

文 | 娱析
编辑 | 娱析

z高介电常数陶瓷填料被广泛用作聚合物基体中的填料,以制备高性能介电复合材料,发现这些复合薄膜中的均匀填料分布很难在高介电常数和高击穿强度之间取得平衡。
需要注意的是,至少1/3的总膜体积应该被高击穿强度层占据以保持相当高的总击穿强度。而且,高介电常数层应该是外层以实现整体高介电常数。
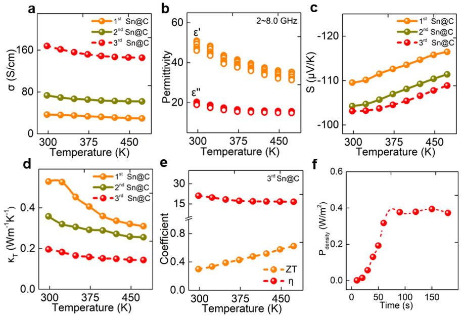
在所研究的所有层状结构中,最大能量密度为 6.03 J/cm3层非顺序排列结构的薄膜获得了3 ,比相同组成的单层薄膜提高了68%。
该研究为制备用于储能应用的多层介电聚合物复合薄膜提供了一定的参考价值。
今天,小西就来给大家介绍一下,多层膜结构,对复合膜介电性能提供了的参考价值。


●○重要意义○●
具有高介电常数、高击穿强度和低介电损耗的高储能密度介质电容器材料对于制备电气元件具有重要意义。
传统的陶瓷电介质在其高介电常数方面具有很大的优势。如钛酸钡, 锆钛酸铅,与陶瓷电介质相比,聚合物基电介质材料具有高介电击穿强度、优异的柔韧性和低密度。
但是储能密度受到低介电常数的限制的纯聚合物用于应用。目前,聚偏氟乙烯及其与三氟乙烯、六氟丙烯的共聚物由于具有高介电常数而被广泛研究。
在 1000 赫兹,为了提高聚合物电介质的介电性能,人们研究了陶瓷,聚合物复合材料以获得高介电常数。
高介电常数陶瓷材料的引入确实有助于这些复合材料的介电性能。
将嵌有 BaTiO 3纳米粒子的TiO 2纳米纤维引入P聚合物基体中,储能密度提高至 ~31.2 J/cm 3 。

然而,高介电常数复合材料通常伴随着更多的漏电流和高填料含量的损耗,导致击穿强度降低。
一般来说,高介电常数填料附近的电场远高于聚合物基体其他部分的电场,如此强的局部电场可能导致更高的击穿概率,尤其是对于相当高的填料含量。
因此,重要的是提高复合材料的介电常数,同时避免击穿强度下降。
因此,结构化多层膜是实现这一目标的一种简单而有效的方法,其中高填料含量层提供高介电常数,低填料含量层避免增加漏电流。
目前,多层复合薄膜的研究多为外层为高介电常数层,内层为高击穿强度层的夹层结构。
多层结构的一些报告列出人们认为,在这些多层薄膜中引入低介电和高击穿层可以使这些材料中的电场分布不均匀,从而降低 HD 层中的内场强度并提高这些复合材料的整体击穿强度和储能密度。

据报道,通过调整填料含量形成的多层结构薄膜中的每一层都可以为整个薄膜贡献自己的优势,从而提高介电常数和击穿强度。
介电常数和击穿强度均可在平衡范围内调节,以获得最大的储能密度。与单层复合材料相比,多层结构可将能量密度提高100%。
然而,多层结构可以进行不同的设计,关于非三明治多层结构薄膜性能的研究很少。
相信具有不同结构的多层膜会对介电性能产生不同的影响,应进一步研究层数和特定层的位置等问题以进一步了解其机制。
在此,设计了九种不同的结构来制造多层复合膜。除了常见的夹层结构外,还设计了非对称和交替多层膜来探索它们的介电特性。
常被用作超级电容器的电极材料。我们小组最近使用这种类型的材料作为介电聚合物复合材料的填料。

