作者丨Rocky Ding
来源丨WeThinkIn
编辑丨极市平台
写在前面
大家好,我是Rocky。近年来YOLO系列层出不穷,更新不断,已经到v7版本。Rocky认为不能简单用版本高低来评判一个系列的效果好坏,YOLOv1-v7不同版本各有特色,在不同场景,不同上下游环境,不同资源支持的情况下,如何从容选择使用哪个版本,甚至使用哪个特定部分,都需要我们对YOLOv1-v7有一个全面的认识。故Rocky将YOLO系列每个版本都表示成下图中的五个部分,逐一进行解析,并将每个部分带入业务侧,竞赛侧,研究侧进行延伸思考,探索更多可能性。【Make YOLO Great Again】YOLOv1-v7全系列大解析(Neck篇)已经发布,大家可按需取用~而本文将聚焦于Head侧的分享,希望能让江湖中的英雄豪杰获益,也希望大家提出宝贵的建议与观点,让这个栏目更加繁荣。

So,enjoy:
干货篇
----【目录先行】----
- YOLO系列中Head结构的由来以及作用
- YOLOv1 Head侧解析
- YOLOv2 Head侧解析
- YOLOv3 Head侧解析
- YOLOv4-v7 Head侧解析(未完待续)
【一】YOLO系列中Head结构的由来以及作用
YOLO系列中的Head侧主要包含了 Head检测头,损失函数部分以及Head侧的优化策略 。
Head检测头体现了YOLO系列“简洁美”的思想,与two-stage检测算法相比,YOLO取消了RPN模块,设计了特征提取网络+检测头的end-to-end整体逻辑,其对工程的友好特性让工业界顿时开满“YOLO花”。
YOLO系列的损失函数部分可谓是目标检测领域中的“掌上明珠”,其在业务侧,竞赛侧和研究侧都有很强的迁移价值。

two-stage检测算法简明逻辑
【Rocky的延伸思考】
- 业务侧:YOLO系列的Head侧中,不管是Head检测头,损失函数部分以及Head侧的优化策略,其在业务侧都可以作为baseline进行迁移使用。
- 竞赛侧:YOLO系列的Head侧在目标检测竞赛中可以说时入场必选结构,能极大程度上缩短竞赛初期的熟悉适应成本。
- 研究侧:YOLO系列的Head侧具备作为baseline的价值,不管是进行拓展研究还是单纯学习思想,这个算法都是不错的选择。
【二】YOLOv1 Head侧解析
YOLOv1作为YOLO系列的开山鼻祖,其Head侧整体逻辑比较直观,并且对后续的版本影响深远。

YOLOv1 Head侧

YOLOv1整体结构
YOLOv1中,图片被划分为7×7的网格(grid cell),每个网络在Head侧进行独立检测。
YOLOv1在Inference过程中并不是把每个单独的网格作为输入,网格只是用于物体ground truth中心点位置的分配,如果一个物体的ground truth中心点坐标在一个grid cell中,那么就认为这个grid cell就是包含这个物体,这个物体的预测就由该grid cell负责。而不是对图片进行切片,并不会让网格的视野受限且只有局部特征。
YOLOv1的输出是一个 7×7×30 的张量, 7×7 表示把输入图片划分成 7×7 的网格, 每一个网格的通道维度等于 30=(2×5+20), 代表YOLOv1中每个网格能预测 2 个框, 每个框能预测 5 个参数 (x,y,w,h,C) 再加上 20 个种类。
把上述内容转换成通用公式就是网格一共是 S×S 个, 每个网格产生 B 个检测框, 每个检测框会经过网络最终得到相应的bounding box。最终会得到 S×S×B 个bounding box, 每个bounding box都包含5个预测值, 分别是bounding box的中心坐标 x,y, bounding box 的宽高 w,h 和置信度 C 。其中 C 代表网格中box能与物体的取得的最大IOU值。
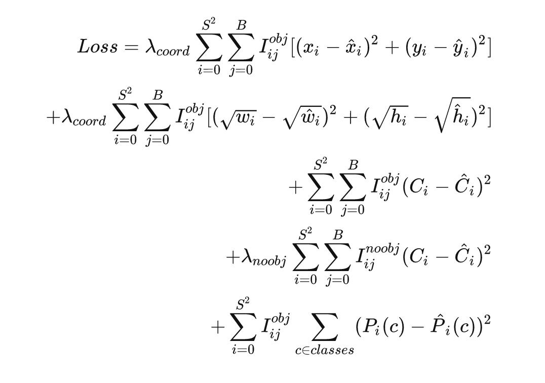
铺垫了这么多变量表示,到这里终于可以引出对工业界产生深远影响的 YOLOv1的损失函数 ,YOLO系列的后续版本的损失函数都是从这个最初的形式优化而来。

