
NASA在1998年研究曲速引擎时的示意图 图片来源:NASA
曲速、曲率、折跃引擎,不论名字是什么,总之就是科幻作品中,通过对空间进行弯折操作,进而实现亚光速或超光速运动的科幻技术。但实际上,曲速引擎(warp drive)并不是毫无根据幻想的产物,而是从上个世纪起,就有物理学家在认真研究的东西。最近,一篇发表在《经典和量子引力》(Classical and Quantum Gravity)上的论文,修复了之前理论模型中违反物理学的缺陷。根据这项研究,只要我们具有将行星质量压缩到飞船那么大的技术,就可以制造真正的曲速引擎。
常规的飞行器通过物质反推进行加速,如果要通过这种推进方式在较短时间内接近光速,其加速度对于人类乘客来说,根本无法承受。例如在《三体》这类科幻作品中, 为了缓解加速带来的影响,甚至需要用“深海加速液”保护船员 ,否则船员只能变成与“水滴”遭遇战时,匆忙进入前进四状态的战舰中那些晶莹剔透,骨肉分层的“血色红宝石”。
更何况,用物质反推获得动能,这一推进方式本身就受到质能方程极大的限制。即使将飞船的三分之一质量作为载荷,三分之一质量作为工质(为满足动量守恒),三分之一质量完全转化为动能,载荷也不过只能达到75%光速左右。这还是能量转化率100%的状况,实际上能达到的速度要远低于这些假设。
就算仅仅是为了满足对星辰大海的向往,我们也急需一款能脱离加速度负面效应束缚,最好还能打破光速限制的引擎。于是,这种能通过对空间进行弯折操作而实现亚光速或超光速飞行的曲速引擎,便成了科幻作品中的基础设定之一。
当然,科幻与魔幻之间最大的区别,就是前者有一定的科学基础,曲率引擎也是如此。几十年来物理学家一直在研究这种看上去像是魔法的技术,但它对“负能量”的需求一度让它看上去在物理学上不可能实现。直到最近,一篇发表在《经典和量子引力》上的论文改变了这一局面:他们提出, 可以在牺牲“超光速”这一特性后,换来完全符合现有物理定律的曲速引擎。 尽管距离造出真正的曲速引擎依旧遥远,但这个源自科幻的设想已经拥有了理论基础。
科幻“指导”科研
在介绍最新版的曲率引擎之前,我们先回顾一下科幻作品中曲率引擎的设定。
在《三体》中,韦德带领下开发出的曲率引擎,是通过改变飞船后方区域的光速,利用空间“表面张力”的差异来实现近光速飞行。但是设定中引擎只能将后方的光速降低,不能将前方的光速升高,也就只能以亚光速飞行。而其加速后留下的低光速区域,甚至可以作为高级宇宙文明战争中的防御手段。
而《星际迷航》中的曲速引擎,则是扭曲了飞船周围的空间,形成了一个包裹飞船的“曲速泡”。飞船前方的空间被压缩,后方的空间被拉伸,这样飞船本身就算没有相对其所在空间运动,也会被所在空间裹挟着以亚光速或超光速前行。
用一种不太严谨的理解方式, 《三体》中的曲率引擎是仅有后半段的“半成品”;而《星际迷航》中利用曲速泡的曲速引擎则是可以超光速的“完整版”。
回顾这些设定并非毫无意义,其实, 正是《星际迷航》小说中的曲速引擎启发了米格尔·阿尔库维雷(Miguel Alcubierre) ,让他在1994年发表了名为《曲速引擎:广义相对论内的超光速航行》( The warp drive: hyper-fast travel within general relativity )的论文。后来,物理学上这类曲速引擎,也都被称为阿尔库维雷引擎(Alcubierre drive)。

曲速泡示意图 图片来源:Wikipedia
直到今天,物理学家研究的曲速引擎,也都和《星际迷航》中的曲速引擎颇为相似。都是用扭曲的时空将飞船包裹起来,而扭曲时空的内部是乘客区域,外部是正常空间,都是平直时空。可以说,它就是一个“曲速泡”。前方空间收缩,后方空间膨胀,带动飞船所在空间向前运动。因为运动的是空间本身,所以可以无视广义相对论中光速限制,实现超光速。
理论迭代
虽然阿尔库维雷引擎直到今天都没有被造出来,但它的理论已经迭代了好几代。
1994年阿尔库维雷提出的曲速泡模型到今天依然适用, 但是为了满足扭曲空间所需要的条件,它需要让能量密度为负 。除了负能量本身听上去就不靠谱之外,这个模型所需的负能量绝对值大得恐怖。相当于一个太阳质量那么大的负能量,也仅能产生米级的曲速泡而已。更何况,目前理论框架中,根本不存在能可靠控制如此大量负能量的物质。
现有理论中并没有产生负能量的方法。 在当初发表的论文中,阿尔库维雷声称两个平行板之间产生的卡西米尔效应(Casimir effect)可以满足阿尔库维雷引擎的负能量需求。 这种效应是在真空中,两块相距很近的板之间会因为零点真空能的涨落产生一定的引力,这个过程中的真空能涨落,的确可能导致负能量密度的出现。

