前两天听一个老师进行政策的分析,对所有家长进行引导时,不建议家长选择到黄浦区,按照他的说法是选择哪一个区也不要到黄浦区读书。这好像和大部分家长所想象的是不一样的。
因为,想象中的黄浦是 学生少,市重点多,竞争压力小的区,每年跨区回黄浦的考生都有很多。
这种说法其实也有点道理,也有点极端,我觉得重点看学生的定位和层次水平。
今天我也来说一下。
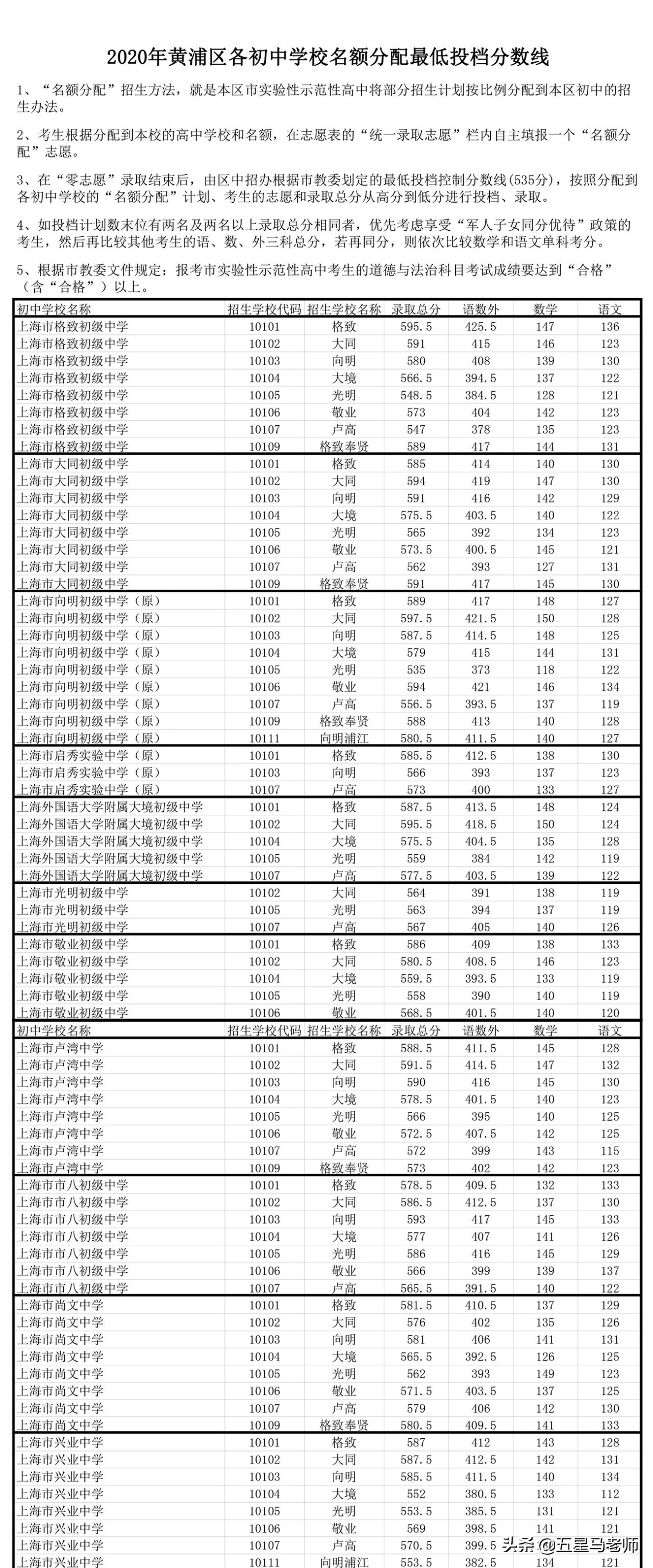
上海的中考是一个升学考和毕业考两考合一的,比较简单,难度系数是0.85,也就是说,正常水平学生普遍都能考到单科127.5分(满分150),这样中考总分已经是540分,超过提前录取指导分数线了。因为简单,所以区分度不大,所有市重点高中之间的分数差距其实不是那么大。你看2020年所有高中的录取分数线裸考排位,已经把所有的高中裸考排位排好了,也是各个高中生源的优劣排位,这是大家都知道的。
通过分数线,大家就可以对高中之间进行一个比较。不用特别纠结。

从图中可以知道,黄浦区各市重点的排名在全市范围是相对靠后的。但这个靠后的分差其实也没有多少,中考的几分差距反映不出学生的能力差别。
影响学生差距的是下面这个因素:
市重点高中的裸考生源只占所有生源的30%的比例。另外的招生比例大部分来自于提前录取(40-50%)名额分配(15%)以及零志愿(15%)(老中考政策)。
按照往年的数据,零志愿学生的分数往往是高于自己学校裸考的线。提前录取的这批学生成绩往往也是超过自己学校裸考分数线的。那造成学校差距比较大的很重要的原因是在名额分配这一批学生。
从黄浦区各学校名额分配的录取分数线来看,540能进卢高,535能进光明,560能进大同,甚至540多能进向明浦江,这些名额分配进去的学生,拉低了学校的下限以及平均分。


用低分是进了市重点,进了好学校,中考后可以兴奋一下,可是中考不是终点,高考才是,高考时却要全市统一竞争,不分区了。无论你进的是什么高中,高考都一视同仁!这时候比拼的就是学生成绩了。大同格致作为区内老大,头顶八校光环,还能通过自主招生拿一些外区好学生,还能拿到一批好学生,高考成绩不用担心。但第二梯队的高中如敬业卢湾光明真的很尴尬。
每年高考后,都有说黄浦的普通市重点高中高考成绩不行,其实不是老师不好,是生源决定的,这些学校的老师也很痛苦,也对生源没有办法,中考录取制度决定的。再加上黄浦的房价高企,影响了很大一批新上海人学霸二代的落户。(对比看看浦东的碧云、前滩、闵行的紫竹,这些区域学校的进步很大,不是老师变了,是生源变了,浦东的进才分数已经超过了老八校,位居全市第7了。)
所以,对比下来,如果学生定位中上等市重点高中的,可以到黄浦,有优势。低分上大同格致向明。
定位普通市重点高中的,到黄浦,也有优势,上个市重点,不过高考就没有优势了,要拼自己的成绩。
定位区重点或者普高的,其实哪个区都一样,不用折腾,差别不大。
未来,新中考改革以后,初中名额分配的比例大幅度增加,1比2投档,750+50分的计分方式,这些变化极大的影响高中的生源。作为黄浦区,人口外出区,考生少,区内优质学生少,出国比例大,没有了生源根基,未来确实令人担忧。