乍一看YOLOv1的损失函数十分复杂,don't worry,接下来Rocky将进行详细分析。
整体上来看,YOLOv1的损失函数可以分为检测框的回归损失,置信度误差损失以及分类误差损失。


到这里,YOLOv1损失函数的解析就告一段落了。接下来我们看一下 YOLOv1Head侧的优化策略:
- 使用NMS算法,过滤掉一些重叠的检测框。
- 同一网格中的不同检测框有不同作用,也就是置信度误差损失的设计逻辑,这样可以增加召回率
- Inference时使用 P×C 作为输出置信度。使用物体的类别预测最大值 P 乘以最合适的 预测框 C, 这样也可以过滤掉一些大部分重叠的检测框, 同时考虑了检测框与类别让输 出更加可信。

Inference时使用 作为输出置信度
YOLOv1的缺陷:
- 由于YOLOv1每个网格的检测框只有2个,对于密集型目标检测和小物体检测都不能很好适用。
- Inference时,当同一类物体出现的不常见的长宽比时泛化能力偏弱。
- 由于损失函数的问题,定位误差是影响检测效果的主要原因,尤其是大小物体的处理上,还有待加强。
【Rocky的延伸思考】
- 业务侧:YOLOv1 Head侧经过时间的考验与沉淀,非常适合作为简单业务的入场baseline部分模块进行搭建。
- 竞赛侧:YOLOv1 Head架构坦率来说在竞赛中已不具备竞争力,但作为baseline入场模型也未尝不可。
- 研究侧:YOLOv1 Head架构可谓是YOLO系列的开山鼻祖,给后续系列搭建了baseline,不管是入门学习还是进行扩展研究,都是非常有价值的。
【三】YOLOv2 Head侧解析
YOLOv2的Head侧在YOLOv1的基础上进行了 网络结构和损失函数的改进,并且大名鼎鼎的anchor box也在此引入 。

passthrough layer结构
YOLOv2在YOLOv1的基础上去掉了最后的全连接层,采用了卷积和anchor boxes来预测检测框。由于使用卷积对特征图进行下采样会使很多细粒度特征(Fine-Grained Features)的损失,导致小物体的识别效果不佳。故在YOLOv2Head侧中引入了passthrough layer结构,将特征图一分为四,并进行concat操作,保存了珍贵的细粒度特征。
刚才提到了YOLOv2使用卷积和anchor box来输出检测框,那么到底 anchor box机制 是怎么样的呢?
YOLOv1中每个网格预测两个检测框,并让最合适的检测框向ground truth框进行回归修正。在YOLOv2中,Head侧不对检测框的宽高进行直接硬回归,而是将检测框与Anchor框的偏差(offset)进行回归,并且每个网格指定 个anchor box。在训练时,只有最接近ground truth的检测框进行损失的计算。在引入anchor box后,mAP由69.5下降至69.2,原因在于每个网格预测的物体变多之后,召回率大幅上升,准确率有所下降,总体mAP略有下降。

Dimension Clusters
在引入anchor box之后, 又使用了Dimension Clusters操作, 使得anchor box的宽高由聚类 算法产生。没错, 就是K-means算法-(K-NN算法) 。使用K-means算法获得anchor box的 具体细节可以在我之前的文章【三年面试五年模拟】算法工程师的独孤九剑秘籍(第七 式) 中取用。YOLOv2Head侧输出的feature map大小为 13×13, 每个grid cell设置了 5 个 anchor box预测得到 5 个检测框, 一共有 13×13×5=845 个检测框, 与YOLOv 1 相比大大提高目标的定位准确率。
优化了 anchor box预设置后, YOLOv2设计了Direct location prediction操作来支持检测框与Anchor框的偏差 (offset) 回归逻辑。与YOLOv1相比, YOLOv2中每个检测框输出5个偏差参数 (tx,ty,tw,th,to), 为了将预测框的中心点约束在当前grid cell中, 使用sigmoid函数 σ(⋅) 将 tx 和 ty 归一化处理, 将值约束在 [0,1] 之间, 这使得模型训练更稳定。

