
文sir因在南京租房,曾在今年6月份时(乐伽尚未暴雷)近距离接触乐伽公寓团队的收房工作人员,谈的标的是一套我和乐伽都看中了,不过我认为价格偏高的小三居(房东报价约5500元/月),乐伽的人承诺,他们如从按此报价从房东手里拿到房,可以5000元租给我,最奇葩的是带我找房的某大牌中介的人还帮着乐伽背书。因没接触过这种模式,我犹豫了几天,然后乐伽就暴雷了。
——长租公寓怎么了!
一、国内长租公寓这块饼有多大,谁在背后画饼
市场规模、品牌总览
1、时间脉络,谁发现了长租公寓的商业机会
国内长租公寓这件事在近年进入大众视野,一般认为始于2015年,当年11月,国务院首次将“公寓”定调为生活*服务性**业,并提出将重点支持长短租公寓等业务发展。随后,在巨大的需求驱动及多项利好政策加持下,玩家陆续进场,据非官方预测,长租公寓被普遍吹捧为下一个“万亿蓝海”,总市场规模超过1.5万亿。
但实际上,作为大部分商业领域先知先觉的典范,互联网的创业大军也是长租公寓这桌牌局最早的入局者,如魔方公寓,早在2010年前后行业还未群起争食的时候,已经在布局。
第二梯队,酒店系、中介系大举起兵,然而国内的公寓行业真正铺开,则是房地产开发商在2017-2018年间的大举扩张,包括长租ABS等融资手段的加持,迅速将这一泡沫吹大。
据克而瑞的统计,TOP30房企中已进军或表示将布局长租公寓的房企已有近20家。2018年我国头部房企在长租公寓资产证券化方面的发行规模已达107.21亿元,相比2017年增长了168%。从房源规模来看,目前排名前3的(克尔瑞2018数据,仅考虑房企)分别为万科泊寓(23万套)、龙湖冠寓(11万套)、旭辉领寓(6万套),其中万科泊寓受惠于“万村计划”(已变相暂停)较2017年房源增长近3倍,龙湖冠寓和旭辉领寓也保持着100%及150%的增长速度。

题外:按照庄辰超通过便利蜂圈定便利店行业作为优质创业机会的决策模型,文sir认为同样适用于长租公寓行业(尤其是集中式长租公寓),并同样落在创新机会多(智能家居、VR)+产业整合程度低(尚未被巨头垄断)的第四象限,故而认为长租公寓属于一个可以标准化的优质创业机会(语境时点:2017年之前)。
2、洗牌3年之后,谁手里还有牌:2019是长租公寓的春秋战国时代,群雄割据、十八路诸侯并起
按参与主体(即股东构成、资本背景)来看,目前场内玩家基本可以分为四类:房地产企业基因(开发商)、酒店系、中介系和物联网创业品牌。每一个派系发展起来的公寓品牌基因不同,因此也具备不同的招式打法、内功心法。


从产品形式看,目前国内公寓产品可以分为集中式长租、分散式长租、服务式、短租公寓,本文仅将目光聚焦到集中式和分散式长租公寓两类。按照迈点2019年年初发布的品牌影响力榜单,各类别内排名靠前的品牌如下:
- 集中式长租公寓品牌影响力前十品牌是:冠寓、泊寓、YOU 国际青年社区、魔方公寓、自如寓、新派公寓、世联红璞、城家公寓、旭辉领寓和窝趣;
- 分散式长租公寓品牌影响力前十品牌是:蛋壳公寓、自如、包租婆、优客逸家、青客、美丽屋、魔飞公寓、房家加、悦如公寓和水滴公寓。

补充:
服务式公寓排名前十的品牌是:盛捷服务公寓、雅诗阁服务公寓、优帕克服务式公寓、万豪行政公寓、馨乐庭服务公寓、铂顿国际公寓、辉盛阁国际公寓、瑞贝庭公寓酒店、名致服务公寓和艾丽华酒店式公寓;
短租公寓排名前十的品牌是:斯维登公寓、一呆公寓、寓米公寓、拜登公寓、维福顿公寓、港润寓上公寓、苏宁雅悦行政公寓、天天如家自助服务式公寓、诺盟酒店公寓和喜运服务公寓。
二、长租公寓赚不赚钱
数字说话,模拟一个一线城市公寓项目看结果
(下表测算仅考虑公寓部分,忽略商业部分,不考虑转租)
1、场景假设:北京,300间房(单房面积50平),15年摊销(半年免租)。

2、项目签约成本:起始租金成本2元/天/平,年增3%。

3、前期投入成本:装修单价(1000元/平)*总建面(15000),约为1500万。

4、项目运营数据假定:首年租金4500/月(年增5%),3月后空置率稳定在5%以内,运营成本占营收比7-10%。

5、结果输出:
内部收益率32%,第5年累计现金流转正(当年EBITDA 450万元,并基本按50-60万元/年递增),15年平均EBITDA 540万元。重点关注两项指标——首年租金占比(尽量低)、EBITDA/单房成本(YOC尽量高)。


