作者 | 伊恩•斯图尔特(Ian Stewart)
来源 | 节选自《不可思议的数》,人民邮电出版社/图灵新知,2019.8。
▌42,一点都不乏味我曾说过, 这个数在道格拉斯·亚当斯的《银河系搭车客指南》里很重要,它是“关于生命、宇宙以及一切之终极问题”的答案。这 一发现马上产生了一个新问题:什么才是真正的关于生命、宇宙和所有一切之终极问题?亚当斯说,他选择这个数是因为,他快速地问了一圈朋友们,大家都认为 是最乏味的。
在此,我想保护 不受这样的*谤诽**。就数学意义而言, 毫无疑问无法和 、,甚至是

相提并论。然而,它也并不是完全无趣的。 是普洛尼克数、卡塔兰数,也是最小的魔方幻方常数。当然,它还有一些其他特点。
▌普洛尼克数
所谓普洛尼克数(也叫长方形数、矩形数或 heteromecic 数)是指两个连续整数的积,因此它的形式是

。当

时,我们可以得到

。由于第 个三角形数是

,所以普洛尼克数是三角形数的

倍。它还是前 个偶数之和。数量是普洛尼克数的点可以排列成一个矩形,这种矩形的一条边比另一条边大

(图 171)。

图 171 前 6 个普洛尼克数。阴影部分表示它们为什么是三角形数的 2 倍
这里有一个关于高斯的故事,在他还很年轻的时候,被老师要求完成一个一般形式的问题

很快发现,如果相同的和式以递减的顺序写出来,即

其相应的数对之和都等于

。因为有

对这样的数对,所以它们的总和为

,这是一个普洛尼克数。老师提出的问题的答案是这个数的一半,即

。然而,我们实际上并不知道高斯的老师在课上提出的问题到底是什么,它有可能更难。如果是这样的话,那么高斯就更聪明了。
▌第

个卡塔兰数
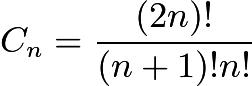
卡塔兰数出现在许多不同的组合问题里,所谓组合问题是指对各种数学任务的完成方法进行计数。这个问题可以追溯到欧拉,他计数了一个多边形可以分割成多少种顶点相接的三角形。后来,欧仁·卡塔兰发现了这类问题和代数之间的联系:在加法或乘法算式里插入括号的方法有多少种。我很快就会做解释,但首先让我先介绍一下这类数。
对 n = 0, 1, 2,…而言,前几个卡塔兰数 是

利用阶乘可以得到如下公式:

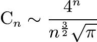
当 比较大时,它还有一个很好的近似公式:

这又是一个在看似和圆或球体无关的问题里出现了 的例子。
是把正

边形分割成三角形的不同方法的数量(图 172)。

图 172 把六边形分割成三角形的 14 种方法
它也是生成有

片叶子的二叉树的数量。二叉树源于一个根节点, 然后从这个节点开始向两边分枝。每个分枝都以点或叶子结束。每个点必须继续分出两枝(图 173)。

图 173 5 棵有 4 片叶子二叉树如果你觉得这个想法有点难懂,那么它和代数还有一个更直接的联系——计算在加法或乘法算式中插入括号的方法的总数,例如对 abcd 而言, 有C5种可能:

一般而言, 个符号有 种插入括号的方法。为了搞明白其中的联系, 我们可以把这些符号顺次填在树的叶子上。如果一对叶子有相同的节点,那么就插入括号。如图 174 所示,我们先从左往右把 片叶子标上 、、、。然后,从下往上在连接 和 的节点旁标记

。它上面的节点连接了 和标记为 的节点,因此新的节点对应于

。最后,顶上的节点连接了 和 ,因此,它是

。

图 174 把二叉有根树转化成代数
许多其他的组合问题也会出现卡塔兰数;以上是最容易描述的一小部分。
▌魔方
一个

魔方的幻方常数是 。这样的魔方包含了

每个数各一次,平行于棱边的每行或经过中心的对角线中的数之和是相等的——这个和被称为幻方常数。所有

个数之和是

。这些数可以被分成

组不相交的三元组,而每个三元组相加后可以得到幻方常数,因此幻方常数必须是

。
这样的排列是存在的,图 175 就是一个例子。

图 175 魔方的连续三层
▌其他特点
■ 是分拆

的不同方法的数量,拆分需按自然顺序把数写成整数之和,如

■ 是第二个楔形数,所谓楔形数是指

个不同质数之积。在这里,

。前几个楔形数分别是

■ 是第三个

边形数,它和三角形数类似,但基于的是正 边形。
■ 是超级多重完全数:除数之和的除数之和(包括 ),这样重复 次之后的数字等于自己。
■在一段时期内, 是已知最好的 的无理性度量值,即精确量化 有多“无理”的一种方法。特别是库尔特·马勒在 1953 年证明了对任意有理数

而言,有

不过,V. 卡·萨利科夫在 2008 年将 修订成

,因此 在这里又变回了无趣。
■ 是第三个本原伪完全数。所谓本原伪完全数需满足条件

其中

是可以整除

的不同质数。前几个本原伪完全数分别是

■ 是这样的一种 ,存在小于 的 个不同正整数 、、、, 且

、

和

全都可以整除 。它是仅有的已知具有这种性质的数,但人们尚不知道是否还存在其他这样的数。
■ 是被证明的香肠猜想里的最小维度。不过,人们猜想命题在大于等于

维时都成立,因此, 在这里的意义依赖于当下掌握的知识。
看到了吗? 一点都不乏味!

《不可思议的数》
伊恩•斯图尔特著
人民邮电出版社/图灵新知
2019年8月出版
《不可思议的数》,点击封面购买↑↑↑
《数学万花筒1、2、3》
伊恩•斯图尔特著
人民邮电出版社/图灵新知
2017年4月出版
《数学万花筒1、2、3》,点击封面购买↑↑↑
作者简介:伊恩•斯图尔特(Ian Stewart),英国皇家学会会员,曾获英国皇家学会的“法拉第奖章”、美国科学促进会的“公众理解科学技术奖”和英国伦敦数学学会与英国数学及应用研究院颁发的“塞曼奖章”。他著有多部优秀的畅销数学科普作品,如《改变世界的十七个方程》《数学万花筒》系列等。其设计的应用程序《斯图尔特教授的不可思议的数》被美国和加拿大地区的应用程序商店选为“最佳应用”,并荣获“成人非虚构类数字图书世界奖”。

传播数学,普及大众
欢迎把我们推荐给你身边的朋友
▼