可以说,所有的数学问题都是分解转化为基本模型来解决的,解题就是组织和构造模型的过程。所谓模型,指一组有固定特征相互关联的元素所形成的具备独特性质的结构。每个数学概念和性质都是一个基本模型,若干基本模型可以组成复合模型,从具体问题中识别构造数学模型可以考察和训练学生的抽象能力、分析能力、建模能力,帮助学生深刻理解知识之间的联系与转化。
比如初中阶段非常典型的"手拉手"模型,它时常变脸以各种不同的面目出现在各种不同阶段不同难度的题目中,令许多学生感到防不胜防屡屡中招,其实只要弄清原理和方法,就可以融会贯通灵活应用。

一、模型的基本结构:
(1)两个共顶点的等腰直角三角形OAB和OCD,可证得△OAC≌△OBD(SAS),且是旋转90度的位置关系,AC与BD相等且垂直。

(2)两个共顶点且顶角相等的任意等腰三角形OAB和OCD,可证得△OAC≌△OBD(SAS),且旋转角为∠AOB,AC与BD相等且交角等于∠AOB。

(3)两个共顶点的任意相似三角形OAB和OCD,可证得△OAC∽△OBD(两边成比例且夹角相等),且旋转角为∠AOB,AC:BD=AO:BO,且交角等于∠AOB。

二、模型的抽象表征
研究表明,知识的抽象表征是深度理解的标志,它有利于知识的广泛迁移和灵活应用,所以对以上模型不仅要有直观认识,而且要能进行抽象概括。
条件特征:共顶点的两个三角形相似,其中一个旋转缩放可以得到另一个,即对应点的排列顺序相同。
结论推导:把两个已知相似三角形的对应点连接得两条线段,分别与公共点构成的两个三角形也相似。(已知三角形是等腰三角形时相似比为1,即得全等)。

三、模型应用特色
直接应用:由一生二,导角导边;模型的转化应用:添补拆分,化隐为显;模型的构造应用:一转成双,一有尽有。
例1.(2019秋•河东区期末)如图1,点C在线段AB上,(点C不与A、B重合),分别以AC、BC为边在AB同侧作等边三角形ACD和等边三角形BCE,连接AE、BD交于点P
(1)观察猜想:①线段AE与BD的数量关系为______.
②∠APC的度数为_______.
(2)数学思考:如图2,当点C在线段AB外时,(1)中的结论①,②是否仍然成立?若成立,请给予证明;若不成立,请你写出正确结论再给予证明
(3)拓展应用:如图3,分别以AC、BC为边在AB同侧作等腰直角三角形ACD和等腰直角三角形BCE,其中∠ACD=∠BCE=90°,CA=CD,CB=CE,连接AE=BD交于点P,则线段AE与BD的关系为_______.

【解答】解:(1)观察猜想:①如图1,

设AE交CD于点O.过点C作CH⊥AE,CG⊥BD,
∵△ADC,△ECB都是等边三角形,
∴CA=CD,∠ACD=∠ECB=60°,CE=CB,
∴∠ACE=∠DCB,∴△ACE≌△DCB(SAS),
∴AE=BD,∠CAO=∠ODP,S△ACE=S△BCD,
∵∠AOC=∠DOP,
∴∠DPO=∠ACO=60°,∴∠APB=120°,
∵S△ACE=S△BCD,∴1/2×AE×CH=1/2×BD×CG,
∴CH=CG,且CH⊥AE,CG⊥BD,
∴CP平分∠APB,∴∠APC=60°,
故答案为AE=BD,60°.
(2)数学思考::①成立,②不成立,

理由:设AC交BD于点O.过点C作CH⊥AE,CG⊥BD,
∵△ADC,△ECB都是等边三角形,
∴CA=CD,∠ACD=∠ECB=60°,CE=CB,
∴∠ACE=∠DCB,∴△ACE≌△DCB(SAS),
∴AE=BD,∠PAO=∠ODC,
∵∠AOP=∠DOC,∴∠APO=∠DCO=60°,∴∠DPE=120°,
∵S△ACE=S△BCD,
∴1/2×AE×CH=1/2×BD×CG,∴CH=CG,且CH⊥AE,CG⊥BD,
∴CP平分∠DPE,∴∠DPC=60°,∴∠APC=120°,∴①成立,②不成立;
拓展应用:

设AC交BD于点O.∵∠ACD=∠BCE=90°,CA=CD,CB=CE,
∴∠ACE=∠DCB,∴△AEC≌△DBC(SAS),
∴AE=BD,∠CDB=∠CAE,
∵∠AOP=∠COD,∠CDB=∠CAE,
∴∠DCO=∠APO=90°,∴AE⊥BD,
故答案为:AE=BD,AE⊥BD.

例2.(2019秋•樊城区期末)知识背景
我们在第十一章《三角形》中学习了三角形的边与角的性质,在第十二章《全等三角形》中学习了全等三角形的性质和判定,在十三章《轴对称》中学习了等腰三角形的性质和判定.在一些探究题中经常用以上知识转化角和边,进而解决问题
问题初探
如图(1),△ABC中,∠BAC=90°,AB=AC,点D是BC上一点,连接AD,以AD为一边作△ADE,使∠DAE=90°,AD=AE,连接BE,猜想BE和CD有怎样的数量关系,并说明理由.

类比再探
如图(2),△ABC中,∠BAC=90°,AB=AC,点M是AB上一点,点D是BC上一点,连接MD,以MD为一边作△MDE,使∠DME=90°,MD=ME,连接BE,则∠EBD=______.(直接写出答案,不写过程,但要求作出辅助线)
方法迁移
如图(3),△ABC是等边三角形,点D是BC上一点,连接AD,以AD为一边作等边三角形ADE,连接BE,则BD、BE、BC之间有怎样的数量关系? ________(直接写出答案,不写过程).

