在前面我的文章中谈到圆锥曲线的来历及其种类,列出的都是其标准方程。
|
方程 |
特征值 |
离心率e |
|
|
圆 |
X2+y2=r2 |
半径r |
等于0 |
|
椭圆 |
X2/a2+y2/b2=1 |
长轴在x上为2a |
小于1 |
|
双曲线 |
X2/a2-y2/b2=1 |
实轴在x上 |
大于1 |
|
抛物线 |
Y2=2px |
焦点到准线距离为p,对称轴为x |
等于1 |
表一:圆锥曲线的标准形式
它们共同的特点是其图形中心都在直角坐标的原点,都对称于坐标轴,并且没有xy乘积项。
那么有没有一种通用的形式能够表达上面的圆锥曲线方程呢?答案是肯定的。
设二元二次方程为:
Ax2+Bxy+Cy2+Dx+Ey+F=0 (1)
就能满足圆锥曲线的通式,其中A,B, C, D, E, F都是实数。
(1) 式通过坐标的平移或旋转的变换就可以变成表一中的标准表达式。
讨论1:如果B=0, 那么Ax2+ Cy2+Dx+Ey+F=0, (2)
这个方程通过配方就可以转换成圆锥曲线的对称轴平行于x或y轴(特殊情况可能是直线或一点)的形式。
如果A或C中有一个为零,则曲线的形式为抛物线,例如x2- 4x − 8y + 12=0
其经过配方为(x-2)2=8(y-1), 这是顶点在(2,1)焦点到准线距离p=4的抛物线。如图1:

图一
方程式(2)通过平移可以转换成表一的标准形式。
平移的公式为: x=x’+h
y=y’+k (3)
其中(x, y)是(1)式的原坐标,(x’, y’)是平移后的新坐标。由下图可清晰地看出点P在新旧坐标之间的关系,其中O‘(h, k)是新坐标原点在旧坐标系的坐标。

图2:坐标轴平移
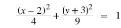
讨论2:如果A, C同为正数或负数,B=0,则式子(1)为椭圆的表达式。
例如:9x2 + 4y2− 36x + 24y + 36=0,它经过配方可变成:

利用平移原理,可知它在新坐标是符合椭圆的标准方程, 只要设x’=x-2, y’=y+3, 即坐标平移到(2,-3)这点就满足标准形式。

图3
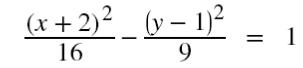
讨论3:如果A,C是异号,B=0,则是(1)是双曲线的方程,举例如下:
9x2 − 16y2 + 36x + 32y – 124=0,将其配方可得:

根据平移公式可知h=-2, k=1, 即新坐标原点,也是双曲线的轴对称中心为(-2,1),其中长半轴a=4,短半轴(虚轴)=3,曲线如下:

图4
讨论4:如果B≠0,通过坐标轴的旋转变换可去掉xy乘积项。高中学习了坐标旋转变换的公式:
x=x’cosθ-y’sinθ
y=x’sinθ+y’cosθ (4)
该公式根据下图可自行推导。

图5:坐标轴旋转
将旋转坐标公式(4)带入(1)中推导会得出新坐标系下的方程:
A’x’2+Bx’y’+Cy’2+Dx’+Ey’+F=0 (5)
将(5)式与(1)式的系数对应相等,然后让B’=0, 可推出:

若A=C,则旋转π/4, 就可以消除xy乘积项。A≠C可得下面的系数转换式子:

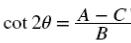
若A≠C,利用(6)式子可得出θ角,然后按上面的算式求A’, B‘,C’,D‘,E’, F’. 但实际上利用三角变换可以不求θ角,而直接算出新系数。因为知道cot2θ的值可求得tanθ, 随后利用tanθ的结果带入上面的系数公式,请读者利用三角函数的知识自行推导。
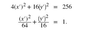
举个例子:13x2 − 6 3xy + 7y2 − 256 = 0.
在这个等式中A = 13, B = −6 3, C = 7, D = 0, E = 0, 及 F = −256.
cot 2θ = (A – C)/B, 可得θ=π/3, 带入旋转坐标转换的公式中可得:
A’=4, B’=0, C’=16, D’=0, E’=0, F’=F. 由此可得方程:

其曲线图形如下:

图6
想想xy=1怎样坐标转化,最后是什么圆锥曲线?
最后讨论Ax2+Bxy+ Cy2+Dx+Ey+F=0系数满足什么条件会是椭圆,双曲线或抛物线。
令判别式Δ=B2-4AC, 当Δ=0时为抛物线(特殊形式为两平行直线)
当Δ<0时为椭圆(特殊形式为点)
当Δ>0时为双曲线(特殊形式是两相交直线)
这个判别式的记忆可参照离心率e,只是结果由1换成0,e换成Δ。
除了特殊形式,还可以给出这样的结论:
二元二次方程的曲线是圆锥曲线,反过来圆锥曲线的方程是二元二次方程。