九江,简称“浔”,为江西省地级市,古称柴桑、江州、浔阳,是一座有着2200多年历史的江南名城。看到这些古称,大家可能会明白九江何以号称”三江之口,七省通衢“与”天下眉目之地“,有“江西北大门”之称。

如今的九江,地处长江、京九铁路两大经济开发带交叉点,是长江中游区域中心港口城市,是中国首批5个沿江对外开放城市之一,也是东部沿海开发向中西部推进的过渡地带,在江西,九江被定位为鄱阳湖生态经济区建设新引擎、中部地区先进制造业基地、长江中游航运枢纽和国际化门户、江西省区域合作创新示范区。根据2014年江西省新型城镇化规划,九江都市区是江西省重点培育和发展的三大都市区之一。

很多朋友关注GDP,九江的表现如何呢?根据公开信息,2022年,九江全市实现地区生产总值4026.6亿元,经济总量首次迈上4000亿元新台阶。在江西省内位居第三,全国的话大致在70多位。这个表现好与不好,那都有专家来评说,我们知道个大概即可。毕竟,我们的重点是九江学院而不是九江这座城市发展如何。

坐落在九江的九江学院,可以说是聚集了当地高等教育发展的多项优势资源。学校网站介绍,该校办学历史可上溯至1901年创办的但福德医院护士学校,现办学体制为“省市共建、以市为主”。这样的介绍,可能少了一条关键信息,那就是2002年3月,教育部批复同意九江财经高等专科学校、九江师范专科学校、九江医学专科学校和九江教育学院合并组建九江学院。此外,2004年,九江市第二人民医院并入九江学院。

由于是多个主体合并而来,我们可以理解该校的大和全。九江学院现有“一校两园”,其中丹枫园2100亩,紫薇园1569亩。下设23个二级学院,2所“三级甲等”附属医院、1所附属口腔医院、1个江西省脑血管区域医疗中心。2022年招生的本科专业76个,涵盖经济学、法学、教育学、文学、理学、工学、农学、医学、管理学、艺术学十大学科门类。

掌握了上述信息,我们再去了解该校的招生录取、专业建设和毕业生就业情况,可能就会显得更加从容一些。
一、近八成生源来自江西本省,热门专业都有哪些?
2022年,九江学院共面向30个省(市、自治区)录取8100名本科生。江西省录取6428名,其中普通类6132名,艺术类118名,体育类178名;外省录取1672名,其中普通类1259名,艺术类392名,体育类21名。

根据学校对外公开介绍,在各省份录取中,录取分数线在大部分省份保持稳定,高分生源数量比往年增幅较大。在全国仍区分一、二本批次招生的省份中(青海除外),一本线上生源考生共计达155人,较2021年增加69人。其中江西达109人,较2021年增加51人;外省达46人,较2021年增加18人。

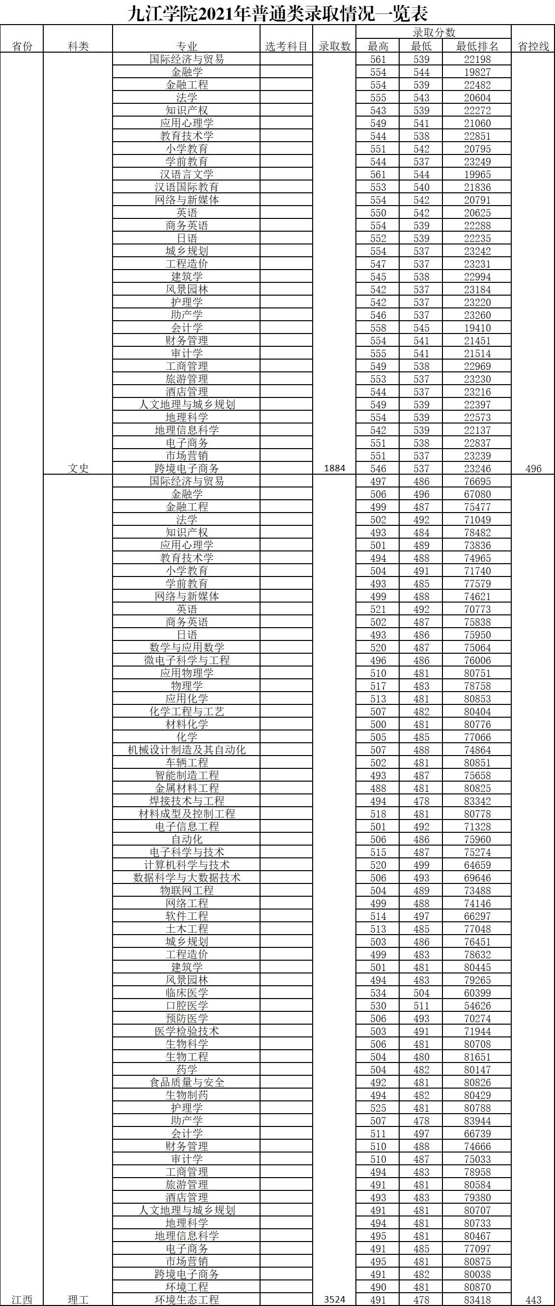
我们重点看一下江西省考生的选择,根据九江学院2022年普通类录取情况一览表,该校的金融学、法学、汉语言文学、网络与新媒体、会计学5个专业,录取分数线超过省控线40分,最低位次在23000名以内。理工类的话,金融学、计算机科学与技术、口腔医学(五年)3个专业,录取分数线超过省控线50分,最低位次在70000名以内。

