在实数范围内我们学过的三角函数定义如下:

那么,在复数范围内如何定义三角函数呢,比如sin(i)怎么求?
先给定义:

纳尼,这个定义是什么鬼!怎么来的,有什么好处?
施主莫急,待老衲细细道来。
其实这两个定义公式来源于复数三角形式和指数形式的欧拉公式。

由于复数是实数的扩大,所以在复数集内的三角函数定义对于实数范围内的性质也应该成立。以下我们逐个验证。
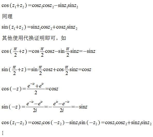
两角和差公式

这样,我们就有了第一个三角函数公式

不一一证明了,大同小异。
下面求cosz,sinz的实部和虚部
哎哟,困死了。好无聊啊,我怎么会想起写这个东西,又臭又长。其实我想表达的意思是,你也可以自己给数学概念下定义,只要你的定义不违反概念的一般要求,没有矛盾即可。
比如我们曾经提过的,三角函数还可以用数列和来定义,我当然知道怎么回事,只不过不知道怎么才能写到“高中水平”的读者能够理解。