Direct location prediction整体逻辑
其中 Pw 和 Ph 代表anchor box的宽高, cx 和 cy 代表grid cell左上角相对于feature map左上角的距离。
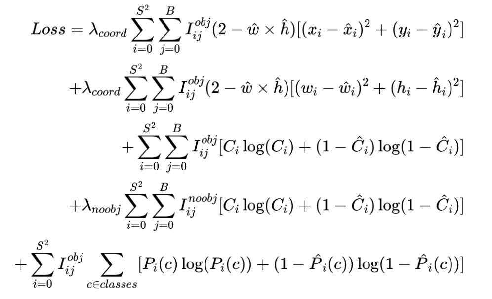
讲完了网络结构的改进和anchor box,接下来就是 损失函数的改进了 :

【Rocky的延伸思考】
- 业务侧:YOLOv2 Head侧完全可以作为baseline模型的一部分进行业务开展。
- 竞赛侧:YOLOv2 Head侧中的anchor box机制,Dimension Clusters以及Direct location prediction优化方法可以作为竞赛侧的提分策略。
- 研究侧:YOLOv2 Head侧网络架构以及损失函数具备作为baseline的价值,不管是进行拓展研究还是单纯学习思想。
【四】YOLOv3 Head侧解析
YOLOv3Head侧在YOLOv2的基础上 引入了多尺度检测逻辑和多标签分类思想,优化了损失函数 。

YOLOv3在Neck侧的基础上顺势而为融合了3个尺度,在多个尺度的融合特征图上分别独立做检测。再将Anchor Box由5个增加至9个,每个尺度下分配3个Anchor Box,最终对于小目标的检测效果提升明显。并且多尺度+9anchor box让YOLOv3的整体检测性能达到了一个比较从容的level。
再说多标签分类思想,我大受震撼。首先什么是多标签分类呢?我们先对几种常见的分类逻辑做一个对比:
- 二分类(Two-Class Classification)问题,是最简单的分类问题,比如一个任务中只有猫和狗,每个样本中也只有其中的一类。
- 单标签多分类(Multi-Class Classification)问题,指一个样本(一个图片或者一个检测框)有一个标签,但总共的类别数是大于两类的。目标检测中针对每个检测框的分类是多分类问题。在深度学习中,使用softmax是最常用的解决方案。
- 多标签多分类(Multi-Label Classification)问题,指一个样本(一个图片或者一个检测框)中含有多个物体或者多个label。在深度学习中,使用多个Logistic输出是一种性价比很高的做法。
YOLOv3将YOLOv2的单标签分类改进为多标签分类,Head侧将用于单标签分类的Softmax分类器改成多个独立的用于多标签分类的Logistic分类器,取消了类别之间的互斥,可以使网络更加灵活。YOLOv2使用Softmax分类器,认为一个检测框只属于一个类别,每个检测框分配到概率最大的类别。但实际场景中一个检测框可能含有多个物体或者有重叠的类别标签。Logistic分类器主要用到Sigmoid函数,可以将输入约束在0到1的范围内,当一张图像经过特征提取后的某一检测框类别置信度经过sigmoid函数约束后如果大于设定的阈值,就表示该检测框负责的物体属于该类别。
YOLOv3的 损失函数 在YOLOv2的基础上进行了改进:

YOLOv3中置信度误差损失和分类误差损失都使用交叉熵来表示。
【Rocky的延伸思考】
- 业务侧:YOLOv3 Head侧在工程中非常稳定,且究竟工程与时间的考验,可以作为业务baseline模型的首选。
- 竞赛侧:YOLOv3 Head侧在竞赛中的地位和业务侧同理。
- 研究侧:YOLOv3 Head侧作为穿越v1和v2的周期优化而来的结构,值得进行学习和研究。
【五】YOLOv4 Head侧解析
YOLOv4的Head侧沿用了YOLOv3的整体架构, 并引入了CIOU Loss和DIOU NMS来提升Head侧的整体性能 。

