品质因数是谐振电路的重要的参数,关于谐振电路品质因数的定义为:

假设电容两端电压为

,电容瞬时功率为

,则它在一个谐振周期交换的能量为:

假设流过电感的电流为

,电感两端的瞬时功率为

,则它在一个周期内交换的能量为:

可以看出,品质因数的定义可以理解为,在一个谐振周期内,电容或电感交换的能量与消耗在电路中的能量之比,这也可以理解为 电路的无功功率与有功功率之比 。
对于RLC串联谐振电路,如下图,其品质因数为:


对于RLC并联谐振电路,其品质因数Q为:


以上两种电路的谐振频率均为:

串联谐振电路和并联谐振电路有很多相似的特性,对于串联谐振电路:

并联谐振与串联谐振是对偶的关系,其电流特性也呈现出上面的特点:

而实际电路中R、L串联,然后与C并联的电路更常见,如电感线圈与电容并联,

这种电路的谐振与上述两种有所不同,电路的阻抗为:

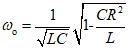
当电路发生谐振时,阻抗虚部为0,谐振频率为:

可见只有当1-CR2/L>0,即

时电路才会谐振,否则电路不会发生谐振,如果远小于则近似于并联谐振的特性。如果电路能够发生谐振,则品质因数为下式(也可将电路等效为串联或并联谐振电路进行求解)。

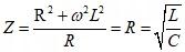
这里当电路阻抗呈现纯阻性时(与信号频率无关),即当

时,此时的电阻阻值又称为电路的特征阻抗,此时电路的阻抗为:

对于R、C并联然后与L串联的电路也很常见,如下图所示,

电路的阻抗为:

当电路发生谐振时,虚部阻抗为0,谐振频率为:

可见与R-L//C电路呈现对偶关系。只有当1-L/CR2>0,即

时,电路才会谐振,否则电路不会发生谐振,如果远大于则近似于串联谐振的特性。同样,该电路的品质因数为:

如果电路呈现纯阻性(与信号频率无关),即满足

时,

即为该电路的特征阻抗,电路的阻抗为:

可见以上 两种电路当负载阻抗等于电路特征阻抗时,电路呈现电阻特性,且特征阻抗的表达式是相同的,电路所表现出的阻抗即为负载阻抗。
内容转载自应用电子笔记 ,仅供学习交流使用,如有侵权,请联系删除。如果你还想了解更多关于电子元器件的相关知识及电子元器件行业实时市场信息, 敬请关注微信公众号 【上海衡丽贸易有限公司】