
10月26日,中建梅溪湖中心三期取得2号栋预售证,马上开启认筹,持续到29日,共4天时间。据了解,该楼盘开始认筹不到1小时,人数达300组,4小时认筹达530组,将于10月30日开盘。
一场大戏已启幕 。
这次,中建梅溪湖中心仍稳站在“网红盘”队列中,验资50万,也挡不住购房者的步伐。

在前年,中建梅溪湖中心价格仅万元出头,比周边不少楼盘价格都要低好几千。首付40万,就能住进梅溪湖这一富人区,先不说湖景有多赏心悦目,光每天碰到的那些高知邻居就让人觉得倍有面。在高知邻居的耳濡目染之下,自己仿佛马上变成高知分子。

盘点那些年长沙难抢的楼盘,中建梅溪湖中心绝对榜上有名。自今年9月开始,江湖上就流传“中建梅溪湖中心3期即将开盘”的消息,自媒体闻风而动,大肆报道,在他们的笔下,好像只要中建梅溪湖中心一开盘,马上会秒光,毕竟其号召力在梅溪湖数一数二。
事实真是这样吗?
价格最高涨了近4000元/平米
有人说,中建梅溪湖中心是梅溪湖板块性价比最高的楼盘。
为什么这么说呢?
有地铁,紧挨2号线麓云路站,出门就是地铁口。
有湖景,站在楼上就能欣赏梅溪湖四季更迭的别样风景。


双学位,配套入读长沙市实验小学梅溪湖学校与师大附中博才梅溪湖中学。
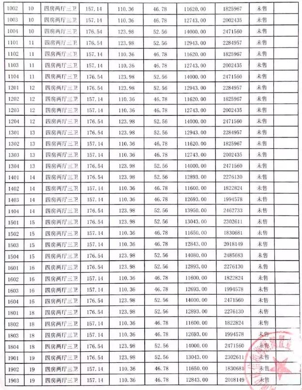
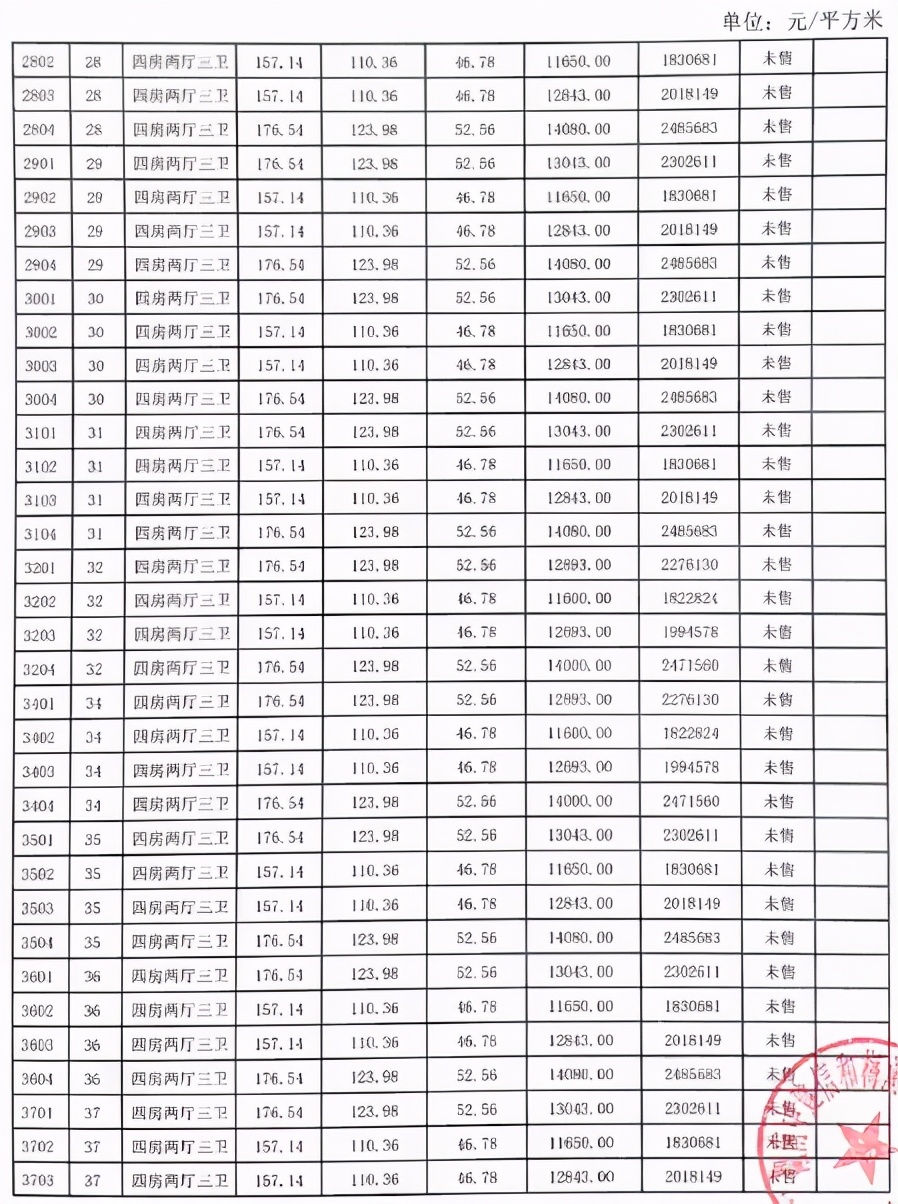
价格呢,前年均价为10600元/㎡,这次最低价11520元/㎡,最高价14080元/㎡,身价还是涨了不少。
一房一价表






