聚丙烯/石墨烯纳米板复合材料 张煜杰学习翻译

聚丙烯/石墨烯纳米板复合材料的光氧化
M.C. Mistretta, L. Botta, A.D. Vinci, M. Ceraulo, F.P. La Mantia*
引言
石
墨烯纳米过滤器可以获得聚合物基体中不存在的具有独特性能的纳米复合材料,或者根据特定应用调整某些性能[1E9]。石墨烯纳米板(GNP)是单个石墨层的短叠层,即使含量低,也会严重影响热塑性基体的许多性能[10,11]。通过添加GNP,也就是在较低浓度(<5 wt.%)下,聚合物基体的机械、耐热性、热学和电学性能可以得到令人惊讶的改进,这主要归功于这种聚合物的特殊大表面积[10e18]。当然,这些纳米颗粒对聚合物纳米复合材料性能的影响主要受到加工过程中良好分散性和基体中过滤器良好分布的影响。此外,尽管表面面积很大,但与聚合物基体的不相容性不允许获得预期的基体增强力,特别是两相之间的粘合力差。聚丙烯(PP)是一种广泛应用于各种民用和工业用途的商品塑料,其制造成本低性能多样[19,20]。然而,在聚丙烯中加入抗氧化剂、光稳定剂和热稳定剂等商业添加剂通常是必不可少的。延长其使用寿命并扩展其应用[21]。此外,纳米粒子的存在可能会影响PP的光氧化动力学[22E27]。

聚丙烯/国产总值纳米复合材料的TEM显微照片:a)PP0.5;b)PP1;c)PP2。

.PP0.5(A),PP1(B),PP2(C)的扫描电镜观察


石墨烯纳米血小板的存在提高了聚丙烯基体的刚性,显著改善了聚丙烯的光氧化行为。这个特性对所有其他人来说都是共同的。如碳黑和碳纳米管等碳质物质,可归因于国民生产总值的紫外吸收能力和自由基清除作用。在被调查范围内,国民生产总值的存在效应随着其浓度的增加而增加。断裂伸长率达到初始值的一半的时间,实际上是从纯矩阵的16.5h增加到纳米复合材料为国产总值的2%,60h。这一效应已被解释为更大的暴露表面,而不仅仅是这最后一个样本相对于其他样本的颗粒大小。e显示出较小的国产总值,但也较低的国民生产总值集中。
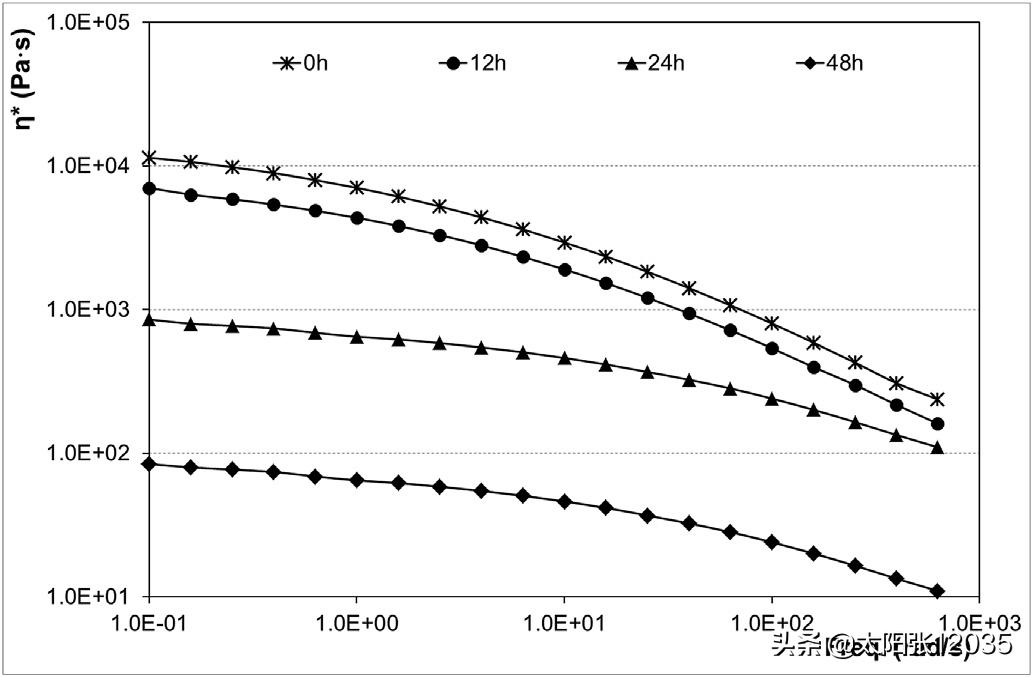
复合粘度随未辐照和辐照PP频率的变化 复合粘度随未辐照和辐照PP1频率的变化

断裂伸长率达到其初始值的一半作为GNP含量的函数的时间