白 冰 付中元 李潇峥 吴 坚
浙江科技学院机械与能源工程学院 杭州 310023
文中重点关注灾后快速、协调的人员大规模疏散,以有效减少损失。有效的疏散调度是研究和开发的一项重要任务和优先事项。该系统采用动态跟踪数学模型(DTMM) 中的场景建立,此场景是为移动云计算平台开发的。DTMM 是一种针对灾难人口密度的面向疏散优化调度模型(EOOSM)。这包括用于数据收集的移动物联网(IoT) 接口以及云处理与分析后端系统。在IoT/Fog 灾害管理的典型场景下开发解决方案,并提出了一个使用人工场效(AFE)的IoT 应用方法,将DTMM 算法作为疏散调度的核心。人工场效(AFE) 被设计成一个IoT 系统,适用于大规模人群的快速疏散,可以根据势场的梯度方向自动确定疏散路径。在AFE 的基础上,引入EOOSM 作为人工场效,并带有AFE-AR 关联。AFE-AR 指挥被疏散者与同一个避难场所保持联系,安抚被疏散者,并尽可能进行人道主义疏散。
关键词:灾害管理;动态跟踪数学模型;人工场效 ;面向疏散优化调度模型
中图分类号:F252; X43 文献标识码:A 文章编号:1001-0785(2020)20-0116-09
0 引言
应急物流和灾害管理需要一个协调、协作的系统,以使应急需求适应于现有资源。该阶段包括分析、编写、分发、检查和审核[1]。因此,应急计划应该是一份有生命力的、定期修改以适应持续变化客观环境的,包括政策、程序和应急责任的指南文件。编制应急计划[2,3] 是一种探索过程,它为管理不可预见的影响提供标准流程,并需要使用精心设计的方案来预测可预见的危险及其所带来的需求。需要根据变化来制定教育、卫生、工业和贸易等具体领域的计划。地方应急响应包含在从国家级、国际级别到区域级别的各级应急响应之中。许多民事意外事件很小,不需要在日常管理实践中改变品质或在资源可用性[5] 上改变数量就可以充分管理。因此,应当关注的是占比较小的少数突发事件,通常不到十分之一,这些事件的重要性在于其足以显著地干扰日常生活和日常工作。区分重大事件、灾害和大灾变的方法并不总是可靠的[6,7]。灾难导致了大规模的迁移行动。此外,灾害应急、应急物流管理和云计算也展示了新的机遇,如灾害管理、数据处理和卫生保健的发展[8,9]。IoT 允许基于社区的智能设备快速收集用户数据,而云提供柔性处理、存储平台和基础设施。图1 展示了基于IoT 的高效疏散调度[10,11]。