与BaTiO 3等其他介电填料相比,Ni2由于与聚合物基体的强相互作用,无需任何表面改性即可均匀分散在PVDF基体中。
因此,当Ni2含量相当高时,更有可能保持低介电损耗并抑制漏电流。在此,采用水热法制备了类六方结构的 Ni(OH) 2薄片并将其添加到 P基体中以制备单层和多层复合薄膜。
研究了层数和特定层位置对整个薄膜最终介电性能的影响。讨论了造成观察到的效果的机制。
N , N-二甲基甲酰胺、*水氨**和六水氯化镍购自中国成都科龙公司,P购自 Sigma-Aldrich。
采用水热法合成了氢氧化镍纳米片。在缓慢搅拌下,首先将2.314 g NiCl 2 ·6H 2 O溶解在200 ml去离子水中。

逐渐地,将6ml NH 3 ·H 2 O滴入上述溶液中。然后将混合物转移到带有聚四氟乙烯衬里的 300 毫升不锈钢高压釜中,随后在 220 °C 下退火 6 小时。
最后,过滤收集所得产物,用去离子水和乙醇洗涤数次,然后在 60 °C 下真空干燥 24 h。
Ni(OH) 2 /P单层和多层薄膜的制备
为了制备 Ni(OH) 2 /P单层复合膜,将所需量的 P颗粒溶解在 DMF 中,在 60 °C 下搅拌 1 小时。
然后,通过超声处理 3 小时,将一定量的 Ni2纳米薄片分散在溶液中然后搅拌 24 小时。
将得到的均匀悬浮液滴在干净的玻璃基板上,用可调刮刀涂抹,然后在 60°C 真空干燥 12 小时。
最后,将单层薄膜在 200 °C 和 10 MPa 的压力下压制 30 分钟,得到厚度约为 20 μm 的最终复合薄膜。


●○镍2/P多层膜采用相同的铺展工艺逐层制造○●
镍2/P多层膜采用相同的铺展工艺逐层制造,其中,通过改变刮刀的高度来调整各层的厚度,使整体厚度保持在20~30 μm之间。
为保证多层薄膜中总填料含量的一致性,控制了各层的厚度比。
粉末 X 射线衍射测量在 Philips X'Pert pro MPD X 射线检测器下进行,使用 Cu Kα 辐射,扫描电压为 40 kV,电流为 40 mA,2θ = 5°– 70°扫描范围。
使用Nicolet 6700 仪器从4000 到400 cm -1获得傅里叶变换红外光谱。
Ni2的形貌特征使用 FEI Inspect F 型扫描电子显微镜在 20 kV 加速电压下观察纳米薄片和复合材料。

NOVOCONTROL 宽带介电谱仪用于表征复合薄膜的介电性能。复合薄膜的 DE 回路由铁电测试仪进行。
热重分析 (TGA) 研究使用 Q500在氮气气氛中以 10 °C/min 的加热速率进行,计算机仿真图是用COMSOL Multiphysics计算绘制的。
通过调节反应条件,水热法制备的Ni(OH) 2可以很容易地转变为不同的形貌。在一定的温度和压力条件下,Ni(OH) 2通过重结晶呈现出特定的晶型和形貌。
TGA曲线表明合成的Ni(OH) 2的分解温度为280℃,最终产物为氧化镍(NiO)和水。合成的Ni(OH) 2的FT-IR光谱如图2(d)所示。
合成的Ni(OH) 2的光谱在3641 cm -1处有一个吸收峰,归因于没有氢键的OH的伸缩,460 cm -1附近的吸收峰与Ni-O的晶格振动有关,吸收水的伸缩振动吸收峰分别为3428.4cm -1和1618.9cm -1。

10 wt%、30 wt%、50 wt% Ni(OH) 2 /P和 L3 复合薄膜的横截面表面形貌,由于填料与基体之间的强相互作用,Ni(OH) 2纳米薄片无需任何表面改性即可很好地分散在P(VDF-HFP)基体中。
多层膜各层厚度与制备时计算的厚度一致,L2中的比例约为1:1;L3、L3r 1:2:1;L3a、L3s 中为 1:1:1;L4 1:1:1:1;L5 中的 1:1:2:1:1、L5r 中的 1:1:2:1:1 和 L5a 中的 1:1:1:1:1。
最后,这些多层膜中 Ni(OH) 2的平均含量保持在 30 wt%。此外,层与层之间的界面是不同的。
图 4(a)显示了具有不同 Ni(OH) 2含量的单层复合材料的 FT-IR 光谱。这些样品在波数为 766、795、854 和 974 cm -1时表现出吸收带,这是 α-结晶 P(VDF-HFP) 的特征。这表明基质主要呈现 α 型晶体。此外,在840和1275cm -1处观察到两个弱吸收带,归因于β晶型。这表明存在少量 β-结晶 P(VDF-HFP)。此外,β晶相的相对含量可根据Lambert-Beer定律计算如下:

制备了几组具有不同 Ni(OH) 2含量的单层复合薄膜,室温下单层纯聚合物和复合薄膜的介电常数和损耗的频率依赖性。
显然,这些复合材料的介电常数在40-10 7 Hz频率范围内随着Ni(OH) 2含量的增加呈现上升趋势。
这归因于 Ni(OH) 2填料和聚合物基体之间的界面极化。纯P基质在 10 3时的介电常数为 10.9Hz 和 50 wt% Ni(OH) 2 /P复合材料的值为 17.6,增加了约 60%。
同时,随着填料含量的增加,复合材料的介电损耗略有增加。纯聚合物和这些复合材料的介电损耗分别为 0.049 (10 3 Hz) 和 ∼0.06 (10 3 Hz)。
此外,高频的介电损耗高于低频的介电损耗,这是由于偶极子无法跟上外部变化而产生弛豫现象。高频下的电场方向。
具有各种 Ni(OH) 2含量的单层复合材料的介电常数和介电损耗的频率依赖性。
击穿强度的 Weibull 分布,DE回路,200 kV/mm 下各种 Ni(OH) 2的最大能量密度和能量效率。


●○薄膜的击穿强度由耐压测试仪测量○●
薄膜的击穿强度由耐压测试仪测量,将厚度约20 μm的薄膜置于特制的铜针电极和片状电极之间,然后完全浸入高压硅油中。
纯聚合物的Eb为~260 kV/mm,而单层复合材料的Eb随着填料含量的增加呈现出先增大后减小的趋势,当Ni(OH) 2的含量为10 wt%时,它达到最大值300 kV/mm 。
一定含量的Ni(OH) 2纳米薄片在外加电场作用下可通过阻碍电树的生长起到阻断电流击穿的作用。
但过多的填料含量会导致局部电场显着增加,从而导致更高的击穿概率。纯 P和 Ni(OH) 2 /P(VDF-HFP) 复合材料针对各种 Ni(OH) 2负载量的典型 D-E 环。
随着Ni(OH) 2负载量的增加,相同电场下电位移显著增加。在 200 kV/mm 的电场下,纯 P(VDF–HFP) 的最大位移为 2.57 μC/cm 2 ,对于含有 50 wt% Ni(OH) 2的复合材料,该位移增加到 5.14 μC/cm 2在同一电场下。

增加的位移归因于复合材料的相对介电常数的增加。样品的储能密度和能量效率。
10 wt% Ni(OH) 2 /P复合材料的最高储能密度为 5.01 J/cm 3,比纯的3.03 J/cm 3高 66%,因为其高击穿强度。
此外,30 wt% Ni(OH) 2 /P(VDF-HFP) 和 50 wt% Ni(OH) 2 /P(VDF-HFP) 表明能量密度为 3.59 J/cm 3和 2.75 J/cm 3。
还可以看出,能量效率随着填料含量的增加而降低,从纯 P(VDF-HFP) 的 0.71 到 50 wt% Ni(OH) 2 /P(VDF-HFP)的 0.43。
为了研究薄膜结构对这些薄膜最终介电性能的影响,制备了具有恒定 Ni(OH) 2含量 (30 wt%) 的不同多层薄膜。各样品的结构示意图。
对于多层膜和单层对照样品,室温下介电常数和损耗分析的频率依赖性如图6(b)所示。在这10个样品中,Ni(OH) 2的平均含量保持在 30 wt%。

介电常数因薄膜结构不同而不同,在 10 3 Hz 时,外层为高填料含量层,内层为低含量层的多层膜的介电常数高于具有相反结构的样品。
在10 3 Hz时,浓度梯度较小的5层结构复合膜也比浓度梯度较大的3层结构膜具有更高的介电常数。
由于不同层中Ni(OH) 2含量的差异,Ni(OH) 2之间的界面极化密度和 P(VDF-HFP) 矩阵也出现不均匀分布。
据推测,这种现象是由多层结构薄膜中填料和聚合物基体之间的界面极化分布引起的。此外,具有顺序排列结构的样品为非对称结构,其介电常数略低于具有夹层结构的样品。
对称的夹层结构被认为由于对称的极化分布而更利于电极板存储电荷。此外,当HD层靠近电极板时,电极板通过极化存储电荷的能力更强。这与参考文献中报告的一些观察结果一致。

