作者:Patrick Honner专栏作家 2021-3-15 译者:zzllrr小乐 2021-3-21
蒙娜丽莎的微笑,Mary Lou Retton(美国女运动员,1984年收获5项奥林匹克奖牌,译者注)的跳高,玛丽亚·凯莉(Mariah Carey)的音高,都堪称完美。而数字6和28也是如此。

所谓“情人眼里出西施”,观者通过艺术性和运动天赋看出完美。而数字的完美是通过数学定义的。 “完美数”等于其所有的真因子(即除了自身以外的约数)的和。例如,6 = 3 + 2 + 1,以及28 = 14 + 7 + 4 + 2 +1。这些数学上的奇珍异宝,就像做一个扭转后空翻,也像使卢浮宫墙壁生辉的珍品,确实给人提供了不可抗拒的东西:一个完美的神秘物。
欧几里德(Euclid)在2000年前提出了完美数的基础,他知道前四个完美数是6、28、496和8128。从那时起,已经发现了更多的完美数。但奇怪的是,它们都是偶数。经过数千年的不成功的搜索,没有人能够找到奇数完美数,人们可能会得出结论,认为奇完美数不存在。但是数学家还无法证明这一点。我们怎么能知道那么多偶完美数而又无法回答关于奇完美数的最简单的问题呢?现代数学家如何尝试解决这个古老的问题呢?
我们对数学完美性的探索始于因数。 我们知道6是12的因数,因为12÷6=2,并且我们知道25是100的因数,因为100÷25=4。正如我们所说,一个等于其真因数之和的数是完美的(那些因数都小于该数字本身)。 我们还可以将完美数定义为因数(真或不真)和等于它两倍的数。 这是因为一个数字的唯一不真的因数就是这个数字本身。 我们看到28依此定义仍然是完美的:它的真因数为1、2、4、7和14,不真的因数为28,所有因数之和为1 + 2 + 4 + 7 + 14 + 28 =56,即2×28。求和时包含不真因数,便于我们进行完美数的某些代数操作,接下来会介绍。
当使用整数进行运算时,我们最终会说“数字的因数之和”,因此数学家通过将其转化为函数使事情变得更容易。 我们将σ(n)或“ n的sigma”定义为n的因数之和。 我们已经知道 σ(28)=56。另外一些示例:σ(1)= 1,σ(6)= 1 + 2 + 3 + 6 = 12,并且σ(10)= 1 + 2 + 5 + 10 =18。请注意6是一个完美数,因为σ(6)= 2×6,但1和10不是。 如我们所见,此σ函数具有一些特殊的属性,非常适合用来研究完美数。
因此,我们有了完美数的基本定义,并且有了一个新的数学工具来帮助我们找到它们。 我们应该从哪里开始寻找? 我们将从数学家在研究数字及其模式时总是从那里开始的地方开始:素数(也叫质数)。
根据定义,质数只能被其自身和1整除。这使得计算质数的σ非常容易:σ(2)= 1 + 2 = 3,σ(3)= 1 + 3 = 4,σ( 5)= 1 + 5 = 6,并且σ(7)= 1 + 7 =8。一般地,对于任何质数p,有σ(p)= 1 + p。
质数可以是完美数吗? 当且仅当σ(p)= 1 + p = 2p时。 一点点代数告诉我们,只要p = 1,这都是正确的,但是由于质数在定义上大于1,所以没有质数是完美的。 因此,我们知道素数不可能是完美的。 我们下一步应该去哪里看?
质数的幂(如2⁴、5³或113⁶之类的数字)是下一步的不错选择,因为它们的因数易于组织。 考虑一个像16即2⁴这样的素数幂。2⁴的因数是2的幂直到2⁴:2⁰ = 1、2¹ = 2、2² = 4、2³ = 8、2⁴ =16。因此σ(2⁴ )可以 计算如下:
σ(2⁴) = 1 + 2 + 2² + 2³ + 2⁴ = 1 + 2 + 4 + 8 + 16 = 31
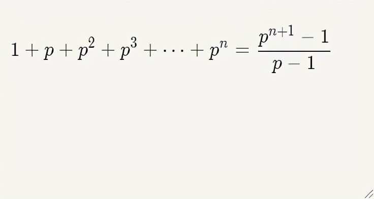
这是可以推广的。对于任何素数幂pⁿ
σ( p ⁿ ) = 1 + p + p ² + p ³ + ⋯ + p ⁿ
如果我们使用代数类的公式,这将变得更加容易。 注意,在σ(pⁿ)中相加的每个项是前一项的p倍。 这使它成为所谓的几何级数,并且对于几何级数的总和有一个很好的公式:

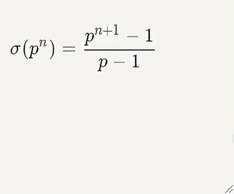
多亏了几何级数公式,我们不必列出pⁿ的所有因数即可计算σ(pⁿ)。 我们可以使用以下公式:

例如,我们已经看到

我们可以计算其他素数幂的因数和,只需将它们插入公式即可:

请注意,这些素数均不满足完美条件:σ(2⁴)≠2×2⁴,σ(3³)≠2×3³和σ(11²)≠2×11²。实际上,没有素数可以满足 完美的。 为了得到一个完美数,我们需要σ(pⁿ)= 2pⁿ,这意味着:
1 + p + p ² + p ³ + ⋯ + p ⁿ⁻¹+ p ⁿ=2 p ⁿ
我们可以从等式两边减去pⁿ来得出:
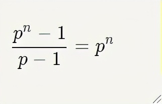
1 + p + p ² + p ³ + ⋯ + p ⁿ⁻¹ = p ⁿ
现在,我们在此等式的左侧使用几何级数公式,得到

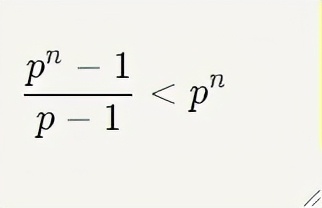
为了使pⁿ完美,我们需要满足这一点。 但是请注意,pⁿ – 1小于pⁿ,并且将pⁿ – 1除以p – 1会使其更小,因此

因此,没有任何素数幂pⁿ是完美的。
所以没有完美的素数,也没有完美的素数幂。 有什么可以完美的? 好吧,我们知道28是完美的,它是两个不同的素数幂的乘积:28 = 2² × 7
任何不是素数或素数幂的数字都可以写成这样的不同素数幂的乘积。 这些因数分解以及σ函数的一个特殊性质可以帮助我们确定一个数是否是完美的。
我们已经知道 σ(28)= 1 + 2 + 4 + 7 + 14 + 28,但是让我们仔细看一下这个总和。 请注意,后三个数字中的每个数字都是7的倍数:
σ(28)
= 1 + 2 + 4 + 7 + 14 + 28
= 1 + 2 + 4 + 7×1 + 7×2+ 7×4
我们可以将这7分解出来,以揭示一些隐藏的结构:
σ(28) = (1 + 2 + 4) + 7 × (1 + 2 + 4)
通过分配率进行更聪明的分解,我们可以写成
σ(28) = (1 + 2 + 4)(1 + 7)
这并没有告诉我们我们所不知道的任何事情:σ(28)=(1 + 2 + 4)(1 + 7)= 7×8 = 56,这证实了28是完美的。 但是乘法里面隐藏着一些重要的东西:
σ(28)
=(1+2+4)(1+7)
=(1+2¹+2²)(1+7¹)
括号中的这些表达式看起来很熟悉:1 + 2¹ + 2² =σ(2²),而1 + 7¹ =σ(7)。 这意味着我们实际上可以写成
σ(28) = σ(2²)σ(7)
要计算σ(28)=σ(2²×7),我们可以实际计算σ(2²)和σ(7)并将它们相乘。 令人惊讶的是,总的来说,这是对的:每当你将数字分解为质数时,都可以使用此快捷方式来计算σ。 例如,因为100 = 2²×5²,我们可以像这样计算σ(100):
σ(100) = σ(2²)σ(5²) = (1 + 2 + 4)(1 + 5 + 25) = 7 × 31 = 217
这比列出100的所有9个因数并将它们加起来要容易一些。
为什么这样做? 好吧,一个数的因数都来自其素因子。 再次考虑28,它是2²和7的乘积,并考虑下面的乘法表:

沿着顶部的是2的幂,可以整除28,而下面的是7的幂,可以整除28。请注意当我们填写此乘法表时会发生什么。

我们得到28的所有因数。这是因为28的每个因数都是2²和7(28的因数分解中出现的素数幂)的因数的组合。
现在将乘法表与表达式(1 + 2 + 4)(1 + 7)进行比较。
当我们使用分配律将其相乘时,这也将产生28的所有因数,然后将它们相加:
(1 + 2 + 4)(1 + 7) = 1 × 1 + 2 × 1 + 4 × 1 + 7 × 1 + 7 × 2 + 7 × 4
换句话说,(1 + 2 + 4)(1 + 7)恰好是σ(28)。 但是(1 + 2 + 4)(1 + 7)也是σ(2²)σ(7)。 所以σ(2²)σ(7)=σ(28)。 此示例说明了有关σ的一个非常有用的事实:在数论语言中,此函数是积性的(“可乘的”)。 这意味着每当数字a和b为“相对素数”(没有共同的素因数)时,σ(ab)=σ(a)σ(b)。
这是σ的特性,非常适合帮助我们研究完美数。 欧几里得(Euclid)在2000年前就利用这一事实,借用一类特殊的质数以及一个关于乘积和因数的巧妙论证,创建了一个求完美数的公式。 为此,他迈出了第一步,即确定每个偶完美数都是什么样子。 让我们看看他是如何做到的。
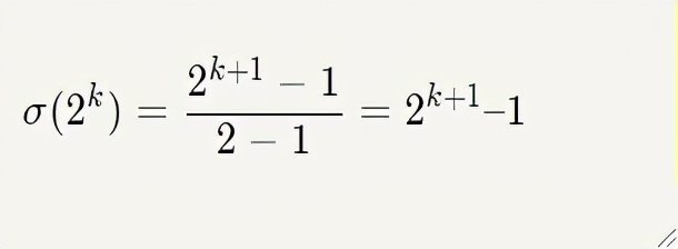
首先,请注意,对于2的任何幂,我们有

这是我们前面讨论的几何级数公式的结果。 现在考虑以下思想实验:如果2ᵏ⁺¹ – 1是素数怎么办?
好吧,由于任何素数有σ(p)= 1 + p,我们知道σ(2ᵏ⁺¹ – 1)= 1 + 2ᵏ⁺¹ – 1 = 2ᵏ⁺¹ 。 并注意2ᵏ⁺¹ 正好是2ᵏ的两倍,因为指数定律说2×2ᵏ= 2ᵏ⁺¹ 。 因此,在数字2ᵏ和2ᵏ⁺¹ – 1之间有以下两个有趣的关系:
σ(2ᵏ) = 2ᵏ⁺¹ – 1
以及
σ(2ᵏ⁺¹– 1) = 2ᵏ⁺¹ = 2 × 2ᵏ
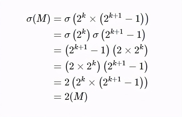
欧几里得注意到了一种巧妙的方式来利用这些关系:他将两个数字放在一起,使数字M = 2ᵏ ×(2ᵏ⁺¹-1),并且只要(2ᵏ⁺¹-1)是质数,这个数字就是完美的 ! 要看到这一点,我们将计算σ(M)并表明它等于2M。
首先,请注意2ᵏ⁺¹ – 1比偶数小1,因此它必须是奇数。 这意味着2ᵏ⁺¹ – 1不能被2整除,但是2ᵏ只能被2的幂整除。因此2ᵏ和2ᵏ⁺¹ – 1没有公因数,因此是相对质数。 这使我们可以使用σ的乘法性质:
σ(M)=σ(2ᵏ