
简单点
说话的方式简单点

假期还剩下1天,超模君还是不断地给自己打气:我热爱写文章,胜过去相亲。
前几天,超模君介绍了4个神秘的数学常数,还有几个大咖级的常数还没讲呢。
所以,超模君今天继续。。。


毕达哥拉斯常数
没错,就是那个引发第一次数学危机的数字——√2 ≈ 1.4142135623730950488。

公元前500年,有一位牛人,叫毕达哥拉斯。如果你对这位牛人有点儿陌生,那毕达哥拉斯定理应该知道吧,那就是:直角三角形中,两直角边的平方和等于斜边的平方。
在中国,这被称为“勾股定理”。
他创办了一个数学学派,叫做毕达哥拉斯学派,该学派认为:整数就像原子一样,构成了宇宙中的一切,并可以描述宇宙中的一切。宇宙间各种关系都可以用整数或整数之比来表达,除此之外,就什么都没有了。。。

而毕达哥拉斯的弟子——希勃索斯,在研究老师的定理时,发现了一个神奇的现象:边长为1的正方形,其对角线的长竟然无法用整数或整数之比表示出来!
于是,他把这个惊人的发现告诉了老师毕达哥拉斯。。。

希勃索斯本来以为老师会将这一发现公布于众,改变人们错误的认识。

没想到,老师却认为这样会动摇到毕达哥拉斯学派在学术界的统治地位,便新规定了一条纪律:谁都不准泄露存在根号2(即无理数)的秘密。
后来,天真的希勃索斯有一次无意中向别人谈到了他的发现,结果他被认为是学派的“逆贼”,被囚禁,受尽百般折磨,最后被投入爱琴海淹死。。。

关于希勃索斯的死有很多个版本,众说纷纭,但无论如何,希勃索斯都被人们当作是发现无理数的第一人。
√2就是第一个被发现的无理数,它的应用非常广泛,比如我们平常用的A4纸长宽之比就等于√2。

毕达哥拉斯树

辛钦常数
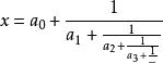
对于任意实数x,都可以写成下面的形式:

其中,a0,a1,a2……都是整数,而 [a0; a1, a2, a3, …] 就称为实数x的连分数展开。

苏联数学家辛钦Khinchin

1964年,数学家辛钦证明了一个惊人的结论:对于几乎所有实数x(除了有理数、实系数二次方程的解,以及自然对数的底e等特殊情况之外),其连分数表示式的系数ai的几何平均数会收敛到一个相同的数,且与实数x的数值无关。

这个数就是辛钦常数,用

表示。

不过,对于这个神秘的常数,人们了解的还是很少,除了它的精确值不容易求出之外,关于辛钦常数是否为无理数,到目前也还没有人能证明。

圆周率π
圆周率 π ≈ 3.14159是圆的周长与直径的比值,是精确计算圆周长、圆面积、球体积等几何形状的关键值,人类很早就认识到了圆周率的存在。
公元前3世纪初,欧几里得在其著作《几何原本》中就提到过圆周率是常数;公元前2世纪左右,中国古算书《周髀算经》中有“径一而周三”的记载,也认为圆周率是常数。
而如今用来表示圆周率的希腊字母π,本来与圆周率毫无关系,只是从1736年开始,欧拉在书信和论文中都用π来表示圆周率,久而久之,人们就普遍认同π就是圆周率了。

π应该是数学中最基本、最重要、最神奇的常数了,人类对它的探索就从来没停止过,不过,从它的出现到确定它是无理数,人类就花了3000年的时间。。。
直到1761年,德国数学家朗伯(Lambert)才证明了 π 是一个无理数。
1882 年,德国数学家林德曼(Ferdinand von Lindemann)证明了圆周率 π 是一个超越数。(不满足任一个整系数代数方程的数)

自然底数e

17世纪末,伯努利(Bernoulli)发现了一个有趣的现象,

会随着x的增大而越来越接近某个固定的数(传送门)。
半个世纪后,欧拉才仔细研究了这个问题,并用字母 e 来表示这个常数:

他不仅求出了e ≈ 2.718,还证明了 e 是一个无理数。
跟π一样,额也是一个超越数,于1873 年被法国数学家夏尔·埃尔米特(Charles Hermite)证明。

复常数
数学中,还有一个很特别的常数,就是虚数单位 i ,它是指 -1 的开平方,它的出现,瞬间将整个数域又扩充了一半。

而最美公式——“欧拉恒等式”就将世界上最基本的两个数字 0,1,以及数学中最重要最基本的三大常数π、e、i 都联系到了一起,干净利落,简直漂亮到了神圣的地步!


“超级数学建模”(微信号supermodeling),每天学一点小知识,轻松了解各种思维,做个好玩的理性派。60万数学精英都在关注!