
目录
- - - - -
1. 股权投资的一般流程
2. 投资调查之财务尽调
3. 法律尽职调查
4. 投资项目估值
5. 投资协议主要条款

私募股权投资基金的投资工作,其业务流程主要围绕投资决策开展,通常包括项目开发与筛选,初步尽职调查,项目立项、签订框架投资协议、尽职调查、投资决策、签署投资协议、投资交割等主要环节。具体交易环节如下图所示:

(一)项目的开发与筛选
项目开发主要是为了寻找股权投资金的项目来源,项目来源渠道主要包括行业研究(跟踪和研究国内外新技术的发展趋势、资本市场的动态,采用资料调研、项目库推荐、访问企业等方式寻找项目信息)、中介库机构推荐(中介机构包括律师事务所、会计师事务所、证券公司、商业银行、财务顾问等机构)、天使投资人或同行推介、企业家联盟及各级商会组织推荐、行业专家推荐、政府机构推荐(如中国各地方政府金融办、上市办、各级高新技术开发区管委会等)、行业展会、创业计划大赛、创投论坛等。
(二)初步尽职调查
初步尽职调查的核心在于对拟投资项目进行价值判断。初步尽职调查阶段,对目标公司进行初步价值判断主要从如下几个方面进行:一是管理团队;二是行业进入壁垒、行业集中度、市场占有率和主要竞争对手;三是商业模式、发展和盈利预期、政策和监管环境等的分析。初步尽职调查之前,投资经理或投资管理小组通常与目标公司签订保密协议,双方承诺对在投融资业务沟通中了解到的对方商业秘密负有一定的保密义务。
(三)项目立项
项目初步尽职调查通常由投资经理或投资管理小组完成,通过项目立项程序,引入更高级的投资管理团队成员或直接提交投资决策成员对项目质量进行判断,再决定是否投入更多资源对目标公司进行深入的投资评估。
在这一环节,主要审阅商业计划书/融资计划书,由分析师或投资经理进行初步筛选。根据项目所处的市场空间、发展阶段、投资金额、地理位置以及组合战略、退出战略等方式与基金投资标准的融合性,过滤掉不感兴趣的项目。剩下有希望的项目将做进一步评估。因此,在这一阶段,主要关注 企业和管理层的核心经历,是否有丰富的经验与资源;项目概况(包括基本情况、相关批文、证件、产品定位、资金投入与融资要求、生产计划等);重点关注产品或服务的独创性或比较优势;主要客户群或潜在客户群、营销策略;项目面临的主要风险(市场风险、原材料供应风险、环保风险)。项目立项的作用在于节约基金的管理成本,将有限的资源集中到更具潜力的项目上去。
(四)签署投资框架协议
在开始正式尽调之前,一般会与项目企业签订投资框架协议。投资框架协议即投资条款清单,由投资方提出,投资框架协议的内容通常作为投融资双方下一步协商的基础,对双方都不具有法律约束力。投资框架协议内容一般包括:资金安排(投资总额、投资价格、证券类型、股权分配、分期投资条款等);投资保护(包括红利支付政策、证券转换约定、反稀释条款、退出条款、表决权、优先购股权、股价调整等);管理控制与激励(包括董事会安排、投票权、财务报表和报告制度、管理层的肯定性条款和否定性条款以及员工股票期权计划等);相关费用的承担方式和排他性条款等。其中,企业估值是投资的核心部分,贯穿项目初审到签署正式投资协议的全部谈判过程。
(五)尽职调查
尽职调查是股权投资流程的重要环节,是投资人核心竞争力的体现,主要包括业务尽调、法律尽调和财务尽调。必要时,投资方可聘请外部机构协助完成尽职调查。其中,业务尽职调查是整个尽职调查工作的核心,目的是为了了解过去及现在企业创造价值的机制,以及这种机制未来的变化趋势,业务尽调的主要内容包括企业基本情况(包括企业的工商登记资料、历史沿革、组织机构、股权架构以及主要股东的基本情况等)、管理团队(主要包括董事会成员及主要高级管理人员的履历介绍、薪资体系、期权或股权激励机制等)、产品或服务(包括产品/服务的基本情况、生产和销售情况、知识产权、核心技术及研发事项等)、市场(包括企业所属行业分类,相关的产业政策,竞争对手、供应商及经销上情况、市场占有率以及定价能力等)、发展战略(包括企业经营理念和模式,中长期发展战略及近期战略,营销策略以及未来业务发展目标等)、融资运用(包括企业融资需求及结构,计划投资项目,可行性研究报告及政府批文等),风险分析(包括市场、项目、资源、政策、竞争、财务及管理等方面)。针对不同发展阶段的目标公司调查内容也有所不同,在早起发展阶段,关注重点在于管理团队和产品服务,扩张器主要针对管理团队、产品服务、发展战略及市场因素,成熟期主要关注管理团队、资产质量、融资结构、融资运用、发展战略和风险分析等。财务尽调和法律尽调将在后续进行专门分析。
(六)投资决策
股权投资基金管理人通常设立投资决策委员会行使投资决策权,投资决策委员会委员可由股权投资基金管理人的高级管理团队成员担任,也可聘请外部专家担任。通常由投资管理人董事会或执行事务合伙人负责制定投资决策委员会聘任和议事规则。投资经理或项目小组完成尽职调查之后,向投资决策委员会提交尽职调查报告、投资建议书和其他文件资料,由投资决策委员会进行最终投资决策。
(七)签署投资协议
投资决策委员会审查通过投资项目后,投融资双方对投资协议条款进行谈判,最终签署投资协议,约定双方的权利义务。投资协议的内容包括:通过具体条款约定股权投资的具体方案,约定目标公司的控制权分配和利益分配等事项。
(八)投资交割
投资协议正式生效后,进入投资交割环节,股权投资基金管理人将约定的投资款项按照约定的时间和金额划转至被投资企业或其他股东的账户,若股权投资基金办理了托管,划款操作需经过托管人的核准办理。被投资企业应依据投资协议以及相关法律法规规定进行工商行*变政**更登记,并依据投资协议约定变更公司章程。

财务尽调主要关注目标公司的历史财务业绩的情况,并对未来财务状况进行合理预测。调查内容包括企业的历史经营业绩,未来盈利预测、营运资金、融资结构、资本性开支以及财务风险敏感度分析等。其作用在于为投资及整合方案设计、交易谈判、投资决策提供支撑,进而判断投资是否符合战略目标及投资原则。财务尽调是为了了解目标公司的资产负债、内部控制、经营管理的真实情况,揭示其财务风险,分析盈利能力,预测目标公司未来前景等起到重要作用。财务尽调的基本流程如下图所示:

(一)基础分析工作
1、在基础材料的调取和收集
主要收集审计报告(需盖红章,且会计师事务所出具无保留意见);经审计后的财务报表及附注(审计报告分为两部分,一是意见页,即对企业的财务状况、经营成果、现金流量做出专业意见;二是财务报表及附注,包括资产负债表、利润表、现金流量表及所有者权益变动表,附注主要是对财务报表中提及的重要科目的注释);科目余额表(全面反映所有的报表科目在当年的变动情况,与明细账相比科目余额表不体现具体的交易事项,只是汇总反映当年的借贷情况,一般财务分析时,先看科目余额表,然后追到明细账);明细账;序时账(按照时间顺序完成反映当年所有的交易记录),*款贷**合同与*款贷**卡信息(反映企业当前的金融负债情况,同时可以根据企业*款贷**信息计算出财务费用,从而倒算出企业有无民间高利贷)。
2、主营业务分析
一是主营业务收入分析。一方面,把最近三年的主营业务收入,按照品种、客户、渠道、区域四个维度划分收入结构,同时将主营业务收入拆分成产品销量,产品单价两个部分,通过分析销量和单价的变动情况和变动趋势,了解导致企业主营业务收入波动的原因;另一方面,将主营业务收入波动情况与管理层的访谈描述做比对,从而对企业收入规模的历史增长情况与发展趋势做出准确判断,并对一些异常的波动和趋势或与管理层描述不一致的趋势标注出来,与管理层进行讨论。
二是主营业务成本分析。一方面,把最近三年的主营业务收入,按照品种、客户、渠道、区域四个维度划分成本结构,同时将主营业务成本拆分成产品销量、产品单位成本两部分,通过分析销量和单位成本的变动情况及波动趋势,了解导致企业主营业务成本波动的原因,与此同时,将单位成本拆解成原材料成本、人工成本、制造费用等,并分析单位成本中的构成,从而对企业的成本波动做出判断。另一方面,将成本波动情况与管理成的访谈描述进行比对,从而对企业主营业务成本的历史增长情况及发展趋势做出准确的判断,并对一些异常的趋势或与管理层描述不一致的趋势进行标注,与管理层进行讨论。
三是主营业务毛利及毛利率分析。一方面,要根据上述主营业务收入和成本表格,把最近三年的主营业务毛利情况,按照品种、客户、渠道、区域四个维度划分,分别计算每一项的主营业务毛利结构,贡献及占比,同时根据单价和单位成本的情况,分析主营业务毛利及主营业务毛利率的情况及变动趋势。
3、期间费用分析
一是销售费用。取得并分析最近三年销售费用的绝对额与增长率的情况,并与收入增长率相比对,对于异常的波动浮动标记下来与管理层进行讨论;把最近三年的销售费用按照明细科目分类,分别比较最近三年销售方费用的绝对额与增长率情况,对于异常管理费用明细科目的波动浮动标记下来与管理层进行讨论(特别关注管理人员薪酬、研发费用、折旧与摊销等);计算每年管理费用的销售占比(销售费用/销售收入),分析管理费用占比的波动趋势与原因, 并就异常波动趋势与原因与管理层进行探讨。取得每年销售人员的数量,分别计算单位销售人员的销售费用花费。
二是管理费用。把最近三年的管理费用按照明细科目分类,分别比较最近三年销售费用的绝对额与增长率情况,对于异常管理费用明细科目的波动浮动标记下来与管理层进行讨论(着重关注管理人员薪酬,研发费用、折旧和摊销等);计算每年管理费用的额销售占比(销售管理费用/销售收入),分析管理费用占比的波动趋势与原因,并就异常波动情况与管理层进行讨论;取得每年销售管理人员的数量,分别计算单位管理人员的管理费用薪酬花费;对于科研型企业,针对研发费用进行分析,研发费用的绝对额变动及销售费用占比;对折旧与摊销,按照企业现有的会计政策重新测算折旧与摊销。
三是财务费用。根据取得的*款贷**合同情况,重新测算财务费用的金额,并与企业账面确认的财务费用进行比对,确保没有高利贷利息支出。
4、直接法进行现金流量分析
一是经营性现金流入分析。将经营性现金流入与主营业务收入相比较,看当期实际的销售回款与会计确认收入的差异。经营性现金流量收入反映了当期销售收入的收款质量,是企业自身造血能力和持续经营能力的体现。一般情况下二者有差异,但是对于大额的差异保持警惕,差异项一般是应收和预收款项。
二是经营性现金流出分析。将经营性现金支出与主营业务成本相比较,看当期实际的成本付款与会计确认成本的差异。经营性现金流量支出反映了当期实际支付的成本费用与会计确认成本的差异,是企业费用控制水平及供应商管理水平的体现。一般情况下二者是有差异的,差异项是存货、应付和预付科目。
三是投资性现金流量分析。反映公司在投资性现金流量上的净额,包括参股投资、金融投资、固定资产的采购与处置。投资性现金流量对于成长性企业来说一般为负数,因为会持续会扩大产能,进而带来在建工程及固定资产投资,该部分关注投资性现金流的大额波动,并与管理讨论。
四是筹资性现金流量分析。该部分主要反映筹资性现金流量,具体包括金融债务的借与还,股权融资及回购,利息与分红等。该部分侧重关注负债的周转情况,以及当期支付的银行利息费用情况,并与财务费用相比较。
进行现金流量分析时,应重点关注现金流的分类,尤其是对大额的异常波动保持警惕,管理层经常通过有意或无意的分类错误,营造现金流良好的假象,如将大额的存货采购放到投资性现金支出,应收票据贴现费用未反映到财务费用,购买理财产品未反映到投资现金流量中。
