
在前几期推送中,我们教了大家如何用物理方法测出女友体重。该文章广受好评,大家都表示非常实用,就差一个女朋友了。
很快针锋相对的事情来了,很多女生向我反映了一个让她们苦恼不已的问题:如何测出男生的真实身高?
的确,男生常常会隐瞒身高,173敢报178,175就敢报183,这对女生造成了很大的困扰。那么今天我就教大家如何用数理方法巧妙测出男生的身高。
我们有幸邀请到了一位身高不明的男生参与实验。

一听说要测身高,他果断地踮脚了
一、二分法
一般来说,男生的身高被人说低了就会生气,高了就会得意。我们以此为判断标准,就能利用二分法逐步缩小身高范围,找出真实身高。
普通男生的身高通常在0到3m之间,我们从1.5m开始猜测。
首先请实验人员保持冷静,然后不经意间面带微笑地问他:“你身高一米五吗?”

他骂我,可见一米五偏低了。接着在1.5m和3m之间二分,(1.5+3)/2=2.25,直接问他:“你身高两米二五吗?”

此时表情欠打,可见两米二五偏高了。接着在1.5m和2.25m之间,我们持续逼问

持续无穷次之后,我们就会无限逼近他的真实身高,让他笑不出来

他愣在原地了!看来被我们说中了!他就是175!
这个方法虽然简便好用,但对男生的脸皮厚度有极高要求,遇到脸皮厚的人方法就会失效。
二、自拍法
自拍法在数学上拥有朴素而深厚的底蕴:
他的身高=我的身高+我俩的身高差
人都知道自己的身高,下面只要知道俩人的身高差就可以算了。
首先,不经意间邀请男生自拍,待两人笔直站立后拍下照片。

为了视觉效果,我故意蹲下了
实际上身高没差这么多,大家不要当真
自拍中我刚好到男生的脖子,那下面只要知道男生脑袋有多长,加一下就出来了。
男生会隐瞒身高,但是不会想到隐瞒自己脑袋有多长,因此很容易就可以问出来或者直接量出来。

比方说我一米五(只是打个比方,实际上我有183),加上这个差值25cm,就知道男生身高为175!
考虑到脖子和下巴有一定重合,实验数据会有误差,大家在操作中要注意,尤其是对于有双下巴的人。
三、亮剑法
此方法灵感来源于《亮剑》。炮手王承柱同志竖起大拇指点了个赞,就确定出敌方位置,一炮干掉坂田的指挥部。

这都不是瞎编的。军事领域中这叫跳眼法:根据两瞳孔的间隔约为自己臂长的十分之一,将测得实地物体的宽度乘以10,就能得出目标点有多远。
回到我们的身高上来,虽然不用开炮,但思路是一致的。
只要伸直手臂、竖起大拇指,当视线中拇指和远*男处**生一样高时,根据相似三角形原理,就能算出男生身高。

首先夸男生帅,为他点赞,使其放松警惕。

随后保持点赞姿势,不经意间向后退,直到人与拇指高度重合。

此时站着不动,量出俩人之间的距离、我的臂长、大拇指高度,就能计算出男生身高。

算出男生高度145.8cm,感觉偏低了……而且亮剑法的难点在于,需要一个第三者帮忙测量俩人的距离,此时很容易被对方发现从而拒绝配合。不推荐这种方法。
四、自由落体法
我们在小学二年级的时候就学过,物体自由落体的时间只和下落高度有关。

那么,只要有一个物体从男生头顶往下自由落体,测出下落时间,就能求出高度。
首先邀请男生过来站着,不经意间在他头顶放一块砖。

然后用尽全力踹他一脚,砖会做自由落体运动。

与此同时,顺手拿出秒表,记录球的落地时间t=0.65 s

套用自由落体计算公式,即可求得男生身高
h=1/2*9.8*0.65^2=2.07 米
可以看出,这个方法误差奇大,把普通人直接算成姚明。这可能是因为我脚力不够大,以及计时不够准确。而且像我一样用砖头做实验可能会有风险。

五、蒙特卡罗法
我们在小学三年级就学过蒙特卡罗法,它是一种通过随机实验计算来确定概率的方法。理论稍微有点复杂,我就直接给大家看简单的实验方案了。
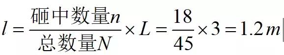
首先,选定一段长3m的区域,然后向男生表明自己是正人君子,不经意间邀请他躺在地上

接下来就是拿东西砸他。注意砸的时候,这3m的区域内都要随机地砸,保持莫得感情。实验中我们扔了45样东西。
男生被砸中时必然会惨叫,记录下他“啊”的次数,即为我们砸中他的次数。实验中,他叫了18次。

在3m的区域内随机扔了45次,砸中了18次,那么通过概率就能算出男生的身高

本方法的理论非常严谨,但实际操作中往往无法做到随机扔石头,导致被测男生受伤严重。好在我还有更简单粗暴的方法。
六、单摆法
我们在小学四年级就学过,单摆的摆动周期只与摆长有关。只要将男生做成个单摆,摆起来之后测量他的摆动周期,就能求得身高。
实验的关键在于,如何把一个大活人做成单摆呢?
只要不经意间绑架了他然后倒挂起来就可以了。

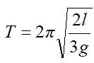
沿着一个方向轻轻摆动他,让他做单摆运动,记录60次摆动所用的时间,取平均算出摆动周期T=1.8 s。

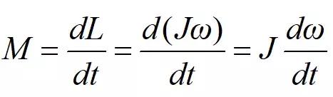
这个模型不是简单的单摆,我们将男生简化一根摆动的有质量的杆,在物理学上称为复摆。
由角动量定理,力矩等于角动量的时间导数

代入模型可得

小角摆动时有

,故简谐运动方程为

易得摆动周期为

AMAZING!我们已经测出了男生的摆动周期为1.8 s,代入公式就能求出男生的身高!

经过严密的实验和计算,男生的身高就是一米二。
此方法理论复杂,趣味性强,还有较好的锻炼效果,是本文最重点推荐的一种方法。
结 语
本文运用了六种不同复杂程度的数理方法测量了男生的身高。遗憾的是,在第六种方法中,那个男生不小心从单杠上掉下来了……
所以现在虽然我们用六种方法算出了他的身高,但是身高对他来说,已经没有意义了……

人生在世,最重要的是诚信,我觉得男生隐瞒自己身高挺没意思的。在此我呼吁男生以后都报自己真实身高。
我先来,我183。