
图形运动中求解函数解析式
动态几何题是中考“压轴题”的亮点之一.这类题型的信息量大,经常把数与方程、函数与几何、函数与面积等联系在一起.解题时要用运动和变化的眼光去观察、思考、研究问题,把握图形运动、变化的全过程,综合运用函数、方程、分类讨论、数形结合等数学思想去解决问题.
壹
由比例线段产生的函数关系
本专题的主要特点是两个变量在变化的过程中,其他某些线段也随之变化,根据图形的特征,找到这些有变化规律的线段,通过比例线段来建立函数的解析式.此类题目以相似三角形得对应线段成比例建立函数关系式.
例1

思路
1.联结半径OB,在Rt△BOC中利用勾股定理求解半径
2.过点O作弦AP的弦心距OH,△ADC和△AOH是一对相似三角形,利用比例线段求y关于x的函数解析式.
解答

点睛
在圆中,联结半径和作弦的弦心距是最常用的辅助线.△ADC和△AOH构成一个相似的基本图形,再利用比例线段求函数解析式
例2

思路
可证△ACO、△AOB和△DOB相似,计算BD的长,用含y的代数式表示AB,利用比例AB:AO=AO:AC求y关于x的函数解析式.
解答

贰
由勾股定理产生的函数关系
本专题的主要特征是两个点在运动的过程中,直接或间接地构造了直角三角形,因此可以利用勾股定理去建立函数关系式. 勾股定理是初中数学的重要定理,在运用勾股定理写函数解析式的过程中,主要是找边的等量关系,要善于发现这种内在的关系,用代数式去表示这些边,达到解题的目的.
例3

思路
圆内常添的辅助线为作弦MN的弦心距,构造出直角三角形后用勾股定理建立y关于x的函数解析式
解答

点睛
圆内常添的辅助线为半径和弦的弦心距,添半径易得等腰三角形,添弦的弦心距易得直角三角形.
叁
由线段和差产生的函数关系
本专题的主要特点是两个变量在变化的过程中,其他某些线段也随之变化,根据图形的特征,找到这些有变化规律的线段,通过线段的相等,线段的和、差来建立函数的解析式. 这部分题目分两类:一类为线段直接的相等及和、差关系;另一类是常见的先用代数式表示相关线段,再利用线段相等及和、差关系建立函数解析式. 学生往往习惯了一般利用比例线段、面积、勾股定理等写函数解析式的套路,而忽略了这一种方法
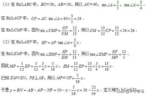
例4

思路
反复解直角三角形,把线段EP、MP、AM、BN表示成含有x、y的代数式
解答

肆
与面积有关的函数关系
近几年的中考压轴题,涉及运动变化的试题频频出现.运动变化题是随着图形的某一元素的运动变化,导致问题的结论改变或者保持不变的几何题,它揭示了“运动”与“静止”、“一般”与“特殊”的内在联系.解题的关键是分清几何元素运动的方向和路径,注意在运动过程中哪些是变量,哪些是不变量,通常要根据几何元素所处的不同位置加以分类讨论,同时,综合运用勾股定理、方程、函数等知识解决.本节内容涉及三角形,特殊四边形的面积问题.
例5

思路
1.线段DE可看做是△ABC的中位线.
2.把线段OD、OE看做等腰三角形OBC和等腰△OAC底边上的高,由等腰三角形三线合一可得线段OD、OE也是顶角平分线,所以∠DOE是∠AOB的一半.
解答

伍
函数解析式定义域的确定
通常在求两个变量的函数关系式后都要写出自变量的取值范围即定义域,定义域考虑是否周全很大程度上反应出一个学生的数学能力,包括分析能力和计算能力.定义域通常需要考虑一个或两个端点的值,还有端点的值是否能够取等号.很多学生的错误源于没有仔细阅读题干,忽略了一些非常重要的条件如:“某个动点C在射线AB上”,忽略射线二字,曲解题意,自然难以做全答案.另一种难以做全定义域的原因在于只考虑了一个动点的运动范围.事实上,点的运动不可能是独立的,一个点、线段、圆在运动的同时一定有其他的点、线段、圆随着运动.所有的运动元素的取值范围都将最终影响定义域.总之,定义域虽然只有区区1分,却能全面反应出一个学生的数学能力,体现学生思维的缜密性.
例6

思路
因为⊙A与⊙B外切始终保持外切的位置关系,考虑x的取值范围,除了要分析主动点E的移动范围,更应考虑随着E点变化而变化的D点和F点,显然受到点D在AB上的限制,点E只能在2至5范围内移动.
解答

点睛
本题中线段BD、EB分别表示为5-x,AD、AF分别表示为x-2,因为线段都是大于零的,即5-x>0,x-2>0也能求得x的取值范围2<x<5
例7

思路
点D是线段AB上的动点,由B点向A点运动,点D在运动过程中,线段CD的长度先变短再变长,易求的x的最大值和最小值.
解答

点睛
本题的定义域很容易误解为3≤x≤4,3≤x≤5,这样的误解完全可以避免.只要仔细分析点D的变化对x的值得变化.点D是线段AB上的动点,由B点向A点运动,线段CD的长度先变短再变长,这样就很容易发现最大和最小值,再考虑端点的值能否取等号就可以了
例8

思路
本题的情况较为复杂,动点P分五种情况,当0<x<1时,点E在线段BC延长线上,点Q在线段DC上;当x=1时,点Q和E与C重合;当1<x<4时,点E在线段BC上,点Q在线段DC的延长线上;当x=4时,点Q和E与C再次重合.当4<x<5时,点E在线段BC的延长线上,点Q在线段DC上;据此分析易求得满足条件的P点的位置.
解答
