。常规来看,整个测试需要持续10-15分钟,测试前需要受试者的身体处于完全休息状态,而“平台阶段”保持的时间越长、受试者的运动水平越高,测试结果越准确。
最大摄氧量除了用运动医学仪器进行精确的测量之外,现在的运动手表也可以大致给出一个预测值。另外,很多运动学家还提出了计算自己最大摄氧量的诸多公式,可以根据自己身体的其他指标来测算最大摄氧量。
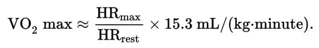
丹麦的一组研究人员创建了基于最大和静息心率的测量公式。

该方程使用最大心率(HR max)与静息心率(HR rest)的比值来预测最大摄氧量。研究人员说,转换规则是根据对21至51岁的受过良好训练的男子进行的测量。也就是说,这个公式适用于经常训练的跑者。
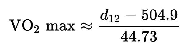
库珀测试(12分钟跑)
有氧运动之父肯尼斯·库珀在二十世纪六十年代末对美国空军进行了一项研究。其中一个方案就是库珀测试,要求测量跑者在12分钟内全力跑步。

其中d12就是在12分钟内跑步的距离(以米为单位)。
一个替代方程是:

其中dmiles 12是在12分钟内覆盖的距离(以英里为单位)。
2、最大摄氧率对跑步成绩有多重要?
答案是:没这么简单。

较多研究表明,对于那些水平较高的运动员来说,因为他们已经非常接近自己最大摄氧率的极限,所以较高的最大摄氧率只不过代表着运动潜力的一方面,并不是他们之间拉开差距的主要影响因子。相反,跑步经济性和乳酸阈的影响可能更大一些。
而且,高水平运动员中还存在一个特殊的现象:那些具有超水平最大摄氧率的人通常跑步经济性只有中等到良好,而跑步经济性极佳的人最大摄氧率只有中等到良好的水准。很少有人能在两个方面都出类拔萃。如果最大摄氧率很高,但跑步经济性很差,那么同样的速度下就要消耗更多氧气,并不具有很大优势。
跑步经济性和乳酸阈之间也有密不可分的联系。乳酸阈是指在递增强度活动中,乳酸浓度开始陡增的运动强度(一般在最大摄氧率的80%左右,因人而异),是有氧运动和无氧运动的临界点,也是一个重要的有氧耐力指标。较好的跑步经济性可以减少不必要的能量消耗,这就可以使摄入的氧气足够消耗,减少了无氧代谢产乳酸的比率,随之而来的效果就是乳酸阈值速度提高,可以保持高强度活动更长时间。
总之,最大摄氧率虽然很重要,但也只是一个单一的有氧耐力指标,并不能完全决定跑步成绩,而技术动作经济性、乳酸阈、耐乳酸能力、肌肉力量和力量耐力、心理能力等要素同样举足轻重。
3、提高最大摄氧量方法
虽然最大摄氧率很大一部分取决于遗传因素,但许多研究也显示这个数值是可以通过训练提高的(最多提高30%),主要方法就是提高训练强度和训练量。反之,当一段时间训练不系统或缺乏训练,最大摄氧率就会降低,卧床休息一周,最大摄氧率大约下降6%-7%,而停训半年基本会回到原来水平。
限制最大摄氧率的主要因素有两个:心输出量和肌肉用氧能力。
心输出量就是单位时间内心脏向外的泵血量。心输出量的增加导致血液循环加快,血液的重复利用率提高,从而提高了人体的摄氧能力。经过一定的有氧训练,运动员的心室壁会正厚,心室腔增大,从而导致泵血能力的提高。这是提高最大摄氧率的主要手段。
肌肉用氧*力主能**要体现在慢肌纤维的比例以及发达程度。因为慢肌纤维是运动时进行有氧代谢的主要场所(而快肌纤维主要进行无氧代谢),它含有丰富的毛细血管、线粒体、氧化酶,对氧气的利用率远远高于快肌纤维。
《丹尼尔斯训练法》中曾提到,最有效地提高最大摄氧量的跑步是按照现有的最大摄氧量的95%~100%的强度去跑(VO2 max 的95%~100%相当于自己现阶段3000米到5000米的比赛配速)。

经过良好训练的跑者可以在最大摄氧量的配速下坚持8分钟。
对最大摄氧量的刺激来源于在训练中最佳强度范围内所积累的时间长度,时间越长效果越好,我们来看一组具体的例子。
同一个运动员的两个不同练习安排。
经过实验表明,同样是6000米的间歇跑,一个是15组的400米,另一个是5组1200米。通常情况下,当跑400米间歇时,每组的最佳强度范围时间大约为45秒,一共会累积11分钟的最佳强度时间。
当间歇1200米时,在最佳强度范围内持续的时间会有3到4分钟,累积下来大约15到20分钟的最佳强度范围时间,所以,1200间歇相对于400米间歇会是更有利的刺激。
而对于马拉松选手来说,最佳的间歇时间应该在2到6分钟。在这个时间范围内的间歇中训练,可以尽量让单次时间长到可以让自己在95%到100%的最大摄氧量强度下,积累最够有实际作用的时间;同时又保证不会因为距离太短而尽快失去刚刚才产生作用的强度。

所以,马拉松选手的间歇最佳距离应该在800到1600之间。
训练中要尽量避免2000米的重复跑,虽然这个距离也能很好的刺激最大摄氧量,但是它会耗费很大的精力,除了精英选手之外,普通跑者至少要花6分钟的时间完成,这很容易造成疲惫而让第二天的训练效率降低,间歇训练对于马拉松跑者很重要,但绝不能占主导地位,因为马拉松选手更重要的还应该是耐力训练。
针对马拉松选手的间歇训练,距离总量应该控制在5000米到10000米之间,大多的训练要安排6000到8000米。

间歇最优休息时间有很多种说法,一种观点建议减少休息时间,让新陈代谢速率在整个训练中保持较高水平。显而易见,这样的训练将会非常辛苦,对于普通跑者来说很有可能坚持不下去。
另一种观点说在休息过程中,应该把心率降到最大心率的70%。
这里,讲一讲适合大众跑者的间歇方法,例如:用3分20跑了一组1000米,之后再安排1分40到3分钟的慢跑,如此反复即可。
下表,是最大摄氧量配速表,大家可根据自己的情况进行训练。

从上面的描述我们知道,间歇的距离长,才可以提供强有力的训练刺激,同时,距离也不能过长,这样才能有精力去完成更重要的耐力训练。

在马拉松准备期间,最大摄氧量训练并不是最重要的,这个训练的目的就是提高自己的速度能力,所以,每一周一次或者每两周一次即可,各位跑者要准确评估现在的5000米比赛成绩,它应该是在自己最佳状态和极佳的气温和跑步环境下产生的5000米成绩。
赛事组委会合作:makongduoren002(微信号)
搜索微信小程序跑步众议院,可第一时间了解跑圈最新资讯
更专业的跑步装备,戳“了解更多”即可一键购买