拓展创新
如图(4),△ABC是等边三角形,点M是AB上一点,点D是BC上一点,连接MD,以MD为一边作等边三角形MDE,连接BE.猜想∠EBD的度数,并说明理由.
【解析】:问题初探:BE=CD,
理由:∵∠DAE=∠BAC=90°,∴∠BAE=∠CAD,
∵AB=AC,AE=AD,
∴△BAE≌△CAD(SAS),∴BE=CD;
类比再探:如图(2),过点A作AG∥MD交BC于G,则△BDM∽△BGA,

∴DM/AG=BM/AB,,
过点A作AF∥ME交BE的延长线于F,则△BME∽△BAF,
∴ME/AF=BM/AB,∴DM/AG=ME/AF,
∵MD=ME,∴AF=AG,
∵AG∥DM,∴∠BMD=∠BAG,
∵ME∥AF,∴∠BME=∠BAF,
∵∠DME=90°,∴∠BMD+∠BME=90°,
∴∠BAG+∠BAF=90°,∴∠FAG=90°,
在Rt△ABC中,AB=AC,∴∠ABC=∠C=45°,
同问题初探的方法得,△BAF≌△CAG(SAS),
∴∠ABF=∠C=45°,∴∠EBD=∠ABF+∠ABC=90°,
故答案为:90°;
方法迁移:BC=BD+BE
理由:∴△ABC和△DME是等边三角形,
∴∠DME=∠BAC=60°,∴∠BAE=∠CAD,
∵AB=AC,AE=AD,∴△BAE≌△CAD(SAS),
∴BE=CD,∴BC=BD+CD=BD+BE;
拓展创新:如图(4),过点A作AG∥MD交BC于G,

则∴∠BAG=∠BMD,∠BGA=∠BDM,
过点A作AF∥ME交BE的延长线于F,
则∠BME=∠BAF,∠BDE=∠BGF
∴∠FAG=∠BAF+∠BAG=∠BME+∠BMD=∠DME=60°,
∠AGF=∠AGB﹣∠BGF=∠BDM﹣∠BDE=∠EDM=60°,
∴∠AFG=180°﹣∠AGF﹣∠FAG=60°﹣∠FAG=∠AGF,
∴△AFG是等边三角形,∴AF=AG,
∵AG∥DM,∴∠BMD=∠BAG,
∵ME∥AF,∴∠BME=∠BAF,
∵∠DME=60°,∴∠BMD+∠BME=60°,
∴∠BAG+∠BAF=60°,∴∠FAG=60°,
∵△ABC是等边三角形,∴∠ABC=∠C=60°,
同方法迁移的方法得,△BAF≌△CAG(SAS),
∴∠ABF=∠C=60°,
∴∠EBD=∠ABF+∠ABC=120°.

例3(2019•嘉祥县三模)背景材料:
在学习全等三角形知识时,数学兴趣小组发现这样一个模型,它是由两个共顶点且顶角相等的等腰三角形构成.在相对位置变化的同时,始终存在一对全等三角形.通过资料查询,他们知道这种模型称为手拉手模型.
例如:如图1,两个等腰直角三角形△ABC和△ADE,∠BAC=∠EAD=90°,AB=AC,AE=AD,如果把小等腰三角形的腰长看作是小手,大等腰三角形的腰长看作大手,两个等腰三角形有公共顶点,类似大手拉着小手,这个就是手拉手模型,在这个模型中易得到△ABD≌△ACE.
学习小组继续探究:
(1)如图2,已知△ABC,以AB,AC为边分别向△ABC外作等边△ABD和等边△ACE,请作出一个手拉手图形(尺规作图,不写作法,保留作图痕迹),并连接BE,CD,证明BE=CD;
(2)小刚同学发现,不等腰的三角形也可得到手拉手模型,例如,在△ABC中AB>AC,DE∥BC,将三角形ADE旋转一定的角度(如图3),连接CE和BD,证明△ABD∽△ACE.
学以致用:
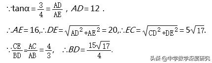
(3)如图4,四边形ABCD中,∠CAB=90°,∠ADC=∠ACB=α,tanα=3/4,CD=5,AD=12.请在图中构造小刚发现的手拉手模型求BD的长.

【解析】:(1)作图

∵△ABD和△ACE都是等边三角形
∴AD=AB,AC=AE,∠DAB=∠EAC=60°,
∴∠DAC=∠BAE,且AD=AB,AC=AE.
∴△DAC≌△BAE(SAS),∴BE=CD.
(2)如图3,
在第一个图中,∵DE∥BC,∴△ADE∽△ABC. ∴AB/AC=AD/AE,
∵将三角形ADE旋转一定的角度
∴∠BAC=∠DAE,∴∠BAD=∠CAE,且AB/AC=AD/AE,
∴△ABD∽△ACE;
(3)如图,过点A 作AE垂直于AD,作∠AED=α,连接CE,则∠EDC=90°,

∵∠AED=∠ACB=α,∠CAB=∠DAE=90°
∴△AED∽△ACB,∴AE/AD=AC/AB.
∵∠CAB=∠DAE=90°
∴∠CAE=∠DAB,且AE/AD=AC/AB,
∴△AEC∽△ADB. ∴CE/BD=AC/AB.
∵△AED∽△ACB
∴∠ADE=∠ABC
∵∠ACB+∠ABC=90°,∠ADC=∠ACB
∴∠ADC+∠ADE=90°
∴∠EDC=90°