2021年,该校共面向30个省(市、自治区)录取7383名本科生。江西省录取5720名,其中普通类5408名,艺术类139名,体育类173名;外省录取1663名,其中普通类1176名,艺术类460名,体育类27名。

学校的介绍是,在江西省首次投档中,尽管招生计划增量较多,但与江西省二本分数控制线的分差仍呈现增长趋势,与去年相比,文史类增加达10分,理工类增加4分,高分生源较去年也明显增多,文理一本线上考生共计58名,为历年最多。

我们继续重点看一下江西省考生的选择,根据九江学院2022年普通类录取情况一览表,该校的金融学、法学、小学教育、汉语言文学、网络与新媒体、英语、会计学7个专业,录取分数线超过省控线46分,最低位次在21000名以内。理工类的话,金融学、计算机科学与技术、数据科学与大数据技术、软件工程、临床医学、口腔医学、预防医学、会计学8个专业,录取分数线超过省控线50分,最低位次在70000名以内。

为什么要不厌其烦说这么多江西本省的录取情况,主要是想为大家选择专业提供一个参考。这里只给出江西省的分专业分数线,如果需要其他省份的,可以自行到该校招生网查询,也可以在评论区进行提问。
二、专业数量超过100个,特色优势专业建设成果重点考虑一流本科专业建设点
九江学院的2021—2022学年本科教学质量报告显示,这一学年年设置本科专业109个,其中工学专业36个,理学专业14个,文学专业8个,法学专业2个,经济学专业4个,管理学专业16个,医学专业8个,教育学专业6个,农学专业1个,艺术学专业13个,历史学专业1个。2022 年招生专业76个、停招专业33个,新增专业3个,撤销专业2个。

从上述数字来看,该校的专业建设力度不小。不过,我们重点关注的是,特色优势专业都有哪些。这方面,小编建议大家重点关注一流本科专业这个指标。截至目前,该校入选国家级一流本科专业建设点4个,省级一流本科专业建设点14个。具体名单如下:

如果大家不认可的话,可以借助该校的重点学科、重点实验室、师范专业一览表,去寻找自己心目中的特色优势专业。

当然,大家还可以关注一下马上要毕业的2023届毕业生,都学的是什么专业。具体的话,可以参考九江学院2023届毕业生各专业人数一览表。

三、毕业率、学位授予都不低,江西本地就业没有超过一半
作为一所大家眼中的“二本”院校,九江学院就业情况如何呢?目前,我们能够看到的最新资料是2021—2022学年本科教学质量报告披露的相关信息。

2022 年,九江学院本科毕业生人数 6947,其中正常毕业 6869 人,毕业率达到 98.88%。2022 年学校授予学士学位 6797 人,一次性学位授予率 98.95%。截至2022年8月31日,本科毕业生已就业5565人,毕业去向落实率为81.02%。毕业生最主要的毕业去向是企业3541人,占63.63%。升学900人,占16.17%,其中出国(境)留学24人,占0.43%。毕业生留赣就业人数为2698人,占比为48.48%。

作为一所“联合招生、独立培养” 硕士研究生工作的高校,九江学院毕业生考研热情比较高。据统计,2021—2022学年,九江学院共有3742名学生报考研究生,报考率达到54%,其*共中**有 907 名同学被录取,报录比为24%。

全文小结如下:九江学院办学规模相对较大,拥有一些大家比较喜欢的热门专业,对于希望学一个好专业的朋友特别是江西考生来说,是一个值得考虑的备选高校。