6、文sir认为应该输出的结果
综合看,该项目的财务逻辑属于 中规中矩 ,5年回收期,稳定后每年贡献500万以上净现金流,且前期一次性投入可控(总投入1500万元,单房成本5万元)。
不过,客观上,按照目前一线城市的租房价格(认为70-80元/月/平较为合理,本案按北京的平均水平4500元/50平=90元/月/平,偏高),以及对公寓类产品出租率的预期(本案按出租率95%进行估计,过分乐观),文sir认为上述数据几乎不能达到,属于乐观程度较大的一种估计。
数据矫正之后(租房价格调低至80元/平/月,出租率调低至85%-90%),结果输出则非常难看,回收期拉长至8以后,同时IRR掉落至20%以内,且首年租金占比过高。
回答本节标题(二、),长租公寓单体项目盈利并不容易,但也并不是非得走歪门邪道。
三、长租公寓暴雷的几种姿势
下一个乐伽,是谁
1、跑路
乐伽无疑是2019年中扛起长租公寓暴雷大旗的标志性事件,然而乐伽的倒闭并非偶然,也并不孤单。仅2017年以来,公寓行业仿佛被黑天鹅击中,前后20余家大、小公寓品牌阵亡,包括上海爱公寓、杭州鼎家、深圳鱼悦公寓、北京昊园恒业等,甚至还有上海寓见公寓——一家有着雷军加持、资产规模超300亿、开业时房源就超过2万个的“明星”品牌也难逃爆雷命运。
部分长租公寓阵亡名单(同策整理,2019.04更新)

2、甲醛
其实本来不想黑自如,文sir刚在北京漂的两年就是住在自如的产品,和老婆共同为了小家奋斗的美好两年,自如至少给我留下的都是美好记忆。同时,自如公司中素质普遍较高的中介人员也给文sir留下了深刻印象,现在仍有关系不错的朋友在自如任职。
不过,事实就是事实,无法回避。关于自如,想必不用笔者多言,近年来反复见诸报端的甲醛、白血病、针孔摄像头字眼已经够刺激你我神经。甚至在贝壳、链家体系内工作的朋友,自己都向文sir建议,不要住自如的公寓,言下之意不言自明。

其实无需多言,细心的朋友从第二节里给长租公寓算账的案例中单房装修成本即可以发现,1000元/平,基本是成本控制上限(行业标准),而且除了该项之外没有其他改造成本栏目(可以把这项造价理解为改造+软硬装?),实际下拨到项目上只会比这个大打折扣,因为装修成本是硬投入、一次性投入、占用资金量大,无论自如还是其他公寓品牌,一旦品牌价值观转向财务指标,压榨装修成本是一定的。从这点上讲,要给老东家打个广告了。引用文sir上家地产公司老板常挂在嘴边的话,“装修成本在1000元以下的房子根本是不能住人的”。当然,抛开住宅精装动辄数千元/平的标准这类项目不谈,也忽略个别公寓操盘主体自己有装修团队存在内部利益输送把成本限额进一步蚕食,仅对标两类项目的客观装修标准大家自行体会:1)回迁安置房(框剪结构)的简装成本一般<1300-1500元;2)稍微靠谱点的连锁酒店单间客房纯装修成本(装饰工程、软装、采暖、制冷等):<1500-2000元。
3、租金贷
租金贷是什么?这个话题可以翻阅去年8月暴雷的杭州鼎家事件。
2018年8月20日,杭州鼎家长租公寓宣告破产,涉及4000户租户受损,牵涉6家网贷平台。据不完全统计,事发时“鼎家”租客共计1770户,实际受损房东880户。880户房东很窝囊,他们被“鼎家”拖欠的房租,共计约680万元。1770户租客更委屈,他们因此陷入了“租金贷”的风波——不仅拿不回租金和押金,还得继续向*款贷**平台偿还“租金贷”。甚至,租客们想在目前的房子住下去,就得重新支付房租,同时继续还贷,等于每月交双倍租金。
如果还不够直观,文sir 放了另外一个更为详细的案例,在这篇文章中,作者用讲故事的方式详细讲述了一个毕业生如何落入租金贷的坑,感兴趣的朋友可以翻阅:
长租公寓爆仓
https://mp.weixin.qq.com/s/fKVzCDJ9369NCGsfXtbn1g。
四、回过头再说说乐伽的“商业模式”BUG
一个截图,一手好牌,碎了

上面这个新闻截图简明扼要的把乐伽模式的弊端点了出来,就是:高价收房、低价出租,所谓快周转,从房东、租客上下两端盘活现金流,其本质上是一种金融加杠杆的快速扩张行为。
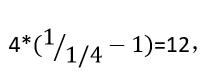
具体而言,乐伽向租客收取一年租金并向房东支付一个季度的租金后,还可以再向三套房源的房东各支付一个季度的租金,而这三套房源如果顺利租出去,就能再收取三套房屋全年的租金,就这样,通过收付租金的“时间差”,乐伽可以迅速扩大规模。
一个简单点的算式:

按年收 、按季付一次杠杆率是四倍(1次,1套房源),然后再来一轮(2次,4套房源)就把杠杆放大到十倍以上,不堪想象。
一旦流动性出现一点问题,牵一发动全身,可以在一夜之间崩盘。
不多讲了,最后用一篇公告镇宅,请聪明的读者自行揣摩。

文sir结语:客观上,长租公寓具备一个优质商业模式应有属性,否则也不会有那些抢滩登陆者。只不过,这个时代太在乎外化模式而忽略了商业本质。从这一点上看,长租公寓的雷不止是项目个案、行业个案,甚至不是商业问题、经济问题,折射的是这个社会急功近利、短视侥幸的扭曲商业伦理,是社会学问题。每一个喊着口号冲向千、万、亿年度计划的大型机构,每个把商业模型渲染的天花乱坠的BP创业文案,我似乎都看到了乐伽的影子。
在商场,快很重要,但慢不下来,也着实可怕!