
智东西(公众号:zhidxcom)
文 | 信仪
智东西10月26日报道,在最近公布的全球“最严格”AI基准测试MLPerf成绩榜单中,浪潮凭借自研的AI服务器NF5488A5打破了18项推理性能纪录,成为打破纪录最多的AI服务器,成功问鼎AI“机王”。 在焦点赛道ResNet50基准性能测试中,NF5488A5以54.9万/秒的推理性能问鼎,相比2019年榜单服务器全球最好成绩性能提升高达3倍。

浪潮NF5488A5创造18项MLPerf推理性能纪录
此前,MLPerf训练榜单于今年7月公布,NF5488A5仅用时33.37分钟就完成了ResNet50模型基于ImageNet 数据集的训练任务,单机性能高居榜首。自此,浪潮AI服务器NF5488A5在今年的MLPerf基准测试中取得了训练、推理双料冠军。
浪潮技术负责人对智东西说:“NF5488A5如此高倍的性能的提升要取决于硬件和软件两个层面。而对于技术的整体升级来说,如果想要把硬件性能完全发挥出来,不是说单颗芯片好就够了,这对于整个服务器来说是一个系统优化的工程。”

浪潮AI服务器NF5488A5
被视为全球最权威的AI软硬件基准测试MLPerf到底是一个怎样的存在?浪潮在MLPerf中挤进“破纪录冠军”行列有何意义?浪潮又是如何从Intel、NVIDIA、DELLEMC等大佬云集的参赛队伍中脱颖而出的?
浪潮是如何“突出重围”在MLPerf中问鼎AI“机王”的?智东西与此次浪潮参与MLPerf项目的技术负责人进行了深入对话,解构出浪潮AI服务器飞速“成长”背后的故事。
一、打破18项推理性能纪录, 新一代AI服务器成最大焦点
在“扒开结果看过程”之前,我们首先需要知道:MLPerf是什么?MLPerf的冠军,到底厉害在哪?

MLPerf官网首页
当前,AI的应用日益复杂化、多样化,一方面,AI芯片、系统厂商纷纷给出不同的标准,以证实其产品在计算性能、单位能耗力等方面处于行业领先水平;同时,用户更关心的则是如何能从厂商给出的信息中判断出AI算力是否能实际满足其真实场景的需求。
因此,2018年5月全球AI基准测试组织MLPerf推出了MLPerf基准测试。MLPerf基准测试是业内首套衡量机器学习软硬件性能的通用基准,即测试深层神经网络在不同量级的设备(物联网、智能手机、PC、服务器)、各种应用(自动驾驶、NLP、计算机)上的计算性能。
MLPerf由图灵奖得主大卫·帕特森(David Patterson)于2018年联合企业及高校成立。MLPerf基准联盟现有 50 多家成员,包括谷歌、微软、Facebook、阿里巴巴、浪潮等企业,以及斯坦福、哈佛等高校。本次参赛团队共计 23 家,包含 Intel、NVIDIA、DELLEMC、Lenovo、QCT(广达)、Fujitsu、Gigabyte(技嘉)等。目前业内最具权威性的AI基准测试非MLPerf莫属。
MLPerf基准测试分为封闭模型分区(Closed Model Division)和开放模型分区(Open ModelDivision):
封闭模型:要求使用相同模型和优化器,并限制超参数的值等,衡量的是同一深度学习模型及对应的训练/推理过程在不同软硬件上的性能,考察的是软硬件系统优化的能力。
开放模型:放开了对深度学习模型及精度的约束,只限制使用相同的数据解决相同的问题,模型或平台都不会限制,侧重于深度学习模型及算法优化的能力,旨在推进ML模型和优化的创新。
今年的MLPerf基准测试包括四大场景类别,分别针对:数据中心、边缘端、移动端和notebook端。其中,浪潮最新自研AI服务器NF5488A5打破了18项纪录,成为榜单中打破纪录最多的AI服务器。

原始测试成绩表格

各服务器厂商的数据对比图表(蓝色为浪潮NF5488A5数据)
在数据中心场景下的16项基准测试性能指标中:对于封闭模型测试任务分区,浪潮打破了11项整机性能纪录,NVIDIA打破4项纪录(2项与浪潮并列)、QCT打破3项纪录;开放模型分区的6项测试中,浪潮打破2项纪录,NVIDIA打破1项纪录。
在边缘端基准测试中:对弈封闭模型测试分区,NVIDIA打破14项纪录,浪潮打破3项纪录;开放模型分区的4项测试中,浪潮打破2项纪录,DELL打破1项纪录。

浪潮NF5488A5在数据中心和边缘端场景基准测试打破性能纪录次数
在此次基准测试中,浪潮AI服务器NF5488A5在开放优化(Open)和固定任务(Closed)的ResNet50基准性能测试中,均表现优异。在焦点赛道ResNet50基准性能测试中,NF5488A5表现出了54.9万/秒的推理性能,相比2019年MLPerf推理榜单的全球最好成绩性能提升高达3倍。