这10个样品的击穿强度和特征击穿强度的威布尔分布结果表明,由于引入了HB层,多层结构样品的击穿强度均不同程度高于单层膜。
其中,三层夹层结构样品和非对称结构样品的击穿场分布明显高于L1。
然而,5 层膜的击穿强度仅与 L1 相似,发现样品的击穿强度与这些薄膜中 HB 层的比例有关。
样本L1中HB层的比例为0;样品 L5a 中的 0.2;样品 L3a、L3s、L5、L5r 中为 0.33;样品 L2、L3、L3r、L4 中的 0.5 和 10 wt% Ni(OH) 2单层膜中的 1.0。
随着HB层比例的增加,样品的击穿强度呈上升趋势。综上所述,高击穿强度层至少要占据整个薄膜体积的1/3才能保持较高的整体击穿强度,而对于50%的HB层含量,多层薄膜的击穿强度几乎达到了纯 HB 层。
最后选取三种典型薄膜进行D-E环路测试。样品L3、L3s和L5的储能密度和能量效率如图8所示。


●○三种研究薄膜之间的电位移○●
可以看出,三种研究薄膜之间的电位移只有很小的差异。样品 L5 显示了在相同电场下三种薄膜中最大的位移。
样品 L3s由于其高击穿强度而显示出 6.03 J/cm 3的最高储能密度。样品 L3 和 L5 分别表现出 5.53 J/cm 3和 4.56 J/cm 3。所有这些都高于 30 wt% Ni(OH) 2/P(VDF-HFP) 单层薄膜。
另外值得注意的是,这三种多层膜的能量效率均高于单层膜,分别达到 0.7、0.68 和 0.6。
为了探索多层结构对最终性能的影响机制,通过计算机模拟了电场,单层薄膜的介电常数设为20 ,代表样品L1;为样品L2,上层介电常数设为10,下层介电常数设为30,依次类推,图9 (c-j)对应L3、L3r、L3a、分别为 L3s、L4、L5、L5r 和 L5a。
然后,将这10个等厚度的样品放置在两个等电位电极之间,模拟电场强度分布。

假设每一层都是均匀的,仿真显示单层薄膜中的电场强度是均匀的,这也表明材料内部的极化分布是均匀的。
然而,由于不均匀的极化,多层结构薄膜中的电场强度分布不均匀。
并且高填料含量层内部的介电场强度比低填料含量层内部的介电场强度弱,这是由于更强的极化抵消了外部电场的影响。
多层结构薄膜可以看作是几个串联的电容器,因此,对于三层夹层结构薄膜。
其中E 1和E 2是外层和内层内部的局部电场强度,d 1和d 2分别代表外层和内层的厚度。同时,根据以上两式,当d 1 = d 2时, E 1 : E 2 = ε 2 : ε 1。
由此可推导出E 1 : E 2 : E 3 = ε 3: ε 2 : ε 1对于5层夹层结构薄膜,其中E 1 , E 2和E 3分别为外层、中层和内层的电场强度。

这与模拟结果一致。这10个样品的平均介电常数为20,但由于极化分布的不同,这些材料的介电性能各不相同。
将L3与L5和L5a进行比较,HB层内部的介电场强度在L3中较弱。此类层的比例为0.5,大于L5、L5r中的0.33和L5a中的0.2。
这表明它可能能够在击穿前承受更强的电场,这得到了所示实验观察的支持。
此外,通过比较L5和L5r,高含量层和低含量层的相对位置只决定了偏振分布。因此,它对整个复合薄膜的击穿强度影响不大。这也与实验结果一致。

总之,多层膜的结构确实会影响这些复合材料的整体介电性能。HB层的引入可以提高薄膜的击穿强度,通过改变高击穿强度层与高介电常数层的比例可以进一步调节介电常数和击穿强度。
因此,具有两种填料含量的多层薄膜具有更高的含量梯度,并且表现出比具有较低含量梯度的薄膜更高的击穿强度和略低的介电常数。

这是因为两种不同填料含量的多层膜中高击穿层所占比例较大。此外,由于引入了高击穿强度层,多层薄膜表现出比单层薄膜更高的能量存储密度。
不对称结构样品的介电常数分别比三明治结构样品的介电常数略低。
另一方面,在不同的层次加入不同的填充物,也是对以后工作的一个思路,人们还认为,多层结构的构造可能是制备高性能介电复合材料的可行方法。