5、资产负债结构分析
在资产结构与质量上,主要关注流动资产/非流动资产占比波动趋势并分析原因;在负债结构与偿债压力上,主要关注负债结构组成及到期时间带来的偿债压力;在所有者权益构成与资产增长趋势关系上,如果资产的增长主要是由未分配利润增加驱动,则表明企业进入了良性循环的轨道。
在资产负债科目分析上,主要关注如下几个重点科目,一是应收账款(着重关注绝对额、增长额、增长率、应收账款周转率的变动、判断企业的客户授信情况及回款情况);二是存货(着重关注绝对额、增长额、增长率、存货周转率的变动,判断企业的产品销售情况及是否存在滞销,对于答复变动保持怀疑态度并寻找合理的解释);三是关注预收账款(主要验证企业关于供应链地位的说法是否准确);四是应付账款(同时是用来验证企业关于供应链地位的说法,关注企业是否能够充分利用供应商信用融资);五是银行*款贷**(借此评判银行对于企业的评价);六是固定资产(分析企业是重资产型企业还是轻资产型企业);七是无形资产(该部分分析需要与研发/技术,法律上的知识产权情况相结合进行分析);八是关注其他应付款、其他应收款和待摊费用(该部分侧重关注关联方的往来款,防止该公司变成创始人的提款机)。
6、财务指标分析
一是盈利能力指标,主要关注的指标包括主营业务毛利率(主营业务毛利/主营业务收入);期间费用率(期间费用/主营业务收入);税前经营利润率(税前经营利润/主营业务收入);净利润率(净利润/主营业务收入);
二是周转能力指标,主要关注的指标包括应收账款周转率(应收账款/主营业务收入);存货周转率(存货/主营业务成本);预付账款周转率(预付账款/主营业务成本);应收账款周转率(应付账款/主营业务成本);预收账款周转率(应收账款/主营业务收入)。
三是资产负债结构指标。主要关注的指标包括流动比率(流动资产/流动负债);速动比率(速动资产/流动负债);资产负债率(负债/总资产);权益比率(负债/所有者权益)。
四是运营指标。主要关注的指标包括总资产收益率(净利润/总资产);净资产收益率(即ROE,为净利润/净资产)。
(二)访谈工作重点
1、CFO访谈
CFO是企业的财务总监和总负责人,对于企业的整体财务状况和宏观情况更为了解,但是对于具体的数字或某项交易的情况不甚清楚,因此针对CFO的访谈更多的是宏观层面。其访谈的目的主要集中在公司财务业绩的总体情况(将CFO的描述与实际财务表现相比对,并对二者矛盾的地方进行追问并寻求合理的解释,其中关联的科目主要包括收入、成本、毛利、毛利率、期间费用率、净利润、净利润率);公司近三年的现金流状况(将CFO的描述与实际财务表现相比对,并对二者矛盾的地方进行追问并寻求合理的解释,其中关联的科目主要包括经营性现金流量、投资性现金流量、筹资性现金流量);公司的资产负债情况(将CFO的描述与实际财务表现相比对,并对二者矛盾的地方进行追问并寻求合理的解释,其中关联的科目主要包括流动资产、非流动资产、流动负债,非流动负债和所有者权益)。CFO大都不了解会计做账细节,因此与CFO就某个科目的重大波动及异常经常是没有意义的,与CFO沟通主要是对整个报表的宏观状况进行了解,并对一些整体财务数据波动进行沟通。
2、财务经理访谈
财务经理是公司负责财务记账的主要负责人,负责组织收入会计、成本会计、往来账会计及出纳对公司的日常经营活动交易进行会计记录的重任,因此对于一些项目的异常波动会比较敏感。对其访谈可以主要关注公司主营业务情况(沟通主营业务收入、价格、销量、单位成本的波动及未来发展趋势。通过沟通,结合CFO的访谈,从而对公司过去三年的主营业务情况形成一个认识框架,在此基础上对公司的持续盈利能力做出判断);公司期间费用情况(就销售费用、销售费用率、管理人员薪酬、研发费用、折旧、招待费、广告费的的波动及未来发展趋势。通过沟通,结合CFO的访谈,从而对公司过去三年的期间费用的状况形成一个认识框架,在此基础上对公司的费用销售占比及费用控制能力做出判断);公司现金流情况(就经营性现金流入与营业收入的匹配,经营性现金流量与净利润的匹配,现金流量的异常波动进行分析,就公司现金流质量与其净利润的匹配情况进行分析,从而对公司的净利润的现金质量作出分析)。
3、审计师访谈
审计师是对公司财务状况、盈利能力、现金流量进行专业判断的第三方机构,如果审计师的专业性和独立性没有存疑,与审计师就审计发现的问题进行沟通,能够极大的减轻尽调的财务尽调工作压力。
(三)财务分析框架
1、宏观层面上的财务分析框架
首先应对行业的发展趋势有个明确的判断,就收入和利润的变化是否与行业近年的发展趋势相一致做出判断;其次要对企业的竞争力进行分析,也即通过收入和利润率的数据分析行业内的竞争情况,通过应收账款和预收账款分析来自下游的压力,通过应付账款与预付账款分析来自上游的压力,通过存货的数据分析来自下游的压力和自身的营运能力。最后通过收入、应收账款和存货的变化,结合现金流情况,及固定资产和在建工程的变化分析企业未来的发展趋势。
2、将业务发展与财务尽调互相印证

