先给答案:你所看到的接触到的吃得到的黑色和紫色玉米都是非转基因的,但是(敲黑板了),黑色或紫色玉米也有转基因的(民众可以看到照片,但接触不到更吃不到)。
看到这估计反转的朋友们有一点窃喜,支持转基因的支持转基因的朋友们有一点疑惑。那么结合我以前回答的问题和头条号文章来综合的给大伙解答一下。
1、黑色和紫色玉米的本质是什么?
这个一般人都知道是花青素,但是花青素不是一种物质,而是一类黄酮物质的总称,我们常见的紫色瓜果蔬菜基本上都是花青素的颜色。花青素是水溶性的一类黄酮物质,虽然有数量非常庞大的种类,但常见的有天竺葵素(pelargondin橘红色)、矢车菊素(cyanidin红色)以及飞燕草素(delphinidin蓝色)(见下图)。另外稍微多见的就是芍药素,矮牵牛素以及锦葵素。

图中就是三种主要花青素的结构式,三者不同点主要在羟基(-OH)数的不同,天竺葵素1个、矢车菊素2个,飞燕草素3个。羟基数越多其抗氧化活性越高,所以三种主要花青素中,飞燕草素抗氧化活性最强,但自然界中矢车菊素含量最高。

天竺葵素、矢车菊素和飞燕草素这三种天然色素类似三基色以不同的比例组合就构成了丰富多彩的色彩,就如同是大自然的油画大师,将自然界的植物的根、茎、叶、花、果实和种子涂成各种颜色。
2、紫玉米的来源
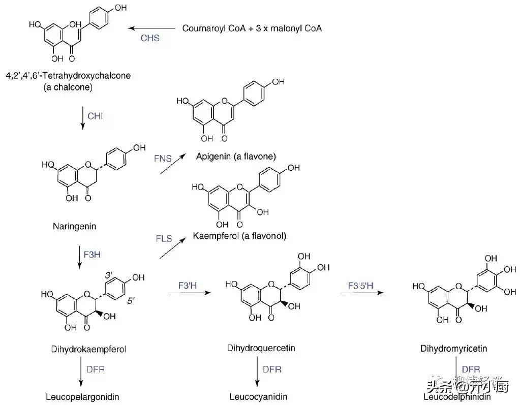
紫色玉米是一种天然存在的玉米种质。花青素的在植物体内的合成是需要一些列的转录因子和结构基因来共同调控完成的(见下图)。但是,一些植物组织缺少其中一个或多个基因后就不能合成花青素(白色玉米,黄色的玉米等)。所以,从花青素合成代谢功能基因的角度上讲,紫玉米是相对完整的自然体,而我们常见的白玉米或者黄玉米则是突变体——由于相关的功能基因发生了突变所以不能合成花青素。

3、紫色玉米是否有转基因的?
可以很明确的告诉各位——有!而花青素作为一种天然存在的强抗氧化活性物质,在一些疾病预防、功能性食品制造和食品饮品着色剂添加中均扮演重要角色,在目前的紫玉米种质中,花青素在籽粒中的积累只是在种皮或糊粉层细胞中(单层细胞)。所以花青素的含量有限(见下图)

针对这个问题,中国农业科学院生物技术研究所的陈茹梅研究员领衔的研究团队利用一个玉米多基因表达体系,将玉米来源的与花青素合成相关的四个基因ZmC1、ZmR2、ZmBZ1和ZmBZ2转入玉米后,创制了不仅可以在糊粉层积累花青素而且可以在玉米胚中积累花青素的种质(见下图)。这种高花青素的紫胚玉米不仅可以提高高含量的花青素,还可以在玉米遗传育种中起到很重要的作用。相关研究结果发表在国际知名期刊《Plant biotechnology Journal》。

那么,说到这,是有一些反转的小伙伴们要惊慌失措了,紫色玉米都有转基因的了!以后不买街边的那些紫色玉米了!那么,敲黑板了啊!在此需要着重说明是:这种转基因紫色玉米只是刚研发出来的紫色玉米种质,还没有开始走向食用的流程,这只是一项研究成果,要想向国家申请安全评价走向餐桌,没有个20年以上是做不到的。所以,小伙伴们继续安心的吃市面上的紫色玉米吧。
另外,教小伙伴如何辨别这种转基因紫色玉米。市面上你们看到的紫色玉米都是紫皮白胚或黄胚,若你吃的玉米胚整个是紫色的,那么这就是转基因的。