近年来,随着人工智能技术的快速发展,越来越多的行业受到了人工智能技术的影响,某些行业甚至被人工智能技术所颠覆。彩票行业与“数”有着千丝万缕的关系,而人工智能技术的基础就在于“数”的应用。
在人工智能领域,人工神经网络是一个研究热点,由于其具备学习与纠正的能力,在智能预测方面,人工神经网络展现出强大的潜力。世界杯期间,有人便利用人工神经网络进行足彩预测,那么人工神经网络预测彩票究竟是怎么一回事呢?
定义:什么是人工神经网络
人工神经网络,亦称为神经网络。在《 人工神经网络原理及仿真实例》中将其定义为:是由大量处理单元(神经元 Neurons)广泛互连而成的网络,是对人脑的抽象、简化和模拟,反映人脑的基本特性。
本质上说,人工神经网络可视为一种运算模型或信息处理系统。其具备非线性、非局限性、非常定性、非凸性等特征。
原理:人工神经网络怎样预测彩票
在彩票业最常见的游戏是数字型彩票游戏。该类彩票游戏结果由*奖摇**机摇号产生,每个号码的产生都是随机性事件,然而各个数字出现的频率具备一定的特性。
基于此,传统预测方法运用概率论进行冷热号出现周期的判断,分析号码出现的号段,缩小选择范围,进而提高中奖率。
有学者认为,彩票号码预测的过程可看作是一种复杂非线性函数关系的逼近过程,要对其进行较准确的预测就必须采用能捕捉非线性变化规律的预测方法。

BP神经网络
BP神经网络是当前人工神经网络中应用最为广泛的神经网络模型,其具有逼近任意连续函数和非线性映射的能力,并可进行高维非线性的精确映射。
BP神经网络的基本原理是:学习过程由信号的正向传播与误差的反向传播两个过程组成。这两个传播过程周而复始并不断调整内部系统,最终使得在误差范围内输出信号符合预期结果。

神经网络彩票预测过程
基于此,可将数字型彩票的历史奖号信息用于训练BP神经网络,使得输入的号码信息能够不断调整并最终输出为已知的奖号信息,进而预测未来开奖信息。
意义:预测效果究竟如何?
从BP神经网络的基本原理可得知,BP神经网络的预测结果依旧存在误差,只是BP神经网络将误差控制在了一定的范围内。那么具体来说预测效果如何?相关学者对此进行了研究,并将研究结果公开发表。
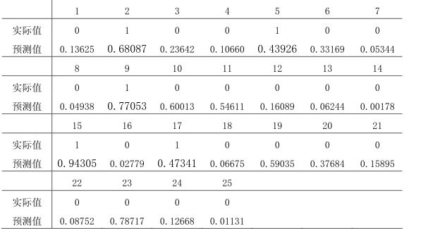
测试一
2006年天津大学刘艳荣《基于BP 网络的彩票预测系统的研究》中以当年“辽宁风采25选4”游戏为例,并结合游戏特点设计了BP人工网络的结构进行彩票预测。
该研究选取的样本集为“辽宁风采25选4”从2005年第101期到第151期的数据。用2005年第151期到160期的数据组成训练集,用训练好的BP网络进行预测,仅以一个样本为例,预测结果如下(其中0为不出现,1为出现):

在该组测试中,具有较高出现可能(预测值越接近1)的号码为15、23、9、2、10,实际中奖号码为2、5、9、15、17,预测中三个号码。
测试二
2009年涂晔、车文刚以双色球历史开奖数据2008073期到2008133期的数据作为训练样本对BP神经网络进行学习训练。测试样本为2008130期的数据即 (01 12 18 28 30 32+06), 期望输出(实际值)为2008131期数据,即 (02 12 15 18 22 32+08)。分别运用3种改进的BP算法进行预测,预测值与实际值的比较如下表:

该测试中只有第三种算法预测准确率较高,预测中5个号码。
测试三
2011年李维良、叶三星基于遗传算法与BP算法,建立了双色球预测模型,并对近100期双色球的数据进行实验验证。该研究结果如下:

可以看到在该组测试中,2011093期隐含层节点数为18的组中预测中5个号码,2011095期隐含层节点数为18的组中预测中5个号码。
第一个测试中预测结果较好,但仅用了一组数据作为实验验证的结果,不具代表性。第二个测试用了三种算法验证一组结果,只有第三种有较高的准确度,且数据量依然太小难以说明问题。第三个测试数据较多,发现只有两组结果准确度较高。
总体来说,现阶段的BP神经网络在预测彩票奖号上还存在一些差距,但是BP神经网络预测的结果在某些情况下已较为接近真实数据。
正如上文所说,由于BP神经网络算法的特点,通过BP神经网络预测的结果存在误差,并且面对每个新的、独立的、随机性的开奖结果,BP神经网络对于彩票所做的预测还只能做到接近未知的结果。当然,即便如此,接近的结果也具备一定的参考价值。
结语
相关学者认为,与传统的人为分析统计建模方法相比,人工神经网络预测精度较高而且预测方法较为科学。
事实上,在操作应用层面,人工神经网络算法的预测精度受到算法选择、模型构建、数据样本等诸多因素的影响。此外,工神经网络本身还存在一些缺陷也限制了其预测的精度。
我国彩票业经过数十年的发展,在相关数字游戏上已经积累了大量的数据。如何更好地将这些数据应用至人工神经网络模型的训练,人工神经网络在今后彩票预测的应用上表现如何,还需拭目以待。
参考资料
高隽,人工神经网络原理及仿真实例,北京:机械工业出版, 2003
朱大奇 史慧 . 人工神经网络原理及应用:科学出版社,2005
涂晔,车文刚 . BP神经网络在福利彩票预测中的应用[J].计算机科学学报,2009
刘艳荣,基于BP网络的彩票预测系统的研究[D]. 天津大学, 2006.
李维良,叶三星.遗传BP算法在双色*彩球**票预测中的应用[J]. 软件导刊, 2011, 10(11):81-83.
往期精选 Editors' Choice
• end •
本文为公益时报中华彩讯原创首发,欢迎转载
转载请后台回复“转载”获得授权,违者必究
文丨邢天航
微信编辑 | 吕煜