3、以销售净利润为核心构建盈利能力分析框架

4、现金流分析
通过对现金流的分析主要是分析持续现金创造能力。关注的重点主要是有造血功能的经营性现金流量、能够实现循环的投资性现金流量和拥有输血能力的筹资性现金流量三个方面。

法律尽职调查是对相关法律事务具有法律意义的背景资料进行应有的调查,使相关法律事务的处理建立在客观、全面的信息基础之上,以确保相关法律事务的处理能够达到预期的结果,而不因相关信息在真实性、完整性、全面性、合法性等方面的原因影响预期目标的实现。
(一)法律尽调观察的重点
1、基本情况
一是公司最新证照,具体包括最新营业执照(正本和副本)、最新工商信息登记单、组织机构代码证、税务登记证(如已多证合一则无需提供)、银行开户许可证、银行信贷登记系统*款贷**卡及记载明细、最新企业信用报告、最近三年企业年度报告、最新社会保险登记证、外商投资企业批准证书(适用于外资企业)、外汇登记证(适用于外资企业)、外债登记证(适用于外资企业)、国有资产产权登记证(适用于国有控股/参股/全资)等;
二是公司最新章程;
三是公司股权构架图(包括公司股东及实际控制人、公司控股及参股子公司,分公司等);
四是公司现任董事、监事及高级管理人员名单及任职兼职情况;
五是现任法定代表人身份证明;
六是若有被列为企业信用信息公示系统严重违法企业公示名单情形,需详细说明原因及应对措施。
2、历史沿革
一是自工商行政管理部门副职的全套工商档案资料,加盖工商查询专用章;
二是主管部门关于同意公司设立及历次股权或投资者变更的批准文件;
三是引进投资者相关的股东协议、增资协议、股转协议;
四是实施员工持股计划或股权激励的安排文件,如股权协议、激励方案及制度等,持股平台设立及变更设计的工商档案及信息;
五是股权代持协议/安排。包括通过信托、委托、代管等形式售权第三方代为形式股权的协议或相关文件;
六是股权回购协议(包括任何形式的回购选择权安排及回购承诺);
七是公司股权受到任何质押、查封、冻结或其他司法强制执行措施等权利限制/第三方权利的相关文件;
八是公司股权是否存在权属争议的情况说明;
九是公司合并、分立、改制的相关文件(包括合并、分立、改制的内部决议文件、政府审批文件、债权债务处理文件、公告文件、工商变更登记文件等)。
3、公司股东
一是公司法人股东最新营业执照、外商投资企业批准书(外商投资企业适用)、现时有效的公司章程及其他组织性文件、股权结构、最近一期的财务报告;
二是公司自然人股东身份证明文件;
三是提供对公司债权的承诺函(如有);
四是最近一年及最近一期的经审计财务报告。
4、业务资质
一是现实有效的资质证书、及与此一致的申请材料及现状材料(如建筑业资质证书/高新技术企业证书);
二是与公司章程所列经营范围一直的其他资质证书及行政许可文件。
5、主要资产
一是土地情况汇总表。如果是国家授权经营,应查阅国土部门对收取那经营及土地处置方案的批文;如果是划拨土地,则应查阅国土部门的划拨文件;如果是国土部门出让土地,则应查阅国有土地使用权出让合同,不动产权证书/国有土地使用权证,土地出让金支付收据等;如果是从第三方(第三方已经取得了国有土地使用权证)通过转让方式取得的,应查阅第三方与国土部门签订的国有土地出让合同,国有土地使用权转让合同,不动产权证书/国有土地使用权证,土地转让价款支付证明等;如果是从国土部门通过租赁方式取得,则应查阅国有土地租赁合同,不动产权证书/国有土地使用权证,租金支付凭证等。
二是房地产情况汇总表。如果是已经建设完成并取得产权证的物业,应查阅不动产权证书/房产证;如果是从第三方受让的物业,则应查阅不动产权证书/房产证。如果还未取得不动产权证书/房产证的,需查阅第三方不动产权证书/房产证、购买合同、房价支付证明,未办理产权证原因说明;如果是出租的房产,应查阅不动产权证书/房产证、土地证、出租合同、出租许可证、租赁登记证;如果是无证土地及房产,应了解形成原因、*证办**预期和障碍说明。
三是查阅公司拥有较大价值的额重大机器设备及机动车辆清单,并提供购买发票、购买合同和权属证书。
四是公司拥有的知识产权清单。查阅公司持有或拥有的全部专利、商标、服务表示、商号、专有技术、标志、域名、著作权清单及有关注册证书、若有正在申请或注册过程中的,需查阅申请或注册材料;公司与他方定力的有关专利(专利申请书)、商标、专有技术、域名的转让、许可协议(公司作为转让方或受让方,许可方或被许可方)及有关登记注册证明;现存潜在有关公司所有或第三方所有的专利、商标、商誉、专有技术、域名或其他知识产权的争议或纠纷;公司对外签署的委托资产管理/委托投资合同/信托合同/基金合同。
6、重大债权债务
一是重大债权。需查阅公司作为债权人的借款合同及相关担保合同(含担保登记文件),以及公司关于上述合同的履行情况说明;
二是重大债务。查阅公司与银行之间的借款合同及相关担保合同(含担保登记文件)、公司与关联方或其他公司之间的借款及担保合同(含担保登记文件)、股东借款合同和担保合同(含担保登记文件)、涉及外债的需查阅外管局的相关批文和登记文件,以及公司上述合同履行情况的说明。
三是其他融资合同。查阅公司通过信托、收益权、资产证券化、融资租赁或其他方式融资的相关合同履行情况的说明。
四是或有负债。查阅公司为关联方或其他方提供担保的担保合同及相应的主合同及担保登记文件,并就上述合同履行情况进行了解。
五是其他债权债务关系。
六是对尚未履行完毕的债权债务进行统计。截止尽调之日公司现有的情况统计,包括向银行、其他按金融机构*款贷**、股东借款,与供应商/客户及其他方之间尚未结清的往来款、*款贷**等。梳理债权人名称、尚未清偿完毕的债务数额、利息数额,并梳理是否超过诉讼时效;梳理公司提供的任何形式的担保情况汇总表及相关文件;梳理其他应收款余额在前20位的明细;梳理其他应付款在前20位的明细。
7、重大合同
一是重大业务合同,具体包括供应端和销售端,供应端方面,主要包括业务上游产品或服务,设备采购、业务外包、委托管理合同等;销售端方面,主要包括业务下游销售合同/经销合同/买卖合同、咨询服务合同、代理合同、合作合同和居间合同等。
二是项目建设合同,该部分合同依据法律法规需要招标投标的,需要同时查阅招投标相关文件(包括政府核准招标方式的文件,一般记载于项目核准文件和备案文件之中)。其中,工程合同(具体包括总包合同、分包合同、设计合同、监理合同等)及公司关于合同履行情况书面说明和合同款支付台账;采购合同(主要包括设备采购合同,其他各项重大设施、设备和材料采购合同)及公司关于合同履行情况书面说明和合同款支付台账;安装合同(如电梯/附体安装合同,强/弱电工程安装合同,其他安装合同等)及公司关于合同履行情况书面说明和合同款支付台账;与项目建设相关的其他合同(如消防、项目咨询、工程管理等)。
三是物业租赁合同。应查阅租赁合同、联营/合作协议、公司关于租赁情况的明细、租赁备案证明、《关于涉外建设项目国家安全事项审查的合格证》(适用于涉外租赁)、消防部门关于经营性物业租赁的审批及验收文件。
四是就关联交易特别事项的查阅。需要目标公司提供清单,列出在过去三年每年前十大供货商和前十大客户,及该等供货商(或客户)业务合作期限,并提供相应的合同样本,在此基础上确认是否构成关联方及何种类型的关联关系。如果存在关联交易,应提供相应的证明文件,如合同、内部决策文件等。检查关联交易是否合法合规以市场公允价格进行。
8、税务及财政补贴
结合公司最近三年审计报告及最近一期财务报表,根据访谈情况明确公司目前主要适用的税种和税率,查阅公司任何时期所接到的所有税务部门签发的而涉及公司欠税通知和欠税罚单;查阅税务部门或审计师出具的公司自成立以来历年的完税证明或纳税凭证;公司享受税收、规费优惠或财政补贴的任何政府批准文件/收款凭证(包括任何认定公司具备享受减免税资格的批复和批准证书,任何政府部门同意对公司提供先征后返,财政补贴等待遇的批准文件和通知等);查阅有关公司及其主要子公司相互之间及其与关联公司有关税务安排的任何协议、文件或证明,包括但不限于提供税务担保或代为承担纳税义务等方面的任何文件;此外,还可以通过查验公司历年分红情况(利用分红方案和股东会决议与税务情况进行交叉验证)。
9、环境保护、产品质量与技术标准
一是查阅现时有效的排污许可证或申请/续期材料;二是查阅最近三年排污费缴纳凭证及环保设施实际运行说明;三是查阅已收到货极有可能收到的环保罚款通知,或监管部门要求公司说明某种情况的通知;四是查阅现时有效的产品或服务质量管理标准及实际执行情况说明,各级政府抽检或曝光或央视/地方卫视315晚会公开揭露情况的说明。
10、公司治理情况
一是查阅公司现行组织结构图及实际运行情况说明;二是查阅公司成立至今全部公司章程及修订案;三是查阅最近三年全部股东会会议、董事会/执行董事、监事会/监事决议和会议记录/纪要;四是查阅现行有效的股东会、董事会、监事会会议议事规则;五是查阅现时有效的各项内部规章制度目录清单及重要制度的全文。