在YOLOv3中,使用MSE(均方误差)损失函数对检测框的中心点以及宽高坐标进行优化。在MSE损失函数的逻辑中,将检测框的中心点和宽高坐标作为独立的变量对待,但是实际上他们之间是有关联的。所以一个直观的解决方案是使用IOU损失代替MSE损失。
YOLOv4论文中依次提到了IOU Loss,GIOU Loss,DIOU Loss以及CIOU Loss。其中IOU Loss是其他Loss的基石,也最为简单,公式如下:

其中 A 代表检测框, B 代表ground truth, IOU 代表两者的交并比。
IOU Loss思想简洁明了,但存在两个问题:
- 当检测框和ground truth不相交时,会使IOU=0,从而无法反应两个框距离的远近,进而导致IOU Loss不可导。
- 当两个检测框大小相同,IOU也相同时,IOU Loss无法区分两者位置的差异。

IOU Loss问题示意图
而GIOU Loss能改进这些问题,其在检测框与ground truth之外映射一个最小外接矩形来缓解IOU Loss存在的问题,其公式和图解如下:

其中C代表最小外接矩形,最后一项代表使用差集来进行约束与惩罚。

GIOU Loss图解
但出现上图右侧的情况时,GIOU Loss被打回原形。
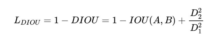
DIOU Loss在GIOU Loss基础上提出了中心点距离的概念,来改进GIOU Loss被打回原形的问题。

DIOU Loss图解
对ground truth和检测框的中心点进行度量,引入位置信息的同时加快了损失函数的收敛,其公式如下:

但是DIOU Loss仍存在检测框长宽比带来的新问题:

DIOU Loss问题示意图
最后,就是YOLOv4中使用的CIOU Loss登场了。CIOU Loss在DIOU Loss的基础上考虑了检测框长宽比的因素,将检测框回归损失的三大逻辑:重叠面积、中心点距离,长宽比进行了有效整合,其公式如下:

在使用了CIOU Loss之后,YOLOv4的整体损失函数如下所示:

介绍完YOLOv4的CIOU Loss以及整体损失函数,接下来我们来介绍YOLOv4对NMS操作的优化。
YOLOv4改进了YOLOv1-v3中使用的传统NMS操作,使用了DIOU思想计算“IOU”值,进一步优化了后处理效果。CIOU思想在训练中有很大作用,但是在Inference过程中,并没有ground truth的信息,所以使用DIOU足矣,且能减少计算量。
【Rocky的延伸思考】
- 业务侧:YOLOv4 Head侧提出的CIOU Loss和DIOU NMS可以作为工程基线模型的首选。
- 竞赛侧:YOLOv4 Head侧提出的CIOU Loss和DIOU NMS在竞赛中的依旧是提分利器。
- 研究侧:YOLOv4 Head侧具备作为研究Baseline的价值。
【六】YOLOv5 Head侧解析
YOLOv5的Head侧在YOLOv4的基础上 引入了Auto Learning Bounding Box Anchors(自适应anchor box)和邻域正负样本分配策略 。

YOLOv5的anchor box是自适应于训练数据的,会根据不同的训练数据自动学习适配相应的anchor box。代码中具体的对应函数是check_anchor函数。
由于增加高质量正样本检测框可以显著加速收敛,故YOLOv5设计了相应的邻域正负样本分配策略,其主要流程如下:


YOLOv5邻域正负样本分配策略
比起yolov4中一个ground truth只能匹配一个正样本,YOLOv5能够在多个grid cell中都分配到正样本,有助于训练加速和正负样本平衡。
【Rocky的延伸思考】
- 业务侧:YOLOv5 Head侧提出的Trick与结构在业务侧有非常优良的迁移性能。
- 竞赛侧:YOLOv5 Head侧乃至整个YOLOv5模型非常适合作为竞赛入场攻坚Baseline。
- 研究侧:YOLOv5 Head侧具备作为研究Baseline的价值。
【七】YOLOx Head侧解析
YOLOx的Head侧在YOLOv5的基础上 在网络结构中引入了Decoupled Head,并使用anchor-free思想和SimOTA正负样本分配策略进行损失函数的计算与优化 。

YOLOx使用了三个Decoupled Head(解耦头),分别聚焦cls(分类信息),reg(检测框信息)和IOU(置信度信息)。常规的检测头在特征的表达与学习能力上比起Decoupled Head有所欠缺,并且Decoupled Head模块能加快模型的收敛速度。