MLPerf ResNet50推理性能2019 VS 2020对比
在短短一年的时间内,如此高倍的性能提升令人惊叹,而更让人为之称奇的是,NF5488A5已经量产,并非仅作为高端产品参与测试。
1年时间,18项纪录,3倍性能提升,这些数字不止支撑着浪潮新一代AI服务器在MLPerf中问鼎AI“机王”,也代表着浪潮AI服务器在技术积累上的充足底气。
二、是单个软硬件的性能PK,也是整机系统优化的性能考验
NF5488A5是浪潮在MLPerf中大展光彩的“功臣”。NF5488A5单机训练性能可达5 PetaOPS,相比浪潮上一代服务器计算性能提升234%。
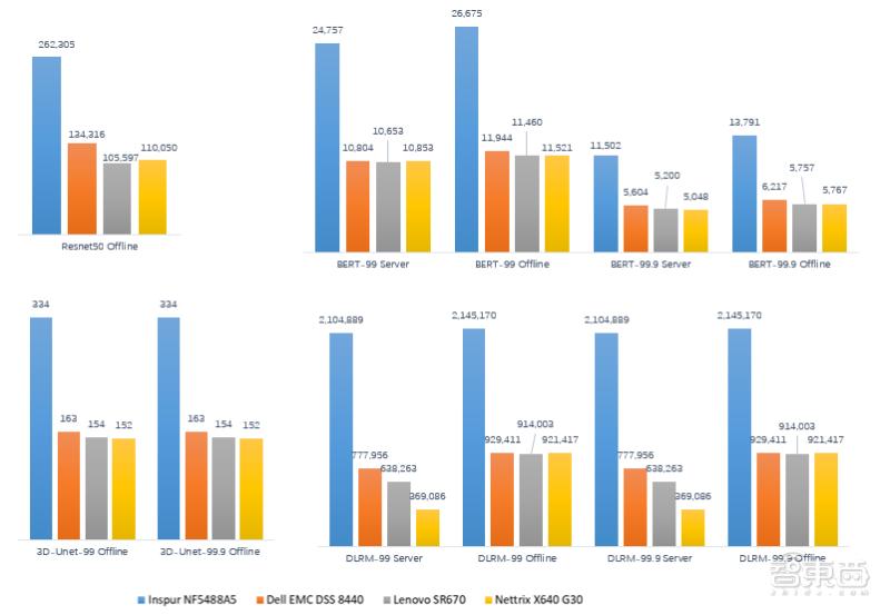
在最新公布的 MLPerf推理测试榜单中,浪潮NF5488A5问鼎 AI 推理基准测试 18项纪录,全面覆盖图像分类、目标检测、自然语言理解、智能推荐等场景。其中在ResNet50模型推理任务处理达到每秒处理54.9万多张图片的推理性能;Bert 自然语言理解推理任务达 26675 条/秒;DLRM 智能推荐每秒推理处理能力达 210 万条。
在7月 MLPerf公布的训练测试榜单中,NF5488A5仅用时33.37分钟,就在包含 128 万张图片的 ImageNet数据集上完成ResNet50模型的训练,相当于每秒训练 23000多张图片,单机计算性能高居第一,可谓是最快人工智能训练服务器。
NF5488A5是此次MLPerf全球竞赛中唯一可以在4U空间内支持8块安培架构A100芯片实现NVLink高速互联的AI服务器。
浪潮NF5488A5在系统拓扑上采用了超低延迟设计,支持PCIe 4.0全链路极致优化,高频通信单元采用一级拓扑最近连接,最大限度提升处理器到AI芯片间的通信性能。
同时,通过配置NUMA节点,确保每颗处理器与其直连的GPU之间通信性能最优,最大限度降低通信延迟。此外,NF5488A5通过深度优化系统结构设计,确保设备可在高环温下稳定运行。
在用户体验方面,用户会在稳定性和性能两方面体会到浪潮最新一代AI服务器的不同。即使在35摄氏度的环温下,NF5488A5也能稳定高性能的运行。NF5488A5是一款通用服务器,可以支持各类流行的AI应用场景,如计算机视觉、语音识别、智能客服等。
三、系统优化是核心竞争力
早在今年4月,浪潮首席科学家王恩东提出了“智算中心”的概念,并表明围绕智算中心打造AI算力生产、聚合、调度、释放的四大关键作业模式。

浪潮首席科学家王恩东提出“智算中心”
浪潮技术负责人对智东西说:“如果要想把硬件性能完全发挥出来,仅考虑芯片的性能是不够的,需要考虑服务器系统优化。以A100 GPU为例,将8块A100 GPU都放在一个服务器中,如果不解决它的散热问题,GPU可能运行几分钟频率就降下来了,应用性能就会很糟糕。此外,GPU之间、CPU与GPU之间的互联、内存等都会对深度学习的推理和训练性能有比较大的影响。浪潮目前在服务器整机的设计优化能力是业界领先的。”
从2012年浪潮初步布局AI服务器,到2017年4月浪潮成立AI&HPC产品部并正式迈入AI产业,再到今年浪潮的AI服务器创造了全球最快性能纪录,8年的时间,这其中的每一个脚印都印刻着浪潮在硬件、软件及整机上的技术积累。
结语:AI服务器落地两步走
浪潮NF5488A5 AI服务器一举打破 18 项 MLperf 推理性能纪录,展示出我国自主服务器头部玩家在AI这条路上越走越宽、越走越稳。
在浪潮看来,AI算力的多元化支持将会是AI服务器发展的一个主要趋势。AI产业目前正处于落地阶段,首先要将AI算法赋能到用户的实际业务场景中,随后通过软硬件协同优化持续提升用户的AI应用性能。
从浪潮在 MLperf 中的表现来看,浪潮已在产业AI化中占据了有利位置,我们也期待浪潮与其他玩家一起加速推进产业AI化进程。