11、重大诉讼、仲裁及行政处罚、行政复议及其他法律程序
一方面,要查阅任何涉及公司(含其控股股东及实际控制人)、董事、监事和高级管理人员的已经发生的,正在进行的或有明显迹象表明可能要发生的重大诉讼、仲裁或行政处罚、行政复议、涉嫌被追究刑事责任的情况,包括但不限于起诉状、答辩状、申请书和通知书等;判决书、裁定书、调解书、和解协议、处罚书、调查函、决定书等,以及现时最新进展情况。另一方面,任何涉及到公司财产或其控股股东财产(包括但不限于其在公司及其主要子公司之股权上)的行政机关、司法机关的查封、冻结及其他强制执行的措施或程序等。
(二)常用法律尽调工具
1、主体资格及基本信息查询网站
(1)国家企业信用信息公示系统:
http://www.gsxt.gov.cn/index.html
(2)组织机构代码证查询网站:
http://www.nacao.org.cn/publish/main/85/index.html
(3)各省、市级信用网
(4)小微企业名录:
http://xwqy.gsxt.gov.cn/
2、信用查询网站
(1)全国组织机构代码管理中心:
http://www.nacao.org.cn/
(2)信用中国:
http://www.creditchina.gov.cn/
(3)中国人民银行征信中心:
http://www.pbccrc.org.cn/
(4)绿盾企业征信系统:
http://www.11315.com/
3、诉讼仲裁情况
(1) 中国裁判文书网:
http://wenshu.court.gov.cn/
(2)全国法院被执行人信息查询:
http://zhixing.court.gov.cn/search/
(3)全国失信被执行人公示系统:
http://shixin.court.gov.cn/
(4)人民法院公告查询系统:
http://www.live.chinacourt.org/fygg/ggsdsearch.shtml
(5)人民法院诉讼资产网(拍卖公告查询系统):
http://www.rmfysszc.gov.cn/
(6)淘宝司法拍卖:
http://sf.taobao.com/
4、税收
(1)增值税一般纳税人资格查询:
http://www.foochen.com/zty/ybnsr/yibannashuiren.html
(2)高新技术企业认定:http://www.guogao.org/
5、知识产权
(1) 中国商标局商标查询系统:
http://wsjs.saic.gov.cn/
(2)中国及多国专利审查信息查询:
http://cpquery.sipo.gov.cn/
(3)中国版权保护中心:
http://www.ccopyright.com.cn/
6、行政处罚情况
(1)税务合规性:除被调查对象提供税务合规证明外,可通过地方税务的网站查询被调查对象税务处罚的情况。如上海地税局:
http://www.tax.sh.gov.cn/pub/
(2)环保局行政处罚查询网站:
http://www.zhb.gov.cn/home/ztbd/rdzl/cxbwx/xzcf/
(3)行业合规性:对于不同的被调查公司,需登入相关主管部门的网站查询行政处罚的情况,如调查医药类的公司,需要登入国家食品药品监督管理总局网站核查重大行政处罚的情况;如调查网络类公司,需要登入工信部的网站核查重大行政处罚情况。
7、投融资证券业务
(1) 上市公司公示系统-巨潮网:http://www.cninfo.com.cn/new/index
(2)证监会行政处罚及市场禁入情况查询,中国证监会:
http://www.csrc.gov.cn/pub/newsite/
(3)上海证券交易所监管措施查询:
http://www.sse.com.cn/disclosure/credibility/supervision/measures/
(4)深圳证券交易所查询:
http://www.szse.cn/index/index.html
(5)独立董事、董秘等查询系统:(上交所)
http://www.sse.com.cn/services/training/participants/independent/
(6)全国中小企业股份转让系统(新三板):
http://www.neeq.com.cn/
(7)中国银行间市场交易商协会:
http://www.nafmii.org.cn/
(8)中国外汇交易中心:
http://www.chinamoney.com.cn/
(9)北京金融资产交易所:
http://www.cfae.cn/
8、基金
(1)中国证券投资基金业协会信息公示系统:http://gs.amac.org.cn/
(2)基金从业人员资格考试成绩查询:
http://person.amac.org.cn/pages/login/exam_query.html
9、行政资质
(1)建设工程相关资质通过住房和城乡建设部查询平台查询:
http://www.mohurd.gov.cn/wbdt/dwzzcx/index.html
(2)食品、药品行业相关资质通过国家食品药品监督管理总局网站查询:
http://samr.cfda.gov.cn/WS01/CL0001/
(3)ICP/IP地址/域名信息查询通过工业和信息化部ICP/IP地址/域名信息备案管理系统查询:
http://www.miitbeian.gov.cn/publish/query/indexFirst.action
10、域名、微信公众号、微博
(1)域名:ICP/IP地址/域名信息备案管理系统:
http://www.miibeian.gov.cn
(2)ICP备案查询网:
http://www.beianbeian.com/
(3)美橙互联网站备案平台:
http://beian.cndns.com/
11、企业环保、消防、劳动
(1)国家环保部:
http://www.mee.gov.cn/
(2)各地区环保部门官网:主要针对企业所在地的环保部门的公开信息,如年度重点排污单位名录、年度国家重点监控企业名单等。
(3)中国消防网:
http://119.china.com.cn/
(4)各地区消防官网
(5)其他劳动、社保等方面情况的核查,可参照环保、消防查询企业所在地区的政府主管部门官方网站,侧重信息公示和披露部门。
12、关联方核查之国(境)外公司资料核查
(1)HongKong(香港)公司注册处综合信息系统:
http://www.icris.cr.gov.hk/csci/
(2)中国台湾:经济部商业司:
http://gcis.nat.gov.tw
(3)美国:Wysk B2B Hub
http://www.wysk.com/index/
(4)新加坡:ACRA Website
https://www.acra.gov.sg/home/
(5)澳大利亚:
Australia BussinessRegister ABN Lookup
(6)印度:Ministry of corporate Affairs
http://www.mca.gov.in/
(7)德国:
Firmenwissenhttp://www.firmenwissen.de/index.html
13、上市公司(中国大陆境外)
(1)香港联交所。香港联交所披露网址:
http://www.hkexnews.hk/index_c.htm
(2)美国上市公司:
https://www.sec.gov/edgar/searchedgar/companysearch.html
(3)英国伦敦证券交易所:
http://www.londonstockexchange.com/home/homepage.htm
(4)新加坡交易所:
http://www.sgx.com/
14、知识产权查询(中国大陆境外)
(1)香港知识产权署网上查询系统:
http://ipsearch.ipd.gov.hk/index.html
(2)马德里商标查询系统:
http://www.wipo.int/romarin/search.xhtml
(3)韩国知识产权查询系统:
http://www.kipo.go.kr/kpo/user.tdf?a=user.english.main.BoardApp&c=1001
(4)欧盟商标:
https://euipo.europa.eu/ohimportal/en/
(5)美国知识产权查询平台:
https://www.uspto.gov/