Decoupled Head(解耦头)与常规检测头的效果对比
除此之外, YOLOx还使用anchor-free思想,比起YOLO系列中常规的anchor-based, 在 Head侧可以减少约 23 的参数。比起anchor-based方法使用先验知识设计anchor尺寸, anchor-free思想将感受野作为“anchor"信息。上述三个Decoupled Head中最上面的分支对 应着大anchor框, 中间的分支对应着中等anchor框最下面的分支对应着小anchor框。最后 的输出将这个三个分支融合成一个 85×8400 的特征向量。
接下来就是介绍YOLOx的正负样本分配策略了,我们知道目标检测场景一张图像中往往负样本占绝大多数,而正样本只是少数。为了获得更多高质量的正样本,YOLOx中设计了样本初筛+SimOTA逻辑。
在样本初筛中,有两种方法来筛选正样本:
- 根据中心点判断:找到中心点落在ground truth框中的所有anchor box。
- 根据检测框判断:以ground truth中心点作为基准,绘制一个边长为5的正方形,找到中心点落地这个正方形中的所有anchor box。
经过初筛之后,再使用SimOTA进行精细化筛选。其主要流程如下:
- 通过上面提到的样本初筛方法,获取正样本,同时获取它们的特征信息(cls,reg,IOu)。
- 计算正样本与ground truth的Reg Loss和Cls Loss,并将它们加权相加,Reg和Cls的权重为3:1。(loss aware)
- 通过每个ground truth的检测样本来确定其能分配到的高价值正样本数(Dynamic K),其逻辑是获取与当前ground truth的IOU值前10的检测框,并将它们求和并取整,计算出来的整数就作为当前ground truth的正样本数“容量”。
- 确定每个ground truth的Dynamic K个正样本,其逻辑是选取步骤2中加权Loss最小的前K个样本作为正样本。
- 共用正样本去重,其逻辑是如果一个检测框被两个及以上的ground truth认作正样本,那么再次使用加权Loss进行评判,将这个检测框分给加权Loss最小的那个ground truth,作为其独有的正样本。
YOLOv5的正负样本分配策略是基于邻域匹配,并通过跨网格匹配策略增加正样本数量,从而使得网络快速收敛,但是该方法属于静态分配方法,并不会随着网络训练的过程而调整。YOLOx使用的SimOTA能够算法动态分配正样本,进一步提高检测精度。而且比起OTA由于使用了Sinkhorn-Knopp算法导致训练时间加长,SimOTA算法使用Top-K近似策略来得到样本最佳匹配,大大加快了训练速度。
【Rocky的延伸思考】
- 业务侧:YOLOx Head侧提出的思路在业务侧有一定的落地价值。
- 竞赛侧:YOLOx Head侧的网络结构和Trick可以用于竞赛的提分。
- 研究侧:YOLOx Head侧具备作为研究Baseline的价值,Rocky也很想知道YOLOv7引入Decoupled Head会是什么样的效果。
【八】YOLOv6 Head侧解析
YOLOv6的Head侧和YOLOx一样使用Anchor-free逻辑和SimOTA标签分配策略, 并在其基础上改进了Decoupled Head(解耦检测头)结构,在损失函数中引入了SIoU边界框回归损失 。

YOLOv6依然采用了Decoupled Head结构,并对其进行了精简设计。YOLOX的检测头虽然提升了检测精度,但一定程度上增加了网络延时。YOLOv6采用Hybrid Channels策略重新设计了一个更高效的Decoupled Head结构,在维持精度的同时降低了延时,缓解了Decoupled Head中 卷积带来的额外延时开销。
为了进一步提升回归精度,YOLOv6使用了SIoU检测框回归损失函数来优化网络的学习过程。
YOLOv4中的CIoU Loss虽然考虑到检测框与ground truth之间的重叠面积、中心点距离,长宽比这三大因素,但是依然缺少了对检测框与ground truth之间方向的匹配性的考虑。SIoU Loss通过引入了所需回归之间的向量角度,重新定义了距离损失,有效降低了回归的自由度,加快网络收敛,进一步提升了回归精度。
SIOU Loss论文地址:SIoU Loss: More Powerful Learning for Bounding Box Regression[1]
【Rocky的延伸思考】
- 业务侧:YOLOv6 Head侧在业务侧可以作为实验模型。
- 竞赛侧:YOLOv6 Head侧在竞赛侧可以作为实验模型。
- 研究侧:YOLOv6 Head侧在研究侧可以作为实验模型。
【九】YOLOv7 Head侧解析
YOLOv7的Head侧使用了和YOLOv5一样的损失函数, 引入RepVGG style改造了Head网络结构,并使用了辅助头(auxiliary Head)训练以及相应的正负样本匹配策略 。

