
一、项目概况
项目名称:联奕科技股份有限公司研发基地项目
项目信息:项目位于广东省广州市天河区新塘街道,总建筑面积为30952.28平方米,主要功能为办公,地上5层地下3层,建筑高度为23.95米,其中地上建筑面积为17011.98平方米,地下建筑面积为13940.30平方米,结构形式为钢筋混凝土框架剪力墙结构。地上建筑采用装配式设计,单体装配率为54%。主体结构采用预制剪力墙、叠合楼板、钢梁、压型钢板,围护墙采用单元式幕墙,此外还采用全装修、管线分离、绿色施工等措施,最终预评价为基本级装配式建筑。
设计单位:广东省建筑设计研究院有限公司
设计软件:基于国产BIMBase平台装配式设计PKPM-PC 2023软件
评价标准:广东省标准《装配式建筑评价标准》(DBJ/T 15-163-2019)
预制构件:叠合楼板、预制剪力墙
二、软件应用创新点
本项目预制构件主要有叠合楼板和预制剪力墙,采用PKPM-PC模型一体化智能设计。预制构件深化设计流程主要有:预制属性指定、拆分设计、配筋设计、附件设计、预留预埋布置、构件验算、构件详图生成等。

PKPM-PC 模型
2.1 装配式预制构件落地应用
落地应用点1:一键完成楼板和剪力墙拆分
本项目的预制叠合板采用整体式接缝双向叠合板与分离式接缝单向叠合板,混凝土强度为C35,钢筋保护层厚度为15mm,标准层叠合板板厚为130mm,预制板厚度为60mm,现浇层厚度为70mm,屋面板板厚为150mm,预制板厚度为60mm,现浇层厚度为90mm;预制剪力墙首层混凝土等级为C45,其余为C40,墙顶预制到板底,墙底部接缝设置在楼面标高处,接缝高度为20mm并采用灌浆料填实。利用参数化智能拆分工具,调整好拆分参数,快速完成预制构件拆分。

落地应用点2:一键完成叠合楼板和预制剪力墙配筋设计
叠合板桁架筋规格均为B75,采用整体式接缝时后浇带处板底伸出钢筋为135°弯钩搭接方式;当采用分离式接缝时,接缝位置不伸出钢筋,支座处钢筋均伸入至支座中线处。上下预制剪力墙采用全灌浆套筒连接,水平筋伸出形式为封闭箍,伸出长度为280mm,为了使剪力墙有良好的抗剪性能采用水平筋全高加密,竖向连接钢筋伸出长度为250mm。根据结构计算结果设置好配筋,调整好各类参数,一键完成预制构件配筋设计。

落地应用点3:一键完成叠合楼板和预制剪力墙吊装脱模工况验算
叠合板采用桁架作为吊点,预制剪力墙脱模埋件为预埋锚栓并同时作为斜撑安装埋件,吊装埋件为圆头吊钉。设置好验算参数,一键对单个构件或批量进行预制构件短暂工况验算。


项目预制方案爆炸图
落地应用点4:一键批量出图+批量合并+导出图纸
自定义设置好图签图框及图纸布局,批量生成构件深化详图,然后进行批量合并图纸,最终批量导出DWG/PDF图纸归档。

叠合楼板构件详图

预制内墙构件详图
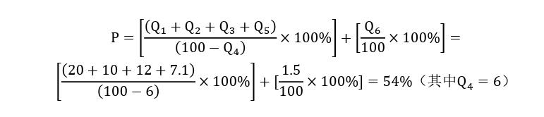
2.2 装配率一键自评
按照广东省标准《装配式建筑评价标准》(DBJ/T 15-163-2019)计算自评装配率为54%,可评价为基本级装配式建筑,符合设计预期。

项目装配率自评得分表

因此,单体办公楼1#楼装配率为54%。
三、项目总结
BIM技术是中国建筑行业信息化建设的一个新阶段,是引导我国建筑业信息化改革的重要手段,应用BIMBase生态软件PKPM-PC进行装配式建筑设计,全专业配合装配式设计提升建筑设计效率和产品质量。通过本示范工程的应用,实现建筑、结构、设备全专业配合装配式设计,节省设计成本与费用、减轻设计人员的工作强度并提高设计工作的效率。采用国产软件PKPM-PC进行预制构件设计、验算、出图,实现了装配式建筑模型一体化智能设计。对比传统CAD设计出图,工作效率提高了两到三倍;采用BIM出图,模型与图纸实时关联,基本实现图纸零错误,减少了设计变更,极大的提高了图纸质量。