由于微波在现代技术和日常生活中的巨大影响,使用微波测量或工程术语在今天是相当普遍的,因此 值得花一点时间来定义微波技术及其在当今社会中的作用。 让我们从简单的科学定义开始,微波作为交流信号,频率在300MHz-300G Hz范围内,这对应于大约1米-1毫米的自由空间波长。如图1所示的电磁频谱的图形表示和对应于微波频率的部分, 也许能帮助我们想象这个概念。
对于历史感兴趣的读者,在电磁波的背景下第一次引用“微波”一词我们可以追溯到到1931年。 国际电话和电报公司发表的一篇论文描述了利用波长为0.18m的电磁波辐射从美国多佛到法国加莱的无线电联系。 辐射称为微波,无线电系统称为微射线。在1933年的一份出版物中,微波一词指的是波长约0.5米,并以微波一词出现,就像它的现代形式一样。 在1935年,微波被称为波长小于10米的辐射,1940年的业余无线电手册提到微波的波长低于1米。 仔细观察微波所用的“微(Micro)”一词,并将其与物理波长联系起来,我们意识到这不是一个合适的选择,因为实际波长在1米到1毫米之间,并不算小。 然而,它们在我们在通信、无线传感和电子领域目睹的技术发展中的重要性是无可争议的,我们应该原谅这一小小的误解。 有很多更详细的出版物在讲解微波的历史,他们的电磁旅程,和重要的里程碑。 在这里关注微波技术的历史并不是我们的兴趣;我们宁愿给出一个时间戳,并强调微波在我们日常生活中的重要性。 微波曾经是雷达和卫星通信等军事应用的主要兴趣所在。 如今,作为主流文化一部分的无线通信的主要方面是基于微波理论和技术的。 此外,基于微波的传感应用已达到如此技术成熟,以至于它们对汽车雷达等大批量大众市场具有吸引力。 甚至安全相关的应用,如无创微波和毫米波成像解决方案应用相当普遍. 换句话说,微波在日常生活中围绕着我们,并对我们的现代生活方式做出了巨大贡献。

图1 、电磁频谱
检测、测量和显示不同频率的交流信号的概念从早期起就是微波传输测量的核心。 在这种情况下使用的一个基本原理是测量某一参数的未知量(例如交流信号功率),并将其与当时作为标准的已知参数进行比较。 测量是通过将未知值与先前由已知标准确定的已知值进行比较来进行的。 这是对传输系统测量的要求, 因此,从早期的仪器开始,我们就遇到了作为测量仪器核心组成部分的术语如信号源、检测器和指示器等。
I.1 交流信号分析的基础
我们将在器件表征的背景下处理微波频率范围内的交流信号。 为此,我们需要介绍一些与交流信号分析相关的基本术语,并了解它们对我们进一步讨论的重要性。 从我们的教科书中,我们知道频率f的一般周期交流信号有一种时变行为,表示为:

上式中V0是交流电压信号的幅值,ω=2πf=2π/T是与信号周期T有关的角频率。 这个交流电压信号施加在一定电阻的负载R上,这允许我们计算相关的射频功率P = V2 /R。
在微波设计中,对交流信号的功率水平的审视是非常常见的,原因是微波信号的传播通常是由传输线和我们需要考虑波形信号,如图2所示。 具有某种内部阻抗Rs的信号源用于在特性阻抗Z的传输线的端子上激发电压波形V0 ,传输线的负载阻抗为RL 。 在低频下,电压和电流测量是简单的,并遵循欧姆定律P = V*I = V^ 2/RL = I ^2/RL。 然而,随着频率的增加,测量变得困难,因为电流和电压取决于沿信号线的位置。 阻抗失配和反射可能由于入射信号Vinc和反射波Vref的叠加而引起驻波 。 然而,沿传输线路的功率保持不变,因此在微波频率下首选的是测量信号的功率就不难理解了。

图2(a)交流信号传播,(b)交流信号波形。 交流信号沿传输线传播
对于交流信号分析和微波测量,我们通常使用电压或功率比进行比较。 这方面最常见的单位之一是以分贝(dB)表示的信号比率单位:

上面的方程是考虑相同的负载阻抗R时的情况。 除了表示相对信号比外,我们还可以使用与已知功率电平相关的绝对功率电平单位(例如,对于1mW的参考功率,我们得到dB m功率单位)。 作为一个简单的例子,考虑1W的功率电平,它等于10log(1W/1m W)=30dBm。 考虑分贝比(dB)为单位的原因简单地说,对于交流信号分析,我们通常需要在大信号存在下分辨出小信号,并在同一图形中同时显示它们。 对数标度将压缩大信号幅度并扩展小信号幅度,允许同时显示所有信号,如图3所示。

图3. 交流信号的线性和对数度量
在这个例子中,我们考虑了功率电平分别为P1=2W和P2=10mW的两个交流信号,并在线性和对数尺度上显示它们。 可以很容易地看到,在线性标度中,功率电平P2几乎看不见,而对于对数标度中相同的信号比,我们可以很容易地读取这两个交流信号的功率电平。
对数标度是RF域中用于频谱分析仪和网络分析仪的默认表示,我们将在所有的相关文章中采用它。
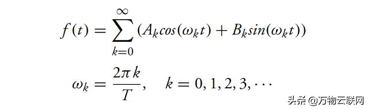
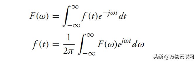
当涉及到微波工程中的交流信号分析时,更熟悉的读者将清楚地认识到两种分析方法,即时域分析法和频域分析法。 在此背景下,引入信号频谱用于频域分析的术语和用于时域分析的时变信号。 信号频谱定义为功率与频率的关系,它是考虑频域分析时的基本表示。 用于捕获频谱的测量设备称为频谱分析仪。 然而,时域分析是通过示波器进行的,其中电压信号在一定时间内显示。 时域和频域通过称为傅里叶变换(F T)及其逆(IF T)的数学变换相互关联的。 傅里叶分析也称为谐波分析,因为它使用正弦和余弦三角函数作为基函数。 具有周期T和角频率ω=2π/T的任何周期函数f(t)都可以扩展表示为一系列的三角函数:

傅里叶分析允许用加权正弦和余弦函数展开f(t)。 振幅或傅里叶系数A k 和B k 以这样的方式确定无限级数与初始函数f(t)相同。 FT和IFT是周期交流信号的时域f(t)和频域F(ω)表示之间的联系:

对于有效的计算、数值解和数字信号处理,我们现在使用快速傅里叶变换(FFT)及其离散形式(D FT),它已经被集成在现代微波测量设备中了。 让我们考虑一个简单的连续波频率为f=0.5GHz,周期T=1/f=2ns的正弦信号,如图4中的时域和频域所示。 直观地说,正如我们预期的那样,纯正弦波信号在相应的频率上有一个单一的频谱分量,这在这个简单的例子中是很容易看到。

图4. 正弦波信号的时域和频域表示
问题是,当交流信号更复杂,无法直观地检查时,会发生什么,如图5所示。 有经验的读者可以识别或怀疑叠加在原始正弦信号上的谐波的存在,但当只看时域信号时,定性分析几乎是不可能的。 在这种情况下,观察信号的功率频谱清楚地揭示了在1GHz和1.5GHz分别存在加权谐波。

图5. 交流信号的时域和频域表示
显然,只有当时域和频域信号组合起来才能提供执行全面交流分析所需的所有数据。 当诸如调制等其他影响发挥作用时,这一点就变得更加深刻。 因此,微波工程师应该在两种信号世界都感到舒适,因为时域和频域在某种程度上是合作的兄弟姐妹,以实现强大的交流信号分析。 在现代测量设备中实施这种分析方法不是一种妥协,而是执行交流信号测量的关键促成因素。 在接下来的文章中,我们将重点讨论频域设备表征的测量技术,并使用线性网络理论在传输系统中使用网络分析仪进行测量。
I.2 信号的频率域分析
实现微波频率范围频谱分析仪的传统方法是图6所示的扫频中频接收机结构。 类似于无线电接收机,频谱分析仪自动调谐在感兴趣的波段。 频谱分析仪(SA)基本上是一种扫描窄带超外差接收机。 射频输入信号传递给衰减器,用于适当调整输入功率电平,防止混频器过度驱动而过载。 在混频器之前引入一个低通滤波步骤,以从输入信号中切断镜像频率。 混频器输入处的射频信号通过可变的本地振荡器(LO)频率向下转换为中频(I F)。 扫描发生器为LO产生所需的频率斜坡,并驱动分析器显示屏上的水平频率轴。

图6、简化的频谱分析仪的体系结构
下转换信号的电平由IF放大器调整,并由可变I F带通滤波器滤波,该滤波器决定频谱分析仪的分辨率带宽(RBW)。 一个对数放大器跟随,在功率检测器处捕获射频信号的包络。检测器输出通过低通滤波器引导,也称为视频滤波器,它在显示信号之前平滑信号。 从到目前为止关于频域分析的讨论中,我们了解到,通过使用频谱分析仪,我们可以量化信号功率是如何在频率上分布的,但我们缺乏关于信号相位的信息。 稍后,当我们引入网络分析仪测量时,我们将讨论一种可供选择的不同于频域的分析方法,该分析可以产生幅度和相位信息。
I.3 时域分析
正如前面章节所讨论的,时域分析是频域分析的兄弟,对理解交流信号关系有很大的贡献。 捕获时变信号的最全面的方法是使用示波器,如图7所示。 在微波时域分析的早期,示波器是利用阴极射线管和模拟电路捕获时域信号的模拟仪器。 随着数字电路技术的发展,模数转换(A/D)和数字信号处理占主导地位。 然而,如何捕获时变信号并在显示器上分析它们的基本原则今天仍然有效。 我们将在这里简要介绍模拟示波器的工作原理,以便对时域分析概念提供第一印象。

图7、简化的示波器结构
示波器输入的信号激发输入放大器,直接驱动射线管的阴极,并在荧光屏上引起垂直位移。 输入信号的一部分也被馈送到触发电路,触发电路是比较器,每次比较器检测到触发事件时产生电压爬坡。
电压坡道用于驱动负责水平清扫的射线管的阴极。 扫描后,斜坡生成器返回其初始状态并等待下一个触发事件。 水平扫描以恒定的速率进行,并转化为时间变量,而垂直位移表示瞬时信号振幅。
I.4 总结
综上所述,时至今日,我们仍可以保留微波的基本定义及其在上个世纪见证的技术进化中的应用。 微波技术克服了作为军事应用的一种特殊技术的最初的严格障碍,并在我们今天所知道的电信和电子的发展中作出了巨大贡献。 我们介绍了信号分析的两个基本领域,即频域和时域分析,它们是互补的,可以被认为是信号分析理论的两个兄弟姐妹。 了解交流信号分析的一些基本原理,使我们能够开始一段更全面的微波旅程,称为射频和微波器件表征,特别是晶片器件表征。 在即将到来的文章中,我们将重点讨论使用网络分析仪作为小信号测量的主要仪器的频域测量方法。