
袁正道1,2,王忠勇3,张传宗3,吴 胜4
(1.解放军信息工程大学 信息系统工程学院,河南 郑州450001;2.河南广播电视大学 信息工程学院,河南 郑州450008;
3.郑州大学 信息工程学院,河南 郑州450001;4.清华大学 宇航研究中心,北京100084)
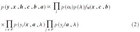
摘 要:提出了一种基于因子图-消息传递算法的联合信道估计单载波频域均衡(SC-FDE)接收机。针对现有联合信道估计接收机中存在的复杂度和性能之间的矛盾,利用因子图拉伸方法对现有模型进行拉伸变换。变换之后的因子图模型可以将现有模型中的观测节点分割为几个节点的组合,并依据分割后节点的自身特点采用更合适的消息传递规则,进而避免了各种消息传递规则的固有缺陷。仿真结果表明,相比已有联合接收机算法,所提出的基于因子图拉伸和联合期望传播-平均场(BP-MF)算法在提升性能的情况下能够显著降低复杂度。
中图分类号:TN929.3
文献标识码:A
DOI:10.16157/j.issn.0258-7998.166617
中文引用格式:袁正道,王忠勇,张传宗,等. 基于因子图拉伸的SC-FDE联合信道估计接收机[J].电子技术应用,2017,43(8):110-114.
英文引用格式:Yuan Zhengdao,Wang Zhongyong,Zhang Chuanzong,et al. Joint channel estimation and SC-FDE receiver based on stretch factor graph[J].Application of Electronic Technique,2017,43(8):110-114.
0 引言
单载波频域均衡(SC-FDE)技术[1],由于其在对抗多径引起的时间弥散效应中的优异性能,近些年引起了研究者的广泛关注。相对于正交频分复用(OFDM),SC-FDE拥有更低的均峰比,使得其成为了LTE中的上行链路技术。
置信传播算法(BP),也称和积算法[2],是一种广泛应用于迭代接收机的消息传递方法。由于其在离散信号处理下的优异性能,使得BP算法在无线接收机设计中得到广泛应用。但是BP算法在连续和离散共存的场景中会导致极高复杂度,所以出现了几种近似消息传递方法[3-5],在有些场景下替代BP算法。有常见的两种理论化的 (Theorized)消息传递方法:平均场(MF)算法[3]、期望传播(EP)算法[4]。其中,平均场(MF)算法适合用于因子节点为指数类分布的场景,特别适用于高斯函数或者伽马函数的情形,但是由于其更新规则的特点,在遇到“乘积-求和”(summation-multiplication)模型时,会产生方差丢失问题,导致性能严重下降[6]。期望传播(EP)算法[4]可以看作是BP方法的一种近似,方便解决BP算法在连续-离散共存情况下的复杂度过高问题。但是由于MF、EP都是BP算法在放宽约束条件下的近似,所以相比BP算法均会使得性能下降。所以近年来联合BP-MF[5]、联合BP-EP等方法出现解决了性能和复杂度的矛盾。
文献[7]中提出了一种低复杂度稀疏信道估计SC-FDE接收机,其利用导频估计稀疏信道,并用于数据检测。由于其仅利用导频估计信道,并不能完全利用数据传输中隐含的信道信息,从而此接收机属于分立接收机。文献[8]中提出一种基于消息传递算法的联合OFDM接收机,在信道估计中采用MF方法。为了避免MF方法出现的方差丢失,其采用了向量形式,将标量形式方差计算转换为协方差矩阵运算,使得性能得到提升。但是由于存在矩阵求逆,其复杂度也大幅提升。文献[9]中提出了广义平均场(GMF)方法,假设信道之间相对独立,将信道分成相互独立的分组,从而在损失性能的代价下降低复杂度。
本文结合文献[7-9]的方法,将原本存在“乘积-求和”结构的观测节点进行因子图拉伸,将此结构脱离观测节点。经过拉伸以后,观测节点仅存在“乘积”结构,从而采用MF方法时避免了方差丢失问题,同时可以方便估计噪声方差。而“求和”结构由另外一个节点采用BP方法处理,避免了方差丢失和其他近似方法所产生的性能下降。
1 系统模型
针对一个SC-FDE传输系统[1],信息序列b经信道编码和交织后得到编码矢量c,再经QAM调制后得到发送数据x,在加入循环前缀(CP)后进行信道传输。在接收端,移除CP后进行离散傅里叶变换,得到:

1.1 现有因式分解以及因子图表示
上述传输模型,若按照文献[7-9]的方式因式分解,中间变量z和h并未体现,因式分解如下:

其中fM(x,c,b)表示软输入软输出(SISO)函数,在文献[6]中有详细描述,本文不推导其内部消息更新。上述因式分解可画出因子图,如图1所示。

1.2 因子图拉伸方法
为了避免上节中出现的复杂度与性能的矛盾,本节将系统中未知变量、观测变量和辅助变量的联合全局概率分布因式分解为:

经过因子图拉伸,由于观测节点仅存在“求和”,则采用MF方法即可估计噪声精度又不存在方差丢失问题,而“求和”结构由节点
表示,通过BP方法处理,保证了算法的高精度。由于避免了矩阵求逆,采用本方法后,复杂度相比向量形式的MF方法会显著下降。由于本文的因子图将中间变量z、h均通过因子图表达出来,则相比文献[7-9]本文因子图可看作是经过了“拉伸(stretched)”变换,所以本文所提方法称为拉伸因子图方法。
2 接收机设计
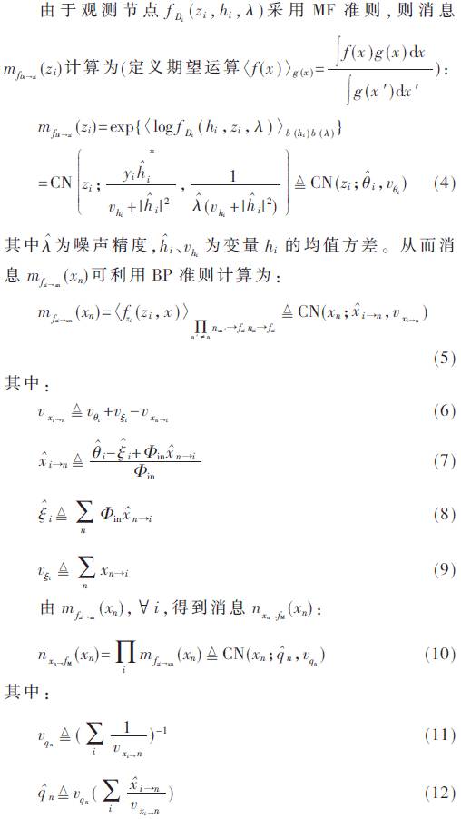
基于联合BP-MF算法,本节讨论在因子图2中的消息计算。观察因子图可知,图中存在两个晶格(Lattice)状网络(fz~x和fh~a),两个网络中消息更新公式类似,简洁起见本文仅详细描述频域均衡部分晶格的更新公式。
2.1 频域均衡及检测消息计算
为了表述方便,本节将频域均衡及检测部分的消息计算分为左向消息和右向消息。
2.1.1 左向消息(fD→fz→fM)

2.1.2 右向消息(fM→fz→fD)
将上节得到的消息
传至SISO函数fM(x,c,b),利用BP准则进行解调解码,得到数据符号和返回的离散消息:

2.2 信道估计

此MF消息送往信道估计部分后,利用BP更新规则更新晶格网络中的消息。同样存在晶格网络,信道估计和频域均衡部分的因子图类似,唯一的不同在于不存在SISO函数。由于和均衡部分的更新公式接近,此处不做深入探讨。利用BP方法,可以得到:

需要说明的是,本文采用的信道估计方法也可以扩展到稀疏信道场景,采用稀疏贝叶斯学习的方法[7-9]。只需要假设抽头先验未知,采用分层模型(2Layer或3Layer),具体模型和因子图可参考文献[10]。
2.3 噪声精度估计

2.4 消息调度
在信道未知情况下,若进行联合信道估计(频域数据符号zi参与信道估计过程),由于数据符号不准确,会导致估计准确性变差。所以本文采用的消息调度规则设定为:首先纯粹利用导频进行迭代信道估计(定义为初始化迭代),迭代次数设定为Tinit;经过初始化迭代,信道参数得到初步估计,从而可以进行频域均衡和检测;之后利用检测得到的结果再参与噪声方差估计和信道估计,从而完成全局迭代(次数设置为TGlob)。将本节所述消息更新和调度归纳为如下算法:

3 仿真及复杂度分析
通过蒙特卡洛仿真验证本文提出的联合信道估计迭代接收机性能,并与已知文献中算法进行对比,仿真系统参数参见表1。

本文所提基于拉伸因子图和联合BP-MF方法标记为“BP-MF”,文献[9]中提出的分块MF方法统称为“MF”,并根据其分块大小分别记为“MF-512”、“MF-128”、“MF-32”和“MF-8”。文献[7]中采用的非联合方法,记为“DisJoint”。作为参考标准,本文也将已知信道情景进行了仿真,记为“GvChnl”。
3.1 仿真结果
图3对比了本文以及文献中的已知方法随信噪比变换曲线(迭代次数固定为20)。从图3可看出,本文提出的BP-MF方法比MF方法在分块大小为512情况下性能有所提升。而MF方法随着分块的增加,性能逐步递减。非联合式接收机,由于仅利用导频进行信道估计,所以相比联合接收机其性能有很大劣势。

图4展示了各种方法在不同信噪比下的信道估计性能。可以明显看出,相比非联合接收机,由于数据符号所携带的信道信息得到了利用,其信道估计性能有非常明显提升。本文所提算法相对于MF-512,有一定程度的性能优势。

3.2 复杂度分析
分块MF方法,其复杂度随分块的变小而减小。假定分块大小为G,则其复杂度正比于O(L(M/G)2)。本文提出的BP-MF方法,计算消息个数正比于O(ML),每条消息计算均仅需要基本的数*运学**算,所以BP-MF方法的复杂度正比于O(ML)。在本文仿真场景下,BP-MF方法和MF-32复杂度近似。
4 结论
基于因子图拉伸和消息传递算法,本文提出一种低复杂度联合信道估计SC-FDE接收机。通过对现有方法的因子图进行拉伸变换,可以将图中因子节点按功能进行分割,进而采用更为灵活的消息传递算法。从而在选择消息传递规则时可以参考各种规则自身的优缺点,最大化地利用其优势,避免其缺陷。仿真结果表明,相比已有联合接收机算法,本文提出的基于因子图拉伸和联合BP-MF算法在提升性能的情况下能够显著降低复杂度。
参考文献
[1] FALCONER D,ARIYAVISITAKUL S L,BENYAMIN-SEE-YAR A,et al.Frequency domain equalization for single-carrier broadband wireless systems[J].Commu. Magazine,IEEE,2002,40(4):58-66.
[2] KSCHISCHANG F R,FREY B J,LOELIGER H A.Factor graphs and the sum-product algorithm[J].IEEE Transactions on Information Theory,2001,47(2):498-519.
[3] WINN J,BISHOP C M.Variational message passing[J].Journal of Machine Learning Research,2005,6(2):661-694.
[4] MINKA T P.Expectation propagation for approximate Bayesian inference[C].Seventeenth Conference on Uncertainty in Artificial Intelligence. Morgan Kaufmann Publishers Inc. 2001:362-369.
[5] RIEGLER E,KIRKELUND G E,MANCHON C N,et al.Merging belief propagation and the mean field approximation: a free energy approach[J].IEEE Transactions on Information Theory,2012,59(1):588-602.
[6] YUAN Z,ZHANG C,WANG Z,et al.An auxiliary vari-able-aided hybrid message passing approach to joint channel estimation and decoding for MIMO-OFDM[J].IEEE Signal Processing Letters,2017,24(1):12-16.
[7] 王忠勇,郭秋歌,王法松,等.基于分层模型的SC-FDE系统低复杂度稀疏信道估计[J].信号处理,2015,31(9):1106-1111.
[8] PRASAD R,MURTHY C R,RAO B D.Joint approximately sparse channel estimation and data detection in OFDM systems using sparse Bayesian learning[J].IEEE Transactions on Signal Processing,2014,62(14):3591-3603.
[9] PEDERSEN N L,MANCHON C N,FLEURY B H.Low complexity sparse Bayesian learning for channel estimation using generalized mean field[C].European Wireless 2014,European Wireless Conference;Proceedings of.VDE,2014:1-6.
[10] ZHANG C,YUAN Z,WANG Z,et al.Low complexity sparse Bayesian learning using combined BP and MF with a stretched factor graph[J].Signal Processing,2017,131(1):344-349.