
节能门窗能够环保还舒适,看似普通的玻璃起了挺大作用。它的法宝就是镀在玻璃中间的膜层。那是不是只要镀膜了就万事大吉呢?镀哪儿也有讲究。
Low-E层的位置不同会对玻璃性能产生什么影响?一切不拿出数据的推测都是耍流氓。正好“建筑光学”有发布过如下专业对比数据,我们就来察数据,观结果,看看到底哪一面才是Low-E膜的合适落脚处。

图1 Low-E膜在2#面

图2 Low-E膜在3#面
总的来说,大家无非关心的是两点:Low-E膜放在不同的面,对遮阳系数、K值等参数分别有什么影响。您往下看:
01
遮阳系数SC和K值的不同

表1 玻璃性能参数随Low-E膜位置的变化
由表1可见, 玻璃的遮阳系数SC随Low-E位置的变化会产生较大的改变,因此,我们可以根据不同气候区的特点及其对玻璃遮阳系数的要求,来调整Low-E膜的位置。
而传热系数K值,无论是单银、双银或者三银,Low-E膜面位于2#或者3#时,都不会发生变化。
02
表面温度比较

表2 Low-E膜面位于2#和3#时玻璃表面温度的比较
由表2可见,无论是单银、双银还是三银,当膜面在2#面和3#面时,室内侧玻璃表面即第4#面,玻璃温度差异非常大,最大可达10℃以上。因此,为了室内舒适性的需求(例如超低能耗被动房要求玻璃表面与室内空气温差不超过3℃),减少热辐射,应该优先选择将膜面放在2#面。
03
原理分析
那么,以上数据怎么来的呢?放心,都是根据国标公式算出来的。
从 JGJ/T 151 门窗幕墙热工计算规程 我们可以看到如下遮阳系数SC的计算公式:
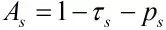
6.1.6 单片玻璃的太阳光总透射比g应按下式计算:

公式(6.1.6)
式中:hin——玻璃室内表面换热系数[W/(m².K)];
hout——玻璃室外表面换热系数[W/(m².K)];
As——单片玻璃的太阳光直接吸收比。
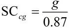
6.1.7 单片玻璃的太阳光直接吸收比As应按下式计算:

公式(6.1.7)
式中:

——单片玻璃的太阳光直接透射比;
ρ s——单片玻璃的太阳光直接反射比;
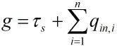
6.1.8 单片玻璃的遮阳系数SCcg应按下式计算:

公式(6.1.8)
式中:g——单片玻璃的太阳光总透射比;
6.4.2 玻璃系统的遮阳系数的计算应符合下列规定:
1 各层玻璃室外侧方向的热阻应按下式计算:

公式(6.4.2)
式中:Rg,i——第i层玻璃的固体热阻(m²·K/W)
Rg,k——第k层玻璃的固体热阻(m²·K/W)
Rk——第k层气体间层的热阻(m²·K/W)
2 各层玻璃间室内的二次传热应按下式计算:

公式(6.4.3)
3玻璃系统的太阳光总透射比应按下式计算:

公式(6.4.4)
4玻璃系统的遮阳系数应按本规程公式6.1.8计算。
由此可见, 若镀膜面放在2#面,会有以下原因导致SC值低 :1)通过第一片玻璃后,有很大一部分近红外辐射被反射掉;2)直接透过辐射少;3)吸收得热的热量由于第一片玻璃的外表面(1#面)辐射率高内表面(2#面)辐射率低,所以向室外辐射的热量多,向室内中空腔辐射的少,到达第二片玻璃的热量就少。以上三点原因使得到达中空玻璃的中空腔及第二片玻璃热量少,进而传到室内的热量较少,最终的SC值较低,第二片玻璃的两个表面温度也低。
而当镀膜面在3#面,第一片玻璃假设为普通白玻,有以下原因导致SC值高 :1)绝大部分热量会透过第一片玻璃,到达中空腔和第二片玻璃;2)3#面反射大部分近红外辐射但玻璃和膜层的辐射吸收传热导致第二片玻璃升温;3)第二片玻璃的温度高,3#面由于有低辐射膜层,导致向室外侧的热辐射少,而4#面的辐射率高,导致向室内辐射的热量多。以上三点原因导致low-E膜面在3#面比在2#面的遮阳系数SC高。
其实两种配置的玻璃的太阳光直接透射比都是相同的,是二次传热不相同,导致太阳能总透射比不同,遮阳系数自然也就不同了。
仔细探究传热系数的计算方法,咱们认为是对中远红外低辐射率和中远红外高反射做了简化等价,使得Low-E膜在2#和3#面的K值都一样。当然这种差异在工程上是可以忽略的。
04
结论
如果从小就对数学头大,那么以上你都可以都不用看,咱们直接背结论:Low-E膜放在中空玻璃的不同表面,产生的组合效果也不相同,主要是三个方面:
(1)遮阳系数不同,但传热系数K值相同;Low-E位于3#时遮阳系数大于2#面。
(2)室内侧玻璃表面温度不同;Low-E位于3#时室内侧玻璃表面温度大于2#面。
(3)室内外观察,颜色和视觉效果不同。
考虑到实际应用中,玻璃使用地区气候特点的不同,以及消费者对产品性能要求的不同,玻璃Low-E层的最佳位置也不同,要根据设计要求,与镀膜玻璃厂家充分沟通,最后决定Low-E膜的位置。算说到这里,才发现有些事没有好坏之分,适合自己的才是最好的。

法莱尔高端定制门窗,愿为每一位业主打造安静舒适的品质生活,有需要请致电 010-52877852