一、低压开关柜的主回路
每种型号的低压开关柜,都有受电柜(进线柜)、计量柜、联络柜、双电源互通柜、馈电柜和电动机控制中心(MCC) 、无功补偿柜等组成。

以下以MNS抽出式低压开关柜为例,对低压开关柜的各种主回路进行归类说明(见CAD图纸)
二、低压开关柜的辅助回路
低压开关柜中的辅助电路主要有断路器操作控制电路、测量(计量)电路、电动机(不可逆和可逆)控制电路、双电源互投控制电路等。
三、低压开关柜设计中应注意的事项
1)必须明确系统的进出线方式,如:
(a)母线上进(侧进)电缆下出;
(b)母线下进电缆下出;
(c)电缆下进电缆下出;
(d)电缆上进电缆上出。
2)必须明确系统中所有开关柜的排列顺序和操作面方向,搞清楚是靠墙(靠墙的开关柜要考虑安装和检修)还是离墙安装?
3)设计时要保证系统图上的外形尺寸和平面布置图上的外形尺寸一致,并考虑各柜的安装空间是否够用?
4)系统中有母线桥的情况,要考虑母线桥的走向与系统进出线方式有无冲突,并考虑母线桥进出线位置有无困难?
5)设计时要考虑面板和测控板布局合理,要保证相同容量的回路或其备用回路的互换性。
6)抽屉内装塑壳断路器时,注意断路器本身带的附件(如:分励、辅助、欠压等)可能会增加其外形尺寸,有可能无法安装在抽屉内。
7)额定电流在400A~630A的电动机直接启动回路,应避免采用抽屉安装。原因:①因为电动机启动电流大,频繁启动导致抽屉插接件过热,从而引发故障;②因为抽屉柜产品自身的缺陷,抽屉在进行一定次数的插拔后,导致插接件接触不好,容易因插接件发热引发故障。

8)在材料清单中要特别注意元器件的型号、参数要符合样本和资料上的书写规范;查资料时首先考虑生产厂家的样本,尤其是参数(包括外形及安装尺寸)。
9)在提元器件清单时,首先要确认系统图、原理图的设计是否合理;其次要保证其参数和性能要符合二次原理图的要求,如各种元件带的附件是否齐全、时间继电器的触点性质是否符合要求、辅助触点是否够用、控制电压是否符合要求等等。

四、母线的分类
1)按其横截面分,可分为矩形、槽形和管形(或双D形)母线3种。
a. 矩形母线
单片矩形母线具有集肤效应系数小、散热条件好、安装简单、连接方便等优点,一般适用于工作电流不超过2000A的回路中。
多片矩形母线集肤效应系数比单片母线的大,所以附加损耗 。因此载流量不是随导体片数增加而成倍增加的,尤其是每相超过三片以上时,导体的集肤效应系数显著增大。在工程实用中多片矩形母线一般用于工作电流不超过4000A的回路中。

b.槽形母线
槽形母线的电流分布比较均匀,与同截面的矩形导体相比,其优点是散热条件好、机械强度高。载流能力比同截面的矩形导体约大35%,
因此槽形母线一般用于电流较大、电动力效应要求高的设备中。
如:发电机出口开关柜,其额定电流大,一般达到5000A以上。
c.管形母线
管形母线是空芯导体,集肤效应系数小,防电晕效果好,但连接比较复杂。
2)按材质分,可分为铜母线、铝母线、铁母线,其中铜母线由于载流量大,抗腐蚀性能和力效应好,应用最广泛。铝质母线在电流小、非沿海和非石化系统也有应用。使用铁母线主要从经济上考虑,应用于PT连接线。
3)按自然状态可分为硬母线和软母线。软母线主要应用于连接不便可以吸收一些力效应的场所,如断路器内部、电容器等。
因此槽形母线一般用于电流较大、电动力效应要求高的设备中。
如:发电机出口开关柜,其额定电流大,一般达到5000A以上。
c.管形母线
管形母线是空芯导体,集肤效应系数小,防电晕效果好,但连接比较复杂。
2)按材质分,可分为铜母线、铝母线、铁母线,其中铜母线由于载流量大,抗腐蚀性能和力效应好,应用最广泛。铝质母线在电流小、非沿海和非石化系统也有应用。使用铁母线主要从经济上考虑,应用于PT连接线。
3)按自然状态可分为硬母线和软母线。软母线主要应用于连接不便可以吸收一些力效应的场所,如断路器内部、电容器等。
五、母线的载流量
2.1、载流量的定义
母线的载流量是指母线在规定的条件下能够承载的电流有效值。“规定的条件”中主要指标是环境温度。
2.2、影响载流量的因素
1)布置方式
母线立放时载流量比平放时要高一些,一般当母线平放且宽度小于60㎜时,其载流量为立放时的0.95倍, 宽度大于60㎜时其载流量为立放时的0.92倍,这是由于立放时散热性能要比平放时要好的缘故。
2)环境温度
3)母线的材质
4)散热条件
载流量表:



六、母线的热效应和电动力效应
3.1、母线的热效应
母线的热效应是指母线在规定的条件下能够承载的因电流流过而产生的热效应。在开关设备和控制设备中指在规定的使用和性能条件下,在规定的时间内,母线承载的额定短时耐受电流。
3.1.1、根据额定短时耐受电流来确定母线最小截面
根据GB3906-2006 《3.6~40.5kV交流金属封闭开关设备和控制设备》[附录D] 中的公式: 来确定母线的最小截面积。式中: S--导体截面,mm2;
I--额定短时耐受电流,A;
α--材质系数,以 表示,并按下列规定取值:
铜为13,铝为8.5,铁为4.5,铅为2.5;
t--额定短路持续时间(s);
△θ--温升(K),对于半导体一般取180,如果时间超过2s, 但小于5s,△θ值可在同一公式中增加到215。
根据以上公式计算得出:25kA/4s系统铜母线最小截面积S=(25000/13)*√(4/215)≈260 mm231.5kA/4s系统铜母线最小截面积S=(31500/13)*√(4/215)≈330 mm240kA/4s系统铜母线最小截面积S=(40000/13)*√(4/215)≈420 mm2 63kA/4s系统铜母线最小截面积S=(63000/13)*√(4/215)≈660 mm2 80kA/4s系统铜母线最小截面积S=(80000/13)*√(4/215)≈840 mm2
根据以上计算结果,得出4s额定短时耐受电流下铜母线的最小规格如下:

根据DL404-2007《3.6kV~40.5kV交流金属封闭开关设备和控制设备》中5.3条规定,对于中性点直接接地系统,接地回路的短时耐受电流最大值可达到主回路的额定短时耐受电流值;对于中性点非直接接地系统,接地回路的短时耐受电流最大值可达到主回路的额定短时耐受电流的87%。对于3~35kV系统,一般为中性点非直接接地系统,根据此要求可以计算出各种系统短路容量下的高压开关柜接地母线的最小截面积。
GB3906-2006 《3.6~40.5kV交流金属封闭开关设备和控制设备》第5.3.2节规定:如果接地导体是铜质的,则在规定的接地故障条件下,当额定短路持续时间为1s时,电流密度不超过200A/ mm2;当额定短路持续时间为3s时,电流密度不超过125A/ mm2。且其截面不得小于30 mm2。如果接地导体不是铜质的,则应满足等效的热效应要求。
在实际项目中,如果没有特殊要求,建议高压柜的接地母排按照1s的短时耐受电流考虑。
母线的电动力效应
电动力效应是指短路电流通过平行导体产生的电磁效应。母线受电流的作用力与电流、母线形状、母线间的距离有关。
3.2.1、根据额定峰值耐受电流来确定铜母线的最大跨距(即:相邻支撑件之间的最大距离)
原则:作用在母线上的作用应力kg/cm2≤母线允许应力
公式:

式中:
△js—作用于母线的作用应力,kg/cm2;
△y—母线允许最大应力,MPa;1 MPa=10 kg/cm2
当母线为铜质时取1400,当母线为铝质时取700;
L—母线支撑间距(cm);
a—相间距离(cm);
W——矩形母线截面系数(cm3),又称抗弯矩;
ich——短路冲击电流(kA)。
根据上式导出:

常见的几种母线截面系数如下:

其中:b- 母线宽度(cm),δ- 母线厚度 (cm)。
举例说明:
对于额定短时耐受电流40kA,额定峰值耐受电流100kA系统,主母线选用TMY-80×6厚度相对时,a=30cm(中置柜),则:矩形母线截面系数:W=0.167b2δ=0.167×82 ×0.6=6.4128cm3
母线最大支撑间距:
Lmax=892√(aW)/ ich =892√(30×6.4128)/100≈123.7cm=1237mm
也就是说,母线厚度相对时,KYN28A-12型产品选用TMY-80*6,理论上距离1237mm以内可不加支撑;
3.3、不需进行热效应和电动力效应的情况
根据工厂配电设计原则,下列部位的母线不需进行母线热效应和电动力效应校验:
(3)在架设对列母线桥的两台开关柜中,有一台柜中的主母线需要调整相序;另外,也可以采用母线桥内换相的方式,如下图:

(4)对于出口项目的设计,要注意出口国的母线相序的执行标准。如印度高压三相母线(A、B、C)的颜色标准分别为红色、黄色和蓝色。
七、母线的绝缘方式
在开关设备和控制设备中,为实现设备的全绝缘、全工况,减少外部短路事故和防止触电以及防止由于凝露污秽引起的爬电等事故一般在母线外部采用绝缘材料将母线裸露部分包缚。其方法主要有:
(1)热缩护套:可以提高母线间的绝缘水平,但护套有绝缘老化的问题,同时母线的散热条件也会变差,也增加了生产成本;(2)冷缩护套:操作简单,无需加热。但成本高,也有绝缘老化和母线散热条件变差的问题;(3)硫化喷涂:生产工艺过程较为复杂,当出现碰伤后无法补救,母线的连接处不能作喷涂处理;
(4)SF6气体绝缘:在密封的主母线室和断路器室中充以0.04MPa的SF6气体,可以提高母线间的绝缘性能;主母线在全寿命周期内不用检修和维护,也不受外界环境的影响,安全可靠性高.但生产工艺过程较复杂,是目前GIS充气柜主要的绝缘方式;
(5)加装隔板:当相间或相对地间净距达不到安全距离时,可在相间或与地间加装绝缘隔板。按国标要求,SMC绝缘隔板与带电体的最小距离要求是:10kV开关柜≮30mm。
4.3、母线应用的注意事项
(1)根据GB3906-2006规定,开关设备和控制设备中母线的载流量最小应比额定电流有10%的裕度。(2)同等截面积尽量选择母线宽度比较大的型号,如能选择TMY-80×6的不选择TMY-60×8的,主要是利于散热。只有当电气间隙满足不了国家标准要求时,才可在保证截面不变的情况下减小母线宽度,如将原选择的TMY-80×6改为TMY-60×8。
(3)当开关设备和控制设备的运行环境温度比规定温度略高时,要充分考虑母线的载流量裕量是否充足。 GB311.1-1997《高压输变电设备的绝缘配合》中规定: 高于40℃时额定绝缘电压应乘以温度校正系数Kt=1+0.0033(T-40),一般环境温度每增加3℃,试验电压提高3%;环境温度每增加1℃,额定电流应减少1.8%。 (4)两段母线之间的联络母线是主母线的一部分,同样隔离手车上的母线也应视为主母线的一部分。
(5)尽量避免两根母线之间没有空气间隙并在一起,应保持不小于母线厚度的间隙。
(6)额定电流在1500A及以上的母线通过套管或母线护套等穿越金属隔板时,周围不应形成闭合磁路。这是由于电流可以在导磁材料产生涡流和磁滞损耗而产生热量。一般情况下,应在所穿越的金属上开切断磁路的防涡流缺口;当额定电流大于1500A时应考虑采用不导磁材料,如:无磁不锈钢板或者硬铝板。
1、高海拔对开关设备的影响
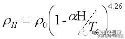
1)高海拔地区的主要特征是大气压力和空气密度的降低。在此首先对低气压下的一些物理机理进行简单分析。根据气体状态方式求得空气密度与海拔高度的关系为:

式中:
ρH —海拔高度为H 时的空气密度;
ρ0 —标准状态下空气密度,海平面在摄氏零度气温条件下的空气密度是1292g/m3;
H —海拔高度(m);
Τ0 —绝对温度,为273K;
α—空气温度梯度,约为0.0065K/m。
通过上述方程式,计算出的结果见表 1

从表 1 中可以看出,海拔高度每升高1000m,相对大气压大约降低约12%,空气密度降低约10%,绝对湿度随海拔高度的升高而降低。另外,随着海拔高度的升高,空气温度也在降低,每升高1000m,温度降低6.5K。空气密度降低后对中压电器产品带来的直接影响表现在两个方面;一是空气稀薄后在电场中更容易发生电离,从而导致绝缘性能的下降;二是空气稀薄后对流散热能力下降导致载流体载流能力的下降。
2)高海拔地区要求对电器产品的工频耐压和雷电冲击耐压进行修正、对空气绝缘距离进行修正、对绝缘件的爬距进行修正、对载流体的载流量进行修正。
①关于工频耐压和雷电冲击耐压的修正,根据GB/T 20626.1-2006《特殊环境条件高原电工电子产品第1 部分:通用技术要求》中规定,修正系数见下表:

②关于空气绝缘距离的修正,在DL404中规定每升高1000m,空气绝缘距离增加10%,在GB311.1 和GB50060 中也有类似的规定,在实际使用中可以按上述规定进行修正。实际上空气绝缘距离只是衡量绝缘性能的指标之一,带电体的电场优化同样是决定绝缘性能的一个非常重要的因素。
③关于爬距的修正,目前国标里对此没有明确的规定,但在实际使用时,高海拔情况下必须对爬距进行修正。通过反复试验验证,发现海拔每升高100m,爬距增加1%。比如额定电压为40.5kV 的绝缘件在二级污秽情况下表面爬距应大于810mm,那么在海拔2000m 时,其表面爬距应大于891mm,依次类推。
④关于高海拔条件*载下**流体的降容问题,要考虑每升高1000m 气温降低约6.5K,同时考虑大气密度降低引起的对流散热能力的下降,另外还和设备内的风道设计密切相关,在设计时要综合考虑。
2、高污秽环境对电气设备的影响
高污秽环境下需重点考虑产品设备耐腐蚀、耐潮湿、耐盐雾的问题,主要体现在两个方面:
(1)整个电气回路(一次、二次)和铜排连接的腐蚀;
(2)电气元件、结构零件的腐蚀;
针对以上两种不同环境因素对设备造成的影响,高、低压成套开关设备设计和制造时需注意以下几点:
(1)电气元件的选型:需选择为高海拔、高污秽环境专门研制的专用电气设备。
(2)主回路的布置:电气间隙和爬电距离必须按照高海拔的修正系数进行修正。