1号和3号户型部分可看到湖景,均价12800元/㎡,2号户型全部被遮挡,均价11650元/㎡,4号户型看到湖景几率最大,均价14000元/㎡。果然是“寸湖寸金”的梅溪湖,一线湖景就是这么值钱。

时隔两年,中建梅溪湖中心高层住宅尾货清盘,2号栋共177套房子,户型为157㎡和176㎡,总价为180.9-247.8万,首付最低也要近60万,门槛可不低,部分刚需,尤其是嫩刚怕是高攀不起,而非刚需则笑出声。富人区名副其实。
虽然,这次开盘是刚需非刚需一起摇号,几率看似都一样,但非刚需认筹的人多了,基数大了,刚需中签的几率就变小了。

不过,两年之后,家里没有矿的普通打工人想在梅溪湖买一套房子,怕是得攒钱到中年。所以,东敏君一直说早买早好。你看,两年时间,中建梅溪湖中心的门槛从30多万涨至差不多60万,翻了一番。
谁的钱包可以涨得这么快?
吐槽“公摊可以买一辆宝马”
独爱梅溪湖的购房者望眼欲穿。二期规划还看不到成型的样子,而一期规划基本落地且配套完善,这成了他们的首选,只是房子越来越少。他们在等中建梅溪湖中心,只是,没想到,一等就是两年。
更没想到的是,此次中建梅溪湖中心推新户型公摊面积有点“伤人”,157㎡的户型公摊47㎡,176㎡户型公摊53㎡,得房率仅2/3,最高公摊款达75万,白花花的银子拱手送进了开发商的口袋。有购房者戏谑“一辆宝马就被他公摊没了”。


原本以为是大平层,一公摊,就成了不是那么宽敞的四房,尤其是157平的四房,每个房间就比较紧凑。房间小了,欣赏湖景的心情也变了。
157㎡是四房,176㎡也是四房,就挺奇怪的。


此外,交房需要等3年,这也是让部分购房者心塞的地方。
值得注意的还有,中建梅溪湖中心三期早先规划的是写字楼和公寓,如今被改成公寓办公楼和一栋超高层住宅,其中公寓办公楼高达245.8米,可能会挡住北侧的住宅,致使部分户型开窗看不到湖景风光,采光不理想。

还记得中建梅溪湖中心未经协商单方面修改规划时,业主抱团维权的场景吗?他们担心到时大量的公寓业主很快就会挤占小区的教育资源,扎堆的租房客会使小区安全性下降,同时,家门口大型超市没了,购物也不方便了。
这些因素很有可能会拉低小区档次和升值空间。
你还一心拼手速吗?
是上车梅溪湖的绝佳机会吗?
有人说,这些小问题都不算什么。
因为,在今年,中建梅溪湖中心两次法拍的成交单价为 2.15万元/㎡ 和 1.93万元/㎡ ,一万左右入手,以双倍的价格卖出去,这可是一桩稳赚不赔的生意,谁都想做。

真能闭眼买吗?这是“上车”梅溪湖的最后好时机吗?
这批购房者肯定没有之前的购房者那般义无反顾,毕竟花了更多钱,却不能享受同样的待遇,这换谁,心里都不舒服。
此次开盘,中建梅溪湖中心的性价比还是打了折扣。
看看梅溪湖一期,梅溪湖玺悦(均价13200/㎡)、时代梅溪领峰(均价15400-16400元/㎡)、建发央著(均价18000元/㎡),价格比中建梅溪湖中心更高,但离梅溪湖更远。

再看看二期,越秀亲爱里(均价12050元/㎡)、招商华发依云曦城(均价13000元/㎡)、绿地梅溪新里(均价13500元/㎡)。
这样一对比,你心里有数了吗?