估值时投资最重要的环节之一,估值条款也是投资协议的重要内容。股权投资基金投资之前,需要考虑该项投资的性质、事实和背景,为之选择恰当的估值方法,并结合市场参与者的假设,采用合理的市场数据和参数对目标公司进行估值,明确目标公司的公允价值。目前针对股权的估值方法,主要包括相对估值法(具体估值方法包括市盈率倍数法,市净率倍数法,市销率倍数法,企业价值/息税前利润倍数法,企业价值/息税折旧摊销前利润倍数法),这主要适用于创业投资基金和并购基金,常见于天使投资和成本资本;折现现金流估值法(红利折现模型,股权自由现金流折现模型,企业自由现金流折现模型),这要适用于目标公司现金流稳定、未来可预测性较高的情形;创业投资估值法(基于目标收益率,倒推当前价值)主要适用于创业早期企业的估值;其他估值法(如成本法、清算价值法等)中,清算价值法主要适用于杠杆收购和破产策略投资。
(一)相对估值法
相对估值法主要是依据可比公司的价格为基础,评估目标公司的相应价值,评估价值可以使企业价值或股权价值。计算公式是:
目标公司价值=目标公司某种指标*(可比公司价值/可比公司某种指标),公式中,“可比公司价值/可比公司某种指标”被称为倍数。
估值步骤:一是选取可比公司,可比公司是与目标公司所处的行业、公司主营业务或主导产业、公司规模、盈利能力、资本结构、市场环境以及风险度等方面相同或相近的公司;二是计算可比公司的估值倍数,若目标公司和可比公司属于某一特殊行业,可使用复核该行业特点的估值倍数;三是计算适用于目标公司的可比倍数。通常选取若干可比公司,用其可比倍数的平均值或中位数(剔除异常值)作为目标公司的倍数参考值,并适当调整;四是计算目标公司的企业价值或股权价值。
该估值方法运用简单,易于理解;主观因素相对较少,可以及时反映市场看法的变化,但是该估值方式受可比公司企业价值偏差影响;分析结构的可靠性受可比公司质量的影响,有时很难找到适合的可比公司。
1、市盈率倍数法
市盈率倍数法(P/E)反映一家公司的股权价值相对其净利润的倍数。计算公式为:
可比公司市盈率倍数=股权价值/净利润=每股价值/每股收益
目标公司股权价值=净利润*市盈率倍数
目标公司每股价值=每股收益*市盈率倍数
市盈率倍数法用利润指标来估值,净利润属于股东,没有反映债权人的求偿权,因此当目标公司与可比公司的资本结构差异较大时结果可能有误。
盈利数据的选择上,一是最近一个完整会计年度的历史数据;二是最近12个月的数据,使用历史数据计算市盈率时通常采用该数据;三是预测年度的盈利数据,股权投资基金投资实践中多使用该数据。
2、市净率倍数法
市净率倍数法(P/B)主要反映一家公司的股权价值相对其净资产的倍数。计算公式为:
可比公司的市净率倍数=股权价值/净资产=每股价值/每股净资产
目标公司的股权价值=净资产*市净率倍数
目标公司的每股价值=每股净资产*市净率倍数
因为资产流动性较高的金融机构净资产账面价值更加接近市场价值,所以市净率倍数法比较适用于此类企业,银行业的估值通常采用市净率倍数法。
3、市销率倍数法
市销率倍数法(P/S)反映了一家企业的股权价值相对其销售收入的倍数。计算公式为:
可比公司市销率倍数=股权价值/销售收入=每股价值/每股销售收入
目标公司股权机制=销售收入*市销率倍数
目标公司每股价值=每股销售收入*市销率倍数
市销率倍数法主要适用于净利润可能为负,经营性现金流也可能为负,账面价值低的创业企业;此外市销率倍数法主要适用于销售成本率较为稳定的收入驱动型企业,如公共交通、商业服务、互联网、制药及通讯设备制造公司等。
4、企业价值/息税前利润倍数法
企业价值/息税前利润倍数法(EV/EBIT),其中,息税前利润(EBIT)是在扣除债权人利息之前的利润,所有出资人(股东和债权人)对息税前利润都享有分配权,因此,息税前利润对应的价值是企业价值(EV)。息税前利润是向所有股东和债权人分配前的利润,所以EV/EBIT倍数法提出了资本结构的影响。计算公式如下:
可比公司企业价值/息税前利润倍数=企业价值/息税前利润
其中,息税前利润(EBIT)=净利润+所得税+利润
目标公司企业价值(EV)=EBIT*(EV/EBIT倍数)
目标公司股权价值=企业价值—净债务
5、企业价值/息税前折旧摊销前利润倍数法
企业价值/息税前折旧摊销前利润倍数法(EV/EBITDA),其中,息税前折旧摊销前利润(EBITDA)是扣除利息费用、税、折旧和摊销之前的利润。该方法同时考虑了资本结构和折旧摊销的影响,计算公式如下:
可比公司企业价值/息税前折旧摊销前利润倍数=企业价值/息税前折旧摊销前利润
其中,息税前折旧摊销前利润=息税前利润+折旧+摊销
EV=EBITDA*(EV/EBITDA倍数)
目标公司的股权价值=企业价值—净债务
(二)折现现金流估值法
折现现金流估值法的基本原理是将估值时点之后,目标公司的未来现金流以合适的折现率进行折现,加总得到相应的价值。评估所得的价值,可以是股权价值,也可以是企业价值。
计算公式为:

其中,V表示价值,t表示时间,CFt为第t期的现金流,r为未来所有时期的平均折现率,n为详细预测期数,TV为终值。
在估值步骤上,一是选择适用的现金流估值法;二是确定详细预测期数(n)。详细预测期的时间长短选取以适中为原则,通常,详细预测期的结束以目标公司进入稳定经营状态为基准。三是计算详细预测期内的每期现金流CFt,不同的折现现金流估值法对应的现金流也不同,如红利折现模型是红利,股权自由现金流模型是股权自由现金流,企业自由现金流模型是企业自由现金流;四是计算折现率r,折现率的选择取决于使用的现金流,如红利和股权自由现金流对应的折现率为股权资本成本,而企业自由现金流对应的折现率为加权平均成本(WACC);五是计算终值TV,常用的计算方法包括终值倍数法(即相对估值法)和Gordon永续增长模型;六是对详细预测期现金流及终值尽心骨折线并加总得到价值(如果是企业价值,还需要利用价值等式推导出股权价值)。
1、红利折现模型
股权投资基金投资于目标公司的股权,预期获得两种现金流。一是持有股权期间的现金红利,二是持有期末买出股权时的价格。计算公式为:

公式中,V为股权价值,DPSt为第t期的现金红利,r为股权要求收益率,n为详细预测期数,Pn为持有期末买出股权的预期价格。
红利折现模型主要适用于红利发放政策相对稳定的企业。
2、股权自由现金流折现模型
股权自由现金流(FCFE)是可以自由分配给股权拥有者的最大化现金流,其计算公式为:
股权自由现金流 = 净利润(E)+ 折旧 + 摊销 — 营运资金的增加 + 长期经营性负债的增加 — 长期经营性资产的增加 — 资本性支出 + 新增付息债务 — 债务本金的偿还。该模型计算公式为:

式中,V为股权价值,FCFEt为第t期的股权自由现金流,r为股权要求的收益率(和红利折现模型中的r相同),n为详细预测期数,TV为股权自由现金流的终值。
3、企业自由现金流折现模型
企业自由现金流(FCFF)是指公司在保持正常经营的情况下,可以向所有出资人(股东和债权人)进行自由分配的现金流。其计算公式为:
企业自由现金流=息税前利润(EBIT)— 调整的所得税 + 折旧 + 摊销 — 营运资金的增加 + 长期经营性负债的增加 — 长期经营性资产的增加 — 资本性支出。
其中,调整的所得税有两种计算方法:一是直接用息税前利润乘以当期所得税税率;二是在其利润表中当期所得税的基础上进行调整,加回财务费用的税盾,再扣除非经常性损益对应的所得税。计算公式为:

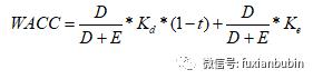
公式中,EV表示企业价值,FCFFt代表第t期的企业自由现金流,WACC为加权平均资本成本,n为详细预测期数,TV为企业自由现金流的终值。在这其中,加权平均资本成本WACC是企业各种融资来源的资本成本的加权平均值,计算公式为:

公式中,D为付息债务的市场价值,E为股权的市场价值,Kd为税前债务成本,KE为股权资本成本,t为所得税税率。
(三)创业投资估值法
创业投资估值法是通过评估目标公司退出时的股权价值,在目标汇报倍数或收益率的基础上倒推出目标公司的当前价值。此类估值法主要是针对公司处于创业早期,利润和现金流均为负数,未来回报很高,但存在高度不确定性,此时大都采用创业投资估值法。
其估值步骤主要包括如下几个方面:一是估计目标公司在股权投资基金退出时的股权价值;二是计算当前股权价值;当前的股权价值=退出时的股权价值/目标回报倍数=退出时的股权价值/(1+目标收益率)三是估算股权投资基金在退出时的要求持股比例。要求持股比例=投资额/当前股权价值;四是估计股权稀释情况。计算投资时的持股比例,如果目标公司没有后续轮次的股权融资,股权投资基金的股权不会稀释,投资时的持股比例就是上一步计算出的要求持股比例;如果目标公司有后续轮次的股权融资,需估计股权稀释情况,倒推出投资时的持股比例。
(四)其他估值方法
1、成本法
成本法具体包括账面价值法和重置成本法。
账面价值法的计算公式为:
公司的的账面价值= 总资产 — 总负债。
评估目标公司的真正价值,需调整资产负债表的各个项目。资产项目调减方面,应当注意公司应收账款的坏账损失、外贸业务的汇兑损失、有价证券市值是否低于账面价值、固定资产与无形资产的折旧方式是否合理等。负债项目调增方面,应注意是否有未入账的负债,如职工退休金、预提费用等;是否有担保事项等或有负债及尚未核定的税金等。
重置成本法是指在现时条件下重新购置意向全新状态的资产所需的全部成本,综合编制包括有形损耗 (物质的)和无形损耗(技术的)等。其计算公式为:
待评估资产价值=重置全价—综合贬值=重置全价*综合成新率
重置成本法的主要因素较大,且历史成本与未来价值并无必然联系,因此重置成本法主要是作为一种辅助方法。
2、清算价值法
清算大致可分为破产清算和解散清算.
清算价值法的原理是,假设企业破产和公司解散时,将企业拆分为可出售的几个业务或资产包,并分别估算浙西额业务或资产包的变现价值,加总后作为企业估值的参考标准。
在具体评估步骤上,一是进行市场调查,收集与被评估资产或类似资产清算拍卖相关的价格资料;二是分析验证价格资料的科学性和有效性;三是逐项对比分析评估与参照物的差异及其程度,包括实物差异、市场条件、时间差异和区域差异等;四是根据差异程度及其他影响因素,估算被评估资产的价值,得出评估结果;五是根据市场调查统计出来的结果,对清算价格进行评估。对股权投资基金而言,清算很难获得较好的投资回报,在企业正常可持续经营的情况下,不会采取清算价值法。

股权投资基金在完成初步尽职调查和项目立项之后,启动正式尽职调查之前,一般会要求和目标公司签订投资框架协议。通常情况下,除保密条款和排他性条款,投资框架协议的内容并无法律约束力,但是他却包含了投融资的主要条款,如在投资协议中约定目标公司未来的企业业绩等。这些条款会作为后续谈判和合作的基础,并最终成为正式投资协议的一部分。其主要条款主要包括如下几个部分
(一)估值条款及估值调整条款
估值包括投资前估值和投资后估值两种不同的表述,且投资后估值=投资前估值+新的投资额,投资人应将拟投资的企业的估值确定在合理的范围内。估值条款一般还会约定股权投资基金的投资方式。其中,创业投资基金的投资工具主要包括普通股、可转换优先股、可转换债券,这些方式都是以目标公司增资方式进行的。并购基金的投资工具主要是普通股,大都是以受让目标公司原有股权的方式进行的。
估值调整条款的作用在于保护投资者利益。其措施主要是对赌安排,即在一定期限之后如果企业未能完成一定的指标,投资者应受到一定的补偿,以弥补其优于企业的实际价值降低所受到的损失。估值调整条款又被称为估值调整协议或对赌条款,估值调整条款可以以条款形式存在于投资协议中,也可以一个专门的协议形式存在,在投资协议中可以约定目标公司未来的企业业绩目标。在触发条件的设置上,可以使目标公司的实际业绩未达到事先约定或未发生或发生特定事件(如公司未在约定时间点前实现IPO,原大股东失去控股地位,高管严重违反约定等)。估值调整机制可以分为现金补偿类和股份补偿类两种不同的方式,现金补偿类主要是通过行使回售权实现;股份补偿类是通过股东间以较低名义价格进行股份转让,或者调整优先股与普通股之间的转换系数来实现。
(二)优先认购权条款
优先认购权是目标公司未来发行新的(增发)股份或可转换债券时,股权投资基金将按其持股比例获得同等条件下的优先认购权利。其存在的目的是保护器股权比例不被稀释,但是不适用于为上市而进行的首次公开发行(IPO),为建立员工持股计划而增加的股份发行,为履行银行债转股协议而增加的股份发行等。
(三)第一拒绝权条款
第一拒绝权条款又被称为优先购买权条款,是指目标公司的其他股东拟对外出售股权时,作为老股东的股权投资基金在同等条件下的优先购买权。
(四)随售权条款
随售权(又称共同出售权)是指目标公司的其他股东拟对外出售股权时,股权投资基金有权以其持股比例为基础,以同等条件参与该出售交易。随售权条款通常与第一拒绝权条款同时出现,股权投资基金有权利但无义务选择其中一种行使,或同时放弃两种权利。
假设甲股权投资基金投资A公司,若此时甲股权投资基金占有的股份为20%,A公司的其他股东占有的股份为80%,此时若A公司拟出售1000万股的股权给第三方,其交易结构为:

此时如果甲股权投资基金行使随售权,则交易结构出现如下变化:

此时,A公司无法继续向第三方出售1000万股的股份,需要按照持股比例分出20%的股权由甲股权投资基金根据A公司和第三方协商的相同条件进行出售给第三方200万股。
(五)反摊薄条款
反摊薄条款(又称反稀释条款)本质上是一种价格保护机制,适用于后轮融资为降价融资时,保护前轮投资者利益的条款。之所以出现后轮融资降价,是因为目标公司经营业绩下降,企业实际控制人试图稀释投资方股权。价格保护方式上,主要采用完全棘轮条款和加权平均条款来处理:
如果采用完全棘轮条款,前轮投资者过去投入的资金所换取的股权全部按新的最低价格重新计算,增加部分由创始股东无偿或以象征性的价格向前轮投资者转让,不考虑下一轮新发行股权的数量。
如果采用加权平均条款,则将新增出资额的数量作为反稀释时重要的考虑因素,既考虑新增出资额的价格,也要考虑融资额度,广义的加权平均计算公式如下:
A=B*(C+D)/(C+E)
式中,A为前轮投资者经过反稀释补偿调整后的每股新价格;B为前轮投资者在前轮投融资时支付的每股价格;C为新发行前公司的总股数,D为如果没有降价融资,后轮投资者在后轮投入的全部投资价款原本能够购买的股权数量;E为当前发生降价融资,后轮投资者在后轮投入的全部投资价款实际购买的股权数量。
完全棘轮条款最大限度的保护前轮投资者(如使用认股权证或可转换优先股,棘轮条款会调整认股权证的沟谷数量或优先股的转换系数);加权平均法对目标公司和创始股东更为有利。
(六)保护性条款
保护性条款又称一票否决条款,是指股权投资基金委保护作为小股东的投资者,要求目标公司在执行涉及投资者经理利益或公司控制权的重大事项时,需要取得投资者的同意。其目的在于保护作为小股东的投资者的利益不被大股东侵害;通常是针对涉及投资者经济利益或公司控制权的重大事项;实际上赋予了股权投资基金作为投资人,对一些特定重大事项的一票否决权。
(七)董事会席位条款
董事会席位条款是在投资协议中股权投资基金和目标公司之间约定董事会构成和分配的条款,其本质是对投资企业的控制权分配进行约定。如果股权投资基金并未获得董事会席位,股权投资基金委派人员出任董事会“观察员”角色,虽然不具有投票权或不承担决策作用,但可以作为辅助性角色帮助投资人更好的了解公司日常运营情况。
(八)回售权条款
回售权是满足协议约定的特定触发条件时,股权投资基金有权将其持有的全部或部分目标公司的股权以约定的价格出售给目标公司创始股东或创始股东制定的其他相关利润方。触发条件主要包括业绩指标(如业绩不达标)和非业绩事件(如未及时改制/申报上市材料/实现IPO;原始股东丧失控制权;高管出现重大不当行为)。其功能在于实现估值调整目的(即在估值调整条款中的现金补偿条款设计),保障投资的流动性,实现畅通的退出。
(九)拖售权条款
拖售权(又称领售权、强卖权、强制出售权)是指如果第三方向股权投资基金发出股权收购要约,且股权投资基金接受该要约,则其有权要求其他股东一起按照相同的出售条件和价格向该第三方转让股权。该条款的作用在于保护作为小股东的投资者,就算不实际管理、经营企业,在他想要退出的时候,原始股东和管理团队也不能拒绝,必须按照其和并购方达成的并购时间、条件和价格完成并购交易。多数条件下,被投资企业创始股东会决绝拖售权,或设置一定的条件,通常包括股权投资基金提出要实施拖售权时,公司创始股东有权按照第三方买家提出的同等交易条件受让股权投资基金在公司的股权;只有在公司创始股东拒绝受让的情况下,拖售权才能行使;第三方买家对公司的估值必须高于某一事先设定的数额。
相较于随授权而言,随售权是股权投资基金拟强行进入其他股东与第三方的交易,交易价格以其他股东与第三方协商确定的价格为准,拖售权恰好相反,是股权投资基金强迫其他股东进入股权投资基金与第三方的交易,交易价格以股权投资基金与第三方协商确定的价格为准。与随售权相比,拖售权赋予股权投资基金更大的权利,使其即使作为少数股东,却可以享有通常只有绝大多数股东才能享有的决定公司转让的权利。假设甲股权投资基金投资A公司,若此时甲股权投资基金要和第三方进行交易,即甲股权投资基金要出售一部分或全部的股权给第三方。

此时如果甲股权投资基金行使拖售权,则交易结构出现如下变化:

此时,甲股权投资基金可以强制要求A公司按照甲股权投资基金和第三方协商的价格共同出售部分甚至全部的股份给第三方。
(十)竞业禁止条款
竞业禁止条款要求目标公司通过保密协议或其他方式,确保其董事或其他高管不得兼职与本公司业务有竞争关系的职位,同时,离职后的一段时期内,不得加入与本公司有竞争关系的公司或从事与本公式有竞争关系的业务。该条款的目的在于保证目标公司的利益不受损害,从而保障投资者的利益。形式上主要有法定竞业禁止(如公司法规定)和约定竞业禁止(基于合同规定)。
(十一)保密条款
保密条款是指除法律或监管机构要求的信息披露以外,投融资双方对在股权投资交易中知悉的对方的商业秘密承担保密义务,未经对方书面同意,不得向第三方披露。该商业秘密,对于股权投资基金公司而言,就是其在投资过程中知悉的目标公司的非公开的技术、产品、市场、客户、商业计划、财务信息等资料;对于目标公司而言,其在融资过程中所知悉的股权投资基金的非公开的尽职调查方法与流程,投资估值意见,投资框架协议以及投资协议条款等信息,均是商业秘密。
(十二)排他性条款
排他性条款要求目标公司现任股东及其任何任职职员、董事、财务顾问、经纪人或代表公司行事的人,在约定的排他期内不得与其他投资者机构进行接触,排他性条款应在签署投资协议签的谈判过程中生效。其目的是为了保证双方的时间和经济效率。排他期限一般是由双方约定。一般为60天-90天,并购类项目的锁定期会更长一些,同时,投资方如果在协议签署之日前的任何时间决定不再执行投资计划,应立即通知目标公司,排他期将在目标公司收到上述通知时立即结束。
