说起梁和柱子大家并不陌生,梁管的是一家子的事情,柱子要管好多家。

一般来讲,楼房盖的越高柱子的混凝土强度就越高,这就造成了梁柱混凝土强度不同,二者之间有个分界线。

分隔位置应在低强度等级的构件中,且距高强度等级 构件边缘不应小于 500mm。来源丨GB50666-2011 混凝土结构工程施工规范第8.3.8条
混凝土浇筑是一个连续的工作,分界线怎么做到泾渭分明?
如果先浇筑梁的混凝土,就会把低强度混凝土流入柱子里面,柱子就会变成三明治。

宜先浇筑高强度等级混凝土,后浇筑低强度等级混凝土。来源丨GB50666-2011 混凝土结构工程施工规范第8.3.8条
别小看这个问题,这栋楼就是因为这个问题减掉了一层:

图源网络
如果先浇筑柱子混凝土呢?
柱头能不能堆起来?常规的泵送混凝土自由流淌的坡度在1:9左右。

梁内充满了高强度混凝土,浪费钱不说,如果楼板混入高强度混凝土就容易开裂。

该怎么做才好呢?常规的做法是酱紫的:
1、钢丝网封闭法

这种施工方法施工先后顺序是酱紫的:

铺梁底模板→绑扎梁钢筋→固定钢丝网→封梁侧面模板
模板工封梁底模板之前要固定钢丝网,否则钢丝网绑扎因为不易操作变成摆设:

图源网络
有没有更好的方法呢?当然有:
2、钢筋封闭法

解决了交叉施工的难题,还节约了钢丝网,钢筋篦子可多次重复利用,不过还是有缺点:要知道梁的钢筋根数不是全部一样的,4根钢筋的梁和5根钢筋的梁或者梁宽不同,所用的钢筋篦子就会不一样。

有缺点就有改进:
3、模板条封闭法

用模板条替代钢筋篦子,规格统一了,取出不容易,木条封闭法有了新改进。

施工方法说了这么多,不知道你有没有注意到这个问题,两种强度等级的混凝土分界线不太一样。

到底哪一种更好呢?说到这个问题就要先讲一下:
4、临时间断的意义
梁柱节点混凝土浇筑是临时间断不是施工缝。

高强度混凝土终凝前必须浇筑低强度混凝土,没形成施工缝,直缝斜缝没什么区别,所以说国家规范要活学活用,我们换个角度想问题:

把梁柱节点混凝土按照低强度的来,可行否?
5、修改设计法
这种方法,来源于《混凝土结构施工规范》中的一句话:

来源丨GB50666-2011 混凝土结构工程施工规范第8.3.8条
一句话,把权力交给了设计院,设计人员如何确定?

这是结构大事岂能看脸看钱,需要进行两种核算,由这两种核算又引出来两种新方法,下面是第一种:
6、强度验算
先科普一下轴压比的概念。

设想一下,柱子所受到的压力由钢筋和混凝土共同来分担,谁应该承受更多一点呢?

谈到这个问题,大家都知道钢筋价格很贵,而混凝土很便宜,想省钱又安全,理所当然是酱紫的:

然而,并没有柱子不配钢筋的。这到底是为什么呢?
说到这里,我们就要说一说延性破坏和脆性破坏。
简单的讲,混凝土的破坏叫脆性破坏,好比一个人要跳楼,而不提前告诉任何人,噗通一下就跳下去了。

钢筋的破坏是延性破坏,就好比跳楼之前先通知了很多人。

所以说,盖房子钢筋要先于混凝土破坏,换而言之就是要延性破坏不要脆性破坏。
如何保证呢?
就是要保证配有一定的钢筋。
这个限值就是轴压比。


一级抗震,轴压比不大于0.65,翻译一下就是说,混凝土只能承担65%的压力,35%要由钢筋来承担。
正常情况下整根柱子的轴压比是不变的,当我们降低梁柱节点区域混凝土强度的时候,轴压比就变大了。

要降低轴压比,就必须提高混凝土强度,如何提高呢?先做个小试验:把混凝土换成一把筷子用力去压它。

假如四周有梁的约束呢?它就不会弯。


这说明梁的存在提高了核心区混凝土的抗压能力,这就是验算梁柱节点的第一个公式:

来源丨G101系列图集常见问题答疑图解(17G101-11)P2-1页
说过多少遍了别看到公式就头晕,不过是一个系数乘以轴压比:

这个影响系数如何确定呢?图集上有说明,翻译成人语就是酱紫的:

下面介绍第二种验算:
7、抗剪验算
说起抗剪验算,防止的是这一类的破坏:

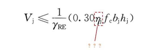
下面这个是抗剪承载力计算公式:

bjhj的意义就是下图中这个蓝色的破坏面。

看到这里就是研究生水平了,研究一下下面这个符号的意义:

怎么有一种似曾相识的感觉,哈哈。

怎么样才能提高承载力呢?增加梁宽是一箭双雕的好方法。

“你直接说加钱不就好了么”
等等等等,有一种省钱*法大**叫水平加掖法。

来源丨G101系列图集常见问题答疑图解(17G101-11)P2-2页
很显然,设计核算的2种方法对于边柱角柱来讲毫无意义。
梁柱节点区域不同强度混凝土浇筑的7种方法,艺哥推荐这一种:

终凝前来不及浇筑怎么办?
混凝土表面泼一层水泥浆,满血复活!

这种妙招叫接浆法。


“留言区等你来聊!”