图 1 基于物联网的高效疏散调度
当灾难发生时,受影响地区的撤离者往往由于早期的灾难分布和数据发布的不透明而处于恐惧、紧张等心态之中,这会影响撤离者的决策[12]。无组织式疏散和无组织的心态会导致交通拥堵和避难场所分配不均衡,延误了有价值的疏散时间。使用简易和自动疏散方法可以帮助改善这一点[13]。
对于突发事件和利用社会关系来完成人道主义疏散的问题,目前的疏散系统还没有识别个体情感方面的功能。然而,要尽可能稳定被疏散者的情绪是比较重要的,以避免灾难发生时的混乱。简而言之,撤离工作能够有序进行,撤离人员可以保持精神稳定。采用一种有效的基于IoT 的算法可以保持秩序井然[14]。
疏散计划有许多影响因素,如避难场所、疏散人员等,但在现有的应急规划过程中,往往会考虑某些类型的因素,影响疏散的效率或可行性。基于移动电话服务位置的IoT 系统在这一关系中具有极大的价值[15,16]。
1 研究现状
文献[17] 提出了减轻或减少各种损失和提高灾害应对效率的建议,重点是制定分配可持续紧急情况的综合战略。其次,采用结构化方法,建立应急管理、任务决策者、气候和关联性等各种要素的综合结构。利用一种新的多目标积分规划模型(MOIPM,Multi-Objective Integral Programming Model),将该问题简化为减少总加权完成时间、总碳排放和总应急成本。再次,该模型设计用于求解具有多个目标的分支约束策略和管理技术。
为了挽救群众生命和减少损失,文献[18] 提出了一种有效的应急物资调度(EMS,Emergency Material Scheduling) 方法。在查阅近年来EMS 及其相关领域文献的基础上,概述了EMS 优化方法和算法的两个方面。
假设EMS 优化模型主要针对最短时间、最短距离、最小成本、最大满意度和公平性等进行设计,典型的限制条件包括补给库、救援物资和车辆、服务类型、路网状态、预算、应急设备需求预测等。多目标模型比较复杂,通常考虑多个目标。
在文献[19] 中,提出了限制空间情景,即紧急疏散多目标积分规划模型(MODRNP,Multi Objective Integral Programming Model)。为了减少整体的疏散延迟,最大限度地提高疏散效果,该模型在三维模型中进行了空间约束条件下的多源疏散。这些提供了一种基于辅助图形变换的启发式算法,指的是经典的最小加权集覆盖问题。
文献[20] 介绍了二级综合优化系统(TLIOPS,Two-Level Integrated Optimizing System),用于模拟疏散系统,目的是创建一套最优的疏散方案。该系统的目标是在指定的疏散周期内实现流量最大化,并在所有需求在指定时间内被清除后,减少全部运行所需的总时间和等待时间。该系统提供了高水平的优化。利用蜂窝传输原理,通过对具体网络实现的定义进行修正,有效地将交通流关系反映到数学公式中。
在文献[21] 中,讨论了自然灾害情况下交通网络疏散路线的设计和评估。建议在灾难情况下使用疏散计划方法(EPM,Evacuation Planning Method)。该方法以出行时间和交通网络能力作为评价参数,描述了从灾区到各避难场所疏散规划中车流分配的两条独立路径。通往各种避难场所的路线也不设十字路口,以保持交通流量,减少潜在的事故。
2 面向DTMM 的物联网疏散调度系统
DTMM(Dynamic Tracking Mathematical Model)体系结构如图2 所示。DTMM 由四个主要模块组成,包括数据收集、传输网络、云服务和用户访问。由于人群越来越多,研究中正在设计一个主动疏散计划。数据采集模块的主要职责是通过手机等移动设备收集撤离人员的位置信息,并提供相应的纬度和经度。网络传输模块允许移动设备和云服务器之间的基本网络基础设施双向通讯。云服务模块是DTMM 的一个重要部分,依赖于云数据中心。该模块从数据采集模块收集数据,提供数据存储和处理服务。其主要任务是监控疏散人员、家庭、突发事件的数据,并为受灾群众提供定制化的疏散服务。用户访问系统作为用户访问云服务网络提取服务的在线平台,包括应急指挥中心管理人员的WEB 访问接口和可视化移动设备疏散调度接口。

图 2 DTMM 体系架构
1)灾害的典型情景
DTMM 为用户的移动设备收集和提供信息,用于从时间、地点、地区或其他灾难现场的疏散。DTMM的位置对所有在线用户和在周边避难场所开放,如图3所示。DTMM 利用疏散算法的交互方案,根据用户和避难场所位置等数据( 如人际关系) 为用户提供个性化的疏散方案。这种服务引导用户到最容易到达的避难场所。用户可以根据用户访问模块显示可视化的疏散计划。

图 3 避难场所疏散调度方法
2)基于AFE 的疏散调度算法
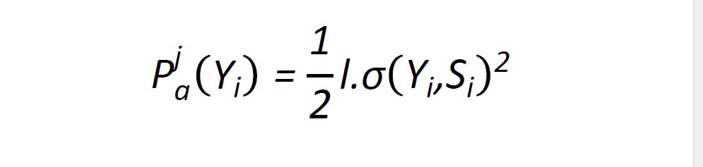
采用人工场效方法(AFE,Artificial Field Efficiency)对如图4 所示的大规模疏散调度场景进行建模。如图4 所示,每个疏散人员作为一个粒子在人工场效中移动。基于人工场效,提出的疏散调度算法的基本思想是借助梯度搜索的方法,将人向总势场中递减最快的方向疏散。
撤离者会出现被排斥的情况,这种糟糕的情况是避难场所为疏散决策提出一个待解决的问题。由此产生的力和斥力控制着撤离人员的流动。人工场性能理论表明,人工场性能是可以实现的。撤离者在潜在区域的疏散力xj 如图5 所示。