卡西米尔效应示例 图片来源:Wikipedia
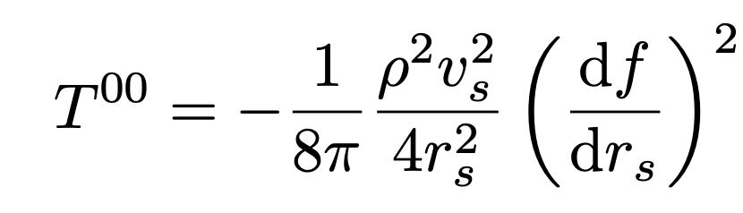
但要满足阿尔库维雷引擎的要求,还必须将曲速泡的尺度控制在普朗克尺度的量级上。普朗克尺度是极小的尺度,根据曲率引擎所需的能量密度公式,与曲速泡尺度相关的 rs 项处于分子上,旁边的导数也直接受到 曲速泡 尺度的影响,在曲速泡变小时急剧增大。最终这个曲速泡要求的能量足以和整个宇宙所含能量比肩——更何况,还是负能量。

曲速引擎所需要的能量密度公式,一定为负
1999年,范登·布罗克(Van Den Broeck)对阿尔库维雷引擎做出了一些改善。在他手下,阿尔库维雷引擎产生的曲速泡在外部看来只有 10-15m 量级,内部却依然保持着米级的尺度。然而, 它要求引力定律在这样短的距离上仍然生效,而引力从来没有在这个尺度上被检验过。 同时,它也只是对阿尔库维雷引擎做出了一些坐标转换,本质上和阿尔库维雷引擎还是等价的。
2002年纳塔里奥(Jose Natario)设计了一种全新的曲速引擎,和阿尔库维雷引擎不同,它不需要对时空进行压缩或拉伸,而且比阿尔库维雷引擎变化更快。但就算他2006年对这个模型进行了升级修改,但也还需要负能量。
先不论比整个宇宙还多的能量如何才能获得,单单负能量这个属性就让人让人无从下手。就算是理论上,人类也无法持续稳定获得负能量。不过事情终于在2020年出现了一丝转机,埃里克·W.伦茨(Erik W. Lentz)提出了一种无需负能量的曲速引擎,不过没有说明如何制造这样的引擎。直到今年,最新论文终于提出了制造曲率引擎的思路,并且证明了对海量负能量的需求,仅仅是阿尔库维雷引擎的需求,并不是对曲速引擎本身的限制。
合乎物理的曲速引擎
在近日亚历克赛·博布里克(Alexey Bobrick)和詹尼·马尔蒂雷(Gianni Martire)发表的论文中,他们介绍了一种新的曲速引擎模型。这个模型依然需要压缩前方的空间,让后方的空间膨胀。在这个过程中会像以前一样遇到负能量的问题,而一个巨大的引力场就能避免这样的问题。 根据他们的说法,“仅”需要将相当于一颗行星的质量可控地压缩到一艘飞船那么大,就能有效利用其引力效应,避免对负能量密度的需求。
这一切当然都是有代价的, 他们构建的轴对称曲速引擎模型(axisymmetric warp drives)只有在亚光速限制下才能避免负能量密度的限制。 本质上,新的曲速引擎仅仅是给以前的阿尔库维雷引擎打了一个引力的补丁。即使是强大的引力,也无法抵消超光速时对负能量密度的需求。不过也正是因为完全亚光速,超光速从理论上带给我们的种种麻烦也都一并消除了。
当然,目前人类还没有任何实现这种技术的可能,但至少,这个模型中对引力场的需求还不算过分离谱。将行星级质量压缩到飞船大小(米量级),这样的密度其实在宇宙中也算不上离谱——将地球压缩成黑洞时,黑洞的半径大约是一厘米。而要将地球压缩到典型的中子星密度,其实也就稍大一些。(当然,根据目前的理论,中子星的半径会随着质量的增大而减小,而地球质量不可能自然形成中子星,这里仅取其经典密度类比。)当然,这个密度还是比白矮星高多了,白矮星的典型密度“仅”有每立方厘米一吨,距离模型中的需求还有不少距离。
可能你会觉得既然曲速引擎不能超光速,那我们又何必去研究它呢?即使它不能超光速飞行,曲速引擎加速过程中成员不会受到加速度的影响,因此可以以很高的加速度进行机动。实际上,就算是在地球上,限制现代战斗机机动能力的其实并不是引擎动力,而是人类飞行员对加速度的承受能力。
当然,如果人类能革新目前的物理学定律,找到产生负能量的方式,或是与其相伴的“异常物质”(exotic matter),超光速飞行还是有可能实现的。 但根据现有的物理学定律,我们只能实现亚光速飞行的曲速引擎。
当然,20多年来这一系列研究对于目前的人类来说,没有任何使用价值。但就像乔治·马洛里(George Mallory)在被问及为何要攀登珠峰时说的: “因为它就在那儿。”(Because it's there.) 更何况,曲速引擎听上去就很酷。
撰文:王昱
审校:吴非
参考链接:
https://iopscience.iop.org/article/10.1088/1361-6382/abdf6e
https://arxiv.org/abs/gr-qc/0009013
https://phys.org/news/2021-03-potential-real-physical-warp.html
https://en.wikipedia.org/wiki/Alcubierre_drive