大家好,我是你们的朋友摇摇。这是我个人业余时间打理的一个公众帐号,旨在从数据角度对已经公布的房源信息进行加工筛选,便于大家在摇到号之后方便的选到心仪的房子。如果对您有帮助的话,希望多多关注和转发,话不多说,let's go!
项目介绍

本次给大家介绍的是珠江逸景花园,位于都江堰。传统豪宅区,两河交汇处,上图为项目实景拍摄,可以感受下气质。昨天发了蓝泊湾有朋友嫌弃旁边有地铁(新津为地面)很吵,那么同价位的无地铁别墅就来了,详情如下。

选房指南
根据摇摇已整理完毕数据分析得知,珠江逸景花园全部准售房源共48 套,130.71 ㎡联排别墅三室三厅四卫户型,负一楼跃三楼。清水发售,项目整体单价均价为 8910 元,最高到最低单价跨度约为1582元左右,已知最低单价约为82 16 元 ,分布于33栋的1楼7号房,已知最高单价为 9798 元,分布于33栋的1楼1号房。具体价格分布如下。
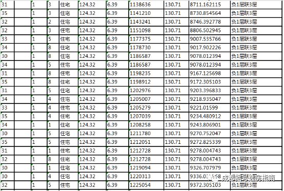
全部房源价格
标蓝一套为本次入手单价最低的房源,首付32万多可拿下。



本期选房指南就此结束,依然是 产品位置及户型决定了和刚需无缘,对于有别墅需求的朋友来说,这个价位和地段真还是不错,也 特别是要求环境的,可以考虑 ,有喜欢的土豪看官老爷们赶紧下手吧,毕竟数量有限,拼手气的时候到了。
感兴趣的小伙伴马上去成都房协官网申报吧! 预祝摇摇的读者都能选到称心如意的好房子!
所有房源信息来源于成都房协官方网站,户型信息来源于网络,人工录入难免出错,一切以成都房协官方发布为准,本内容仅供参考!