图的定义
(1)无向图的定义
无向图是一个有序的二元组< V, E>,记为G,如图7-1(a)所示。
V为顶点集,E为连结点的边集(无向边)
G 1= < V(G1) , E(G1) >
V(G1) = { 0,1,2,3,4,5}
E(G1) = {(0,1),(0,2),(0,3),(0,4)(1,4),(2,4),(2,5),(3,5),(4,5)}
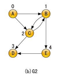
(2)有向图的定义
有向图是一个有序的二元组< V, E>,记为G,如图7-1(b)所示。
V为顶点集,E为边集(有向边)
G2= < V(G2) , E(G2) >
V(G2) = {0,1,2,3,4}
E(G2) = {<0,1>,<0,2>,<1,2>, <1,4>,<2,1>,<2,3>,<4,3>}
若用G2顶点的值表示其顶点集合边集,则如下表示:
V(G2)={A,B,C,D,E}
E(G2)={<A,B>,<A,C>,<B,C>,<B,E>,<C,B>,<C,D>,<E,D>}
在日常生活中,图的应用到处可见。如各种交通图、线路图、结构图、流程图等,不胜枚举。

无向图

有向图
(1)端点和邻接点
在一个无向图中,若存在一条边(vi,vj),则称vi、vj为此边的两个端点(Endpoint),并称它们互为邻接点(Adjacent),即vi是vj的一个邻接点,vj也是vi的一个邻接点。如在图7-1所示的G1中,以顶点v0为端点的四条边是(0,1)、(0,2)、(0,3)和(0,4),v0的四个邻接点分别为v1、v2、v3和v4;以顶点v3为端点的两条边是(3,0)和(3,5),v3的两个邻接点分别为v0和v5;等等。
在一个有向图中,若存在一条边<vi,vj>,则称此边是顶点vi的一条出边(Out Edge),顶点vj的一条入边(In Edge);称vi为此边的起始端点,简称起点或始点,vj为此边的终止端点,简称终点;称vi和vj互为邻接点,并称vj是vi的出边邻接点,vi是vj的入边邻接点。如在图7-1所示的G2中,顶点C有两条出边<C,B>和<C,D>,两条入边<A,C>和<B,C>,顶点C的两个出边邻接点为B和D,两个入边邻接点为A和B;其他顶点亦可进行类似分析。
(2)顶点的度、入度、出度
无向图中顶点v的度(Degree)定义为以该顶点为一个端点的边的数目,记为D(v)。如在图7-1所示的G1中,v0顶点的度为4,v1顶点的度为2。有向图中顶点v的度有入度和出度之分,入度(InDegree)是该顶点的入边的数目,记为ID(v);出度(OutDegree)是该顶点的出边的数目,记为OD(v);顶点v的度等于它的入度和出度之和,即D(v)=ID(v)+OD(v)。如图7-1所示的G2中,顶点A的入度为0,出度为2,度为2;顶点C的入度为2,出度为2,度为4。
若一个图中有n个顶点和e条边,则该图所有顶点的度同边数e满足下面关系:

这很容易理解,因为每条边连接着两个顶点,使这两个顶点的度数分别增1,总和增2,所以全部顶点的度数为所有边数的2倍,或者说,边数为全部顶点的度数的一半。
(3)完全图、稠密图、稀疏图
若无向图中的每两个顶点之间都存在着一条边,有向图中的每两个顶点之间都存在着方向相反的两条边,则称这样的图为完全图。显然,若完全图是无向的,则图中包含有
1/2 n(n-1)
条边;若完全图是有向的,则图中包含有n(n-1)
条边。当一个图接近完全图时,则称它为稠密图,相反地,当一个图含有较少的边数时,则称它为稀疏图。图7-2中的G3就是一个含有5个顶点的无向完全图,G4就是一个含有6个顶点的稀疏图。

完全图和稀疏图
(4)子图
设有两个图G=(V,E)和G’=(V’,E’),若V’是V的子集,即V’ÍV,且E’是E的子集,即E’ÍE,并且E’中的边所涉及到的顶点均属于V’,则称G’是G的子图。例如,由图7-2所示的G3中的全部顶点和同v0相连的所有边就构成了G3的一个子图,由G3中的顶点v0、v1、v2和它们之间的所有边可构成G3的另一个子图。
(5)路径和回路
在一个图G中,从顶点v到顶点v’的一条路径(path)是一个顶点序列u1、u2、…、um,其中v=u1、v’=um,若此图是无向图,则(uj-1,uj)∈E(G),2≤j≤m;若此图是有向图,则<uj-1,uj>∈E(G),2≤j≤m。路径长度是指该路径上经过的边的数目。若一条路径上的所有顶点均不同(但开始和结束顶点可以相同),则称为简单路径,否则称为复杂路径。在一条简单路径中,若开始和结束顶点相同,则称为简单回路或简单环(cycle)。如在图7-2所示的G4中,从顶点c到顶点d的一条路径为c、e、a、b、d,其路径长度为4;路径a、b、e、a为一条简单回路,其路径长度为3;路径a、b、e、f、b是一条复杂路径,因为顶点b出现两次,其中包含着从顶点b到b的一条回路。
(6)连通和连通分量
在无向图G中,若从顶点vi到顶点vj有路径,则称vi和vj是连通的。若图G中任意两个顶点都连通,则称G为连通图,否则称为非连通图。无向图G的极大连通子图称为G的连通分量。一个连通图可能有许多连通分量,只要能够连通所有顶点的子图都是它的连通分量,而在非连通图中,每个连通分量都只能连通其一部分顶点,而不能连通其全部顶点。例如,上面例子中给出的图G1和图G3都是连通图。图7-3(a)是一个非连通图,它包含有三个连通分量,分别画于图7-3(b)、(c)、(d)中,其中第一个连通顶点A、B、C的分量,可以有各种不同的连通形式,只要能把这三个顶点连接的所有子图都是一个连通分量,当然,要连接三个顶点则至少需要选取两条

非连通图和连通分量
(7)强连通图和强连通分量
在有向图G中,若从顶点vi到顶点vj有路径,则称从vi到vj是连通的。若有向图G中的任意两个顶点vi和vj都连通,即从vi到vj和从vj到vi都存在路径,则称有向图G是强连通图。有向图G的极大强连通子图称为G的强连通分量。一个强连通的有向图至少包含一个强连通分量,一个非强连通的有向图一定包含多个强连通分量。如图7-4(a)包含三个强连通分量,分别对应图7-4(b)、(c)、(d)所示。

有向图和强连通分量
(8)权和网
在一个图中,每条边可以标记上具有某种含义的数值,此数值称为该边的权(weight),通常权为一个非负实数。例如,对于一个反映城市交通线路的图,边上的权可表示该条线路的长度或等级;对于一个反映电子线路的图,边上的权可表示两端点间的电阻、电流或电压;对于一个反映零件装配的图,边上的权可表示一个端点需要装配另一个端点的零件的数量;对于一个反映工程进度的图,边上的权可表示从前一子工程到后一子工程所需要的天数。边上带有权的图称作带权图,也常称做网(network)。图7-5中的G5和G6就分别是一个无向带权图和有向带权图。

无向带权图和有向带权图