
法拉第
法拉第是一位大家耳熟能详的科学家,但是很多人并不知道他早年是一位图书装订工。和本杰明富兰克林一样,法拉第在早年接受了成为印刷匠的培训,这让他有机会博览群书,在思维上得到了良好的训练,因此法拉第虽然不是科班出身,但是却掌握了大量的知识。

现代科学讲座
法拉第是一位对科学充满兴趣的人,他在青年时期听了大量的科学讲座,早年他参加化学家戴维的科普讲座,法拉第把戴维的讲座内容详细记录并给出自己的看法装订成册。法拉第把装订成册的笔记寄给了戴维,并希望某得一份实验室助理的工作。
汉弗莱·戴维是英国著名化学家,他发明煤矿安全灯、并将化学方法应用于农业,1813年戴维被选为法国科学院院士。

戴维
然而,戴维并不看好法拉第,他向法拉第表达了并不认为法拉第有能力去从事科研事业的看法,然而出于绅士的礼貌,他还是让法拉第留在了实验室里从事实验助理的工作。这样的一个委婉的举动让戴维做出了他一生中最伟大的发现:发现了法拉第!
实际上戴维也认为自己一生中最大的发现就是发现了法拉第。

图书
法拉第被普遍认为是第一位电动机的发明者,然而法拉第最早发明的电机并没有什么实际用途,法拉第并没有做出有应用价值的电动机,然而他却开启了人类应用的电磁学的大门,因此他的发现是具有开创性的。
法拉第被认为是英国历史上最伟大的五个科学家之一。
法拉第电磁感应定律是电动机发明的基础,然而法拉第并不精通数学,因此他通过所谓力线的方式去描述电磁场,这在当时并不被很多物理学家接受。

麦克斯韦
当时很多精通数学的物理学家认为法拉第的理论缺乏数学描述,是奇怪的。然而同样精通数学的麦克斯韦并不这样认为,他认为法拉第的理论是有道理里的,并希望能够通过数学方法来描述法拉第的理论。
麦克斯韦拜访了法拉第,希望能够更全面地了解法拉第的理论。

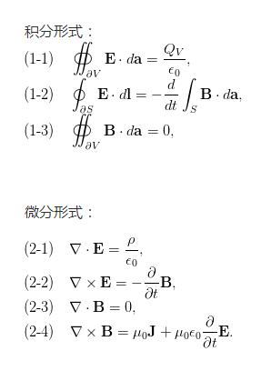
麦克斯韦方程
根据法拉第的理论,以及结合其他同时代科学家的实验结果,麦克斯韦总结出了麦克斯韦方程,并预言了电磁波的存在。

赫兹
赫兹通过巧妙的实验证明了麦克斯韦的猜想是正确的,然而可惜的是麦克斯韦在生前并未看到这一幕,实际上麦克斯韦的理论在赫兹之前一直不被普遍认可。
试想如果当时戴维因为法拉第不是科班出身而拒绝了法拉第,那么也许人类就失去了一位原本可以做出贡献的科学家。
法拉第和戴维的故事告诉我们:也许你们遇到了好的机遇,通过自己的努力也能在自己热爱的领域做出一番伟大成就来!
法拉第的例子告诉我们在科学研究领域兴趣与天赋是多么地重要,以及不拘一格降人才是多么地重要。我想戴维的伟大在于他把很多人认为不可能的事情视作了可能,结果这还真的是真的。 这让我想起了一句话:千里马常有而伯乐不常有!
最后用一首小诗来抒发一下感慨:
《电磁求索》
炫光火石皆混沌,
千年冥想也疑问。
不知雷鸣何灭存,
为何电闪雨纷纷。
书匠执着探高论,
最终方程解幽魂。
不拘一格出困顿,
打开电磁学之门。