RepVGG style在训练过程中可以通过多路分支提升性能,推理可以通过结构重新参数化实现推理速度的加快。
Rocky之前也对RepVGG style思想进行迁移性实验,发现RepVGG style在不同模型中的兼容性并不是很强,往往需要针对当前的模型和场景进行大量调参才能展现效果。

辅助头训练策略以及相应的正负样本匹配策略
YOLOv7在Head侧引入了辅助头(auxiliary Head)进行训练。正常网络训练如上图(a)所示,而用辅助头参与训练时,将对模型的训练进行深度监督,如上图(b)所示。将辅助头和检测头的损失进行融合,相当于在网络高层进行局部的模型ensemble操作,提升模型的整体性能。
而YOLOv7的正负样本分配策略正是围绕着检测头(lead head)与auxiliary Head进行设计,其主要是将YOLOv5和YOLOx的正负样本分配策略相结合:
- 使用YOLOv5的正负样本分配策略分配正样本。
- 使用YOLOx的正负样本分配策略确定正样本。
YOLOv7的正负样本分配策略相较于yolov5,加入了loss aware,利用当前模型的表现,能够实时精筛;而较于只使用YOLOX中的SimOTA算法,能够提供更精确的先验知识。
上图(d)中,lead head和auxiliary head使用一样的正负样本匹配策略,通过让浅层的auxiliary head学习到lead head已经获得的特征,让lead head更能专注于学习尚未学习到的剩余特征。
而上图(e)中,在使用lead head和auxiliary head一起优化模型的时候,auxiliary head的正样本是较为“粗糙的“,主要是通过放宽正样本分配过程的约束来获得更多的正样本。lead head中的一个anchor如果匹配上ground truth,则分配3个正样本,而同样的情况下auxiliary head分配5个。lead head中将top10个样本IOU求和取整,而auxiliary head中取top20。auxiliary head的学习能力不如lead head强,为了避免丢失需要学习的信息,将重点优化auxiliary head的召回率。而lead head可以从高recall的结果中筛选出高精度的结果作为最终输出。lead head和auxiliary head的损失函数权重设置为4:1。
【Rocky的延伸思考】
- 业务侧:YOLOv7 Head侧可以作为模块迁移至业务侧中,去融入,去从容。
- 竞赛侧:YOLOv7 Head侧可以用于竞赛侧实验其效果。
- 研究侧:YOLOv7 Head侧有很强的研究价值,Rocky这边准备进行更多实验。
参考资料
[1] YOLOv1-Darkent: https://github.com/pjreddie/darknet
[2] YOLOv2-Darkent: https://github.com/pjreddie/darknet
[3] YOLOv3: An Incremental Improvement: https://arxiv.org/pdf/1804.02767.pdf
[4] YOLOv3-PyTorch: https://github.com/ultralytics/yolov3
[5] YOLOv4: Optimal Speed and Accuracy of Object Detection: https://arxiv.org/pdf/2004.10934.pdf
[6] YOLOv4-Darkent: https://github.com/AlexeyAB/darknet
[7] YOLOv5-PyTorch: https://github.com/ultralytics/yolov5
[8] YOLOX: Exceeding YOLO Series in 2021: https://arxiv.org/pdf/2107.08430.pdf
[9] YOLOx-PyTorch: https://github.com/Megvii-BaseDetection/YOLOX
[10] YOLOv6:又快又准的目标检测框架开源啦: https://tech.meituan.com/2022/06/23/yolov6-a-fast-and-accurate-target-detection-framework-is-opening-source.html
[11] YOLOv6-PyTorch: https://github.com/meituan/YOLOv6
[12] Official YOLOv7-PyTorch: https://github.com/WongKinYiu/yolov7
[13] SIoU Loss: More Powerful Learning for Bounding Box Regression: https://arxiv.org/pdf/2205.12740.pdf