图 4 基于人工场效的应急疏散调度模型

图 5 基于人工场效的疏散力
定义1:在紧急情况下,撤离人员被称为配置空间中的人工势场粒子,称为总势场。
定义2:潜在吸引场用于确定在一个避难场所配置区域中产生的吸引强度。
定义3:斥力势场。斥力势场用于表征某一构型区域内的灾害诱导斥力。
避难场所合集如式(1) 所示:

Pr ( Y i ) 为发生灾害的O i= y0,x0 点产生的斥力势场。
将S i 避难场所的潜在吸引力描述为式(6):

式中:l 为引力系数;σ ( Y i ,S i ) 为欧几里得距离Y i 到S i 的距离。欧几里得距离可以用Y i= ( yi,xi) 和Si = ( yi,xi) 计算,用公式(7) 表示:

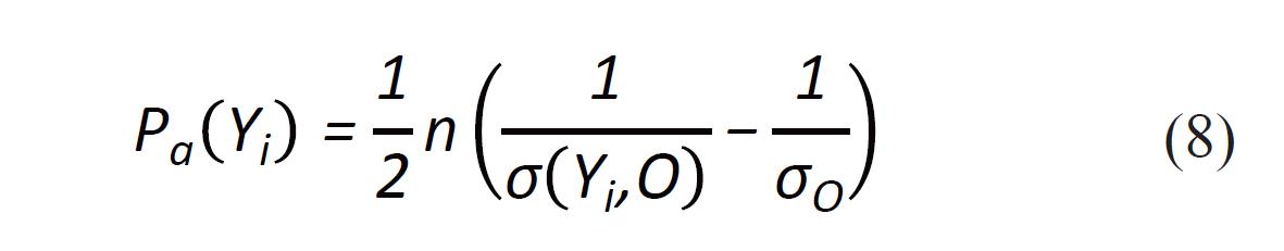
其中 Yi 和Si 纬度之差为p=| xi - xj |,Y i 和S i 经度之差为p=| yi - yj |,地球的球面半径为Re = 6 378.137 。使用FIRAS 函数来确定斥力场,定义为式(8):

式中:n 为斥力系数; Yi,O 为欧几里得数从Yi 到O 的距离,O 为可能斥力区域的半径,即灾害影响区域。
定义4:生成的虚拟力。合成虚力是与撤离人员的移动相等的最大力。
定义5:吸引力。吸引力显示了避难场所如何吸引疏散者在一个空间的配置。
定义6:互相排斥的力量。排斥力向撤离者展示了设计空间中灾难性的排斥力。
撤离人员的虚拟力是势场的负梯度。因此,虚拟合力F ( Y i ) 定义为负的,定义在式(9) 中:



定义7:为了避免避难场所对带有σs 疏散人员的负面影响,σs 是避难场所可能产生的吸引区域,σs 是可以避免产生的。
AFE 是一种IoT 系统,适用于大规模人群的快速疏散,可以根据潜在区域的梯度方向自动确定疏散路径。由于人们通常处于困境之中,这会迅速引发疏散混乱,并导致二次灾难。AFE 的工作流程如图6 所示。

图 6 基于人工场的疏散调度算法流程
定义8:灾难距离的阈值。σO 阈值是一个恒定的灾难范围。灾害斥力势场可以由σO 控制。
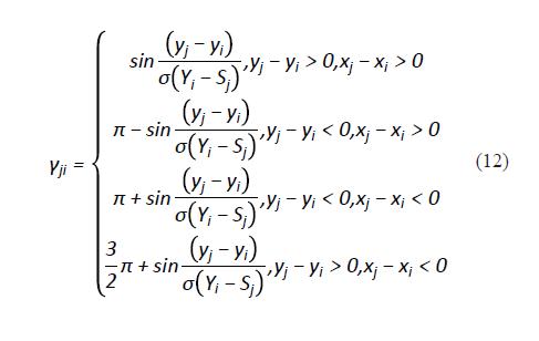
γji 和δi 的反三角函数在方程式(12) 和(13) 中确定为:


根据上述方程和图6,可以对AFE 算法进行如下处理:

3) 关联吸引力(AR Force)
有效疏散应考虑人们的态度、情绪和行为。因此,疏散同一个避难场所有关的人显然可以有效地缓解他们的焦虑情绪或恐惧,从而使人道主义疏散更加有效。我们通过关系加强AEF 到AEF- AR(Attraction of therelationship)。图7 显示了被疏散者在潜在关系的引力势场的势。

图 7 基于关系吸引的人工场效的疏散人员力
定义9:引力势场关系吸引。在潜在引力区,描述了疏散人员与设计空间之间的联系所产生的吸引力。
定义10:这种关系的吸引力显示出被疏散者所在的一个空间的吸引力。
在总势场函数中加入了相关的引力场。具有吸引关系的总势区可表示为:

人工势场的原理表明,在达到某一目标的情况下,在每个环境区域都可以实现一个计算的人工势场。在AFE 的基础上,引入面向疏散优化调度模型(EOOSM:Evacuation Oriented Optimized Scheduling Model) 作为AFEAR吸引力关系下的人工场效。AFE-AR(Attraction of therelationship)指导疏散人员前往同一避难场所,安抚疏散人员并尽可能进行人道主义疏散。AEF-AR 的过程如图8所示。

图 8 一种基于AFE 与AR 的疏散调度算法
用户可以收到必要的疏散指示。该方案根据实时交通状况,建议最佳的定制疏散路线,并避免拥堵的道路运行。根据上述方程和图8,可以对AFE-AR 算法进行如下处理:


在AFE 的基础上,引入面向疏散优化调度模型(EOOSM) 作为AFE- AR 关系吸引力下的人工场效。AFE-AR 指导撤离人员前往同一避难场所,安抚撤离人员并在可能的情况下进行人道主义撤离。
3 结果与数值分析
在MOIPM、EMS、MODRNP 和TLIOPS 中容易达到局部极限,避难场所容量分布不均匀。在接下来的时间里,疏散系统只考虑其他的避难场所,因此大大增加了疏散路线的持续时间。EOOSM 设置了势场,并在疏散过程中保持避难场所分配的平衡,因此随着疏散人员规模的增加,疏散路线的长度保持恒定的。
在容量冗余和容量不足两种情况下。在图9 中,当容量冗余时,这些算法需要疏散的时间比容量不足时要短。如果容量不足,只能考虑疏散的避难场所。最后,它会增加疏散时间。在图9a 容量冗余的情况中,EOOSM 详细说明了可能发生的灾害情况,并确保疏散过程中避难场所的分布是平衡的。平均疏散时间随着疏散人数的增加而缩短。在图9b 容量不足的情况中,EOOSM 分析了潜在的灾害环境,并在疏散过程中实时地使用剩余避难容量参数来平衡避难容量,从而大大加快了疏散时间。但由于需撤离的人员数量减少,该优势不能完全得到证明。此外,随着撤离人员的增加,EOOSM 的优势日益明显。

图 9 疏散时间
图10 分别测量了容量冗余和容量不足两种情况下的疏散性能。可以看出,在容量冗余的情况下,这些算法的疏散性能优于容量冗余的算法。如果避难场所的容量不足,就会变得难以分配,疏散的人数没有增加,所以疏散的效率很低。图10a 为容量冗余时的疏散效率曲线。图10b 为容量不足时的疏散效率曲线。
对于容量冗余和容量不足,表1 显示了成功的人道主义撤离的比例。表1 显示,在容量冗余的情况下,成功的人道主义撤离的百分比较高。在容量不足的情况下,人道主义撤离的进展速度较低。
图11a 和b 显示了在容量冗余和不足两种情况下,对比不同算法的疏散准确性。从图11 可以看出,容量冗余时,该算法的疏散成功率低于容量较低的情况。如果容量不足,疏散人数没有疏散,则避难场所的容量分配更加困难,导致疏散的总体准确率较低。因此,将疏散调度的核心DTMM 算法设计为物联网系统,可适用于大规模人群的快速疏散,并能根据潜在区域的梯度方向自动确定疏散路径。

图 10 疏散效率


图 11 疏散的准确性(a) 容量冗余(b) 容量不足
4 结论
在大规模灾难后,逐步有效的疏散是非常重要的。这一切都可以通过控制疏散来实现,这是提高疏散效率的关键。由于现有的疏散算法都考虑了应急疏散计划问题的一些方面,所以本研究就是围绕这个主题展开的。本文提出了一种IoT 解决方案,可以提高精度和收敛速度,同时考虑到避难场所的负载平衡。DTMM 可进行的更人性化的疏散,DTMM 采用AFE 和AFE- AR 关系,能有效缩短疏散路径,保持避难场所分配平衡,实现高效和人道主义疏散。目前,DTMM 可用于许多地区的紧急疏散规划。