1、如图甲是小明探究“电流一定时,电压与电阻关系”的实验电路图.已知电源电压U=15V,滑动变阻器上标有“20Ω 3A”(实际最大阻值略小于20Ω),实验中所用的四个定值电阻分别为5Ω,10Ω,15Ω,20Ω.

解:(1)当定值电阻为5Ω,且滑动变阻器接入电路中的电阻为0时,电路中的电流最大,

(2)由图乙可知,电流表的分度值为0.1A,示数为0.8A,

所以,当ab间接20Ω电阻时,无论怎样移动滑动变阻器的滑片,都不能得到实验所要求的数据;
(3)

因滑动变阻器的实际最大阻值略小于20Ω,且电流表的分度值为0.1A,
所以,为了使这四个电阻都能为实验所用,电路中电流应控制在0.70A最合理.
故答案为:(1)0~3;(2)20;(3)0.70.
(1)根据欧姆定律求出电路中的最大电流确定电流表的量程;
(2)根据电流表的量程和分度值读出示数,利用欧姆定律求出电压表的示数,根据欧姆定律求出电路中的总电阻,然后判断不符合实验要求的电阻;
(3)当定值电阻为20Ω时,根据欧姆定律求出电路中的最大电流,当定值电阻的阻值为5Ω时,根据电阻的串联和欧姆定律求出电路中的最小电流,然后结合电流表的分度值确定电路中控制的最合理电流.
本题考查了电流表量程的选择和电流表的读数、串联电路特点、欧姆定律的应用等,关键是会根据最大定值电阻接入电路中时电路中的最大电流和最小定值电阻接入电路中时最小电流以及电流表的分度值确定控制最合理的电流值.
2、作图题
在“探究通过定值电阻的电流与电压的关系”实验中:

(1)如图所示,用笔画线代替导线,将实验电路连接完整(要求滑片左移时,滑动变阻器接入电路的阻值变小);
(2)在虚线框中画出实验电路图.
解析: (1)根据滑片左移时,滑动变阻器接入电路的阻值变小确定变阻器接线柱的连接,并与电阻串联在电路中;
(2)根据实物图画出电路图
本题探究通过定值电阻的电流与电压的关系,考查电路的连接,要注意两者的一一对应性.
所以:(1)因滑片左移时,滑动变阻器接入电路的阻值变小,即应将变阻器滑片左边电阻丝连入电路中,如下左图所示;
(2)根据实物图画出电路图,如下图右图所示:

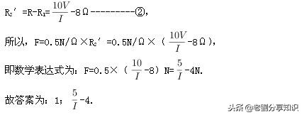
3、压力传感器的原理图如图所示,其中M、N均为绝缘材料,MN间有可收缩的导线,弹簧上端和滑动变阻器R2的滑片P固定在一起,电源电压10V,R1=8Ω,R2的阻值变化范围为0-10Ω,闭合开关S,压力F与R2的变化量成正比,F=1N时,R2为2Ω,此时电流表示数是 ______ A;当电流表的示数为I时,F= ______ N(写出关于I的数学表达式)

解:由电路图可知,R 1 与R 2 串联,电压表测R 2 两端的电压,电流表测电路中的电流.
(1)当F=1N时,R 2 为2Ω,
因串联电路中总电阻等于各分电阻之和,
所以,电路中的电流:

滑动变阻器接入电路中的电阻:

由电路图可知,R 1 与R 2 串联,电压表测R 2 两端的电压,电流表测电路中的电流.
(1)当F=1N时,R 2 为2Ω,根据电阻的串联和欧姆定律求出电路中电流表的示数;
(2)压力F与R 2 的变化量成正比,设出表达式,把F=1N时R 2 =2Ω代入得出表达式,当电流表的示数为I时,根据欧姆定律求出电路中的总电阻,利用电阻的串联求出变阻器的阻值,然后代入表达式得出答案.
本题考查了串联电路的特点和欧姆定律的应用,利用好“压力F与R 2 的变化量成正比”得出两者之间的关系式是关键.
5、 计算题
伏安法测定值电阻的实验.
(1)请在方框内(图1)画出实验电路图.

(2)图2是小红连接的电路.实验中某次电压表、电流表示数如图3,电压U= ______ V,电流I= ______ A,算出R= ______ Ω.
(3)小明发现图2的电路接线错了,电压表实际测量的是 ______ 两端的电压.
解:(1)用伏安法测定值电阻的阻值,电压表应与定值电阻并联测电压,电流表串联在电路中测电流,为提高测量的准确度,要多次测量取平均值,故应将滑动变阻器串联在电路中,如下图所示:

(1)根据伏安法测电阻的原理分析作图,为提高测量的准确度,要多次测量取平均值,故要将变阻器串联在电路;
(2)根据电表小量程读数;根据串联电路电压的规律和欧姆定律求电阻;
(3)电压表与待测电路并联.
本题用伏安法测电阻,考查电路的正确连接、测量过程及数据的处理.
6、 计算题
如图所示,电阻R1与R2并联,其总电阻可以用一个等效电阻R表示,若R1<R2,试根据并联电路中电流、电压规律以及欧姆定律等知识推证:


解析

点评:并联电路的电流规律:I=I 1 +I 2 ;
并联电路的电压规律:U=U 1 =U 2 ;
根据欧姆定律,用电阻和电压表示并联电路电流的规律,即可得出结果.
会根据并联电路的电压和电流规律,结合欧姆定律推导并联电路电阻的关系.
声明:本文老劉编辑整理,内容来自网络 ,若涉及版权问题,请尽快联系删除,谢谢!