考试中数量关系这类题型是大家公认的比较难的题型,主要是因为知识点比较多,时间不够用,跟其他题型相比性价比没有那么高,因此实战的原则就是挑题做捡题做,几何问题就属于大家可以挑的题型之一,考察的知识点相对比较明确,主要考察平面几何和立体几何,其中平面几何以常见几何图形的周长和面积为主要考察对象,求面积的题型中阴影部分面积的求解是不少同学的难点,其实对于阴影部分面积的求解,只要用对方法大家就会发现没有那么难,所谓“脚尖旋转,阴影自开”,今天中公教育就带大家看看如何使用旋转法解决阴影部分面积。
求阴影部分面积看似复杂,稍作旋转就会有“山重水复疑无路,柳暗花明又一村”的既视感,如图1,图中阴影有两部分,其中一个属于不规则图形,单独求出每部分的面积之后再相加就有些复杂了。如果我们把图中不规则的部分稍作旋转,变成图2,两部分阴影合成一个,就是我们熟悉的扇形,再利用扇形的面积求解公式直接求解即可。旋转一下,化繁为简,是不是很神奇了?那就跟着中公教育一起 “旋转”吧!

【例题1】 如图,一个边长为4cm的正方形,内部放了四个与正方形相切的圆,且圆两两相切,求图中阴影部分的面积?
A.4 B.6 C.8 D.10
【中公解析】答案:A。 如图,图中阴影包含两个部分,

一部分是内部小圆的面积,一部分是四个圆中间形成的阴影部分面积,单独求解四个圆中间形成的阴影部分面积不好求解,可连接正方形四边的中点,因四个圆两两相切,则中线必过切点且与正方形的边形成四个边长为2cm的小正方形,且每个圆均与小正方形相切(如图),此时中间阴影部分被分成四个面积相等的小部分,再将四个小阴影部分稍作旋转,均放在一个小正方形中(如图4),此时阴影部分的面积就变成小正方形的面积2×2=4(cm2),故答案选A。

【例题2】 如图,太极八卦图外部是以O点为圆心,6cm为半径的圆,其内部白色小圆与黑色小圆的圆心与大圆圆心在同一条直线上,且小圆直径为2cm,求图中阴影部分的面积?
A.8π B. 12π C. 16π D.18π
【中公解析】答案:D。 如图,阴影部分分为两块,

一块为小圆的面积,一块为不规则图形的面积,不规则图形的面积单独求解不好求,可以做如下处理,过O点连接白色黑色两个小圆的圆心并延长交大圆于A、B两点(如图),将黑色小圆向左移动与白色小圆重合,再将直径AB上方形成的新的阴影面积向右旋转180°(如图6),此时阴影部分面积就转化为半圆的面积即S阴=π62÷2=18π(cm2),故选择D。

【例题3】 如图,等腰直角三角形,斜边为6cm,在两直角边上取一定长度为直径作两个半圆,且两半圆相切,分别与等腰三角形的斜边截得长度为2cm、3cm的弦,求阴影部分的面积?
A.2 B. 2.5 C. 3 D.3.5
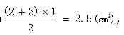
【中公解析】答案:B。 如图,阴影包含三个部分,两个弧形,

一个不规则的部分,分别连接两半圆与等腰三角形两边的交点(如图),根据直径对应的圆周角是90°,可得两虚线垂直于斜边且相互平行,又因为大三角形是等腰三角形,则两个小三角形也是等腰三角形,所以外部两个弧形阴影的面积与内部两个弧形的面积相等,故将外部大小两弧形阴影分别向左、右旋转90°(如图8),阴影部分面积就转化成了梯形的面积,所以梯形面积为

故答案选择B。

综上,阴影部分面积的求解是不是没有大家想的那么难了?“脚尖旋转,阴影自开”你还在等什么呢?跟着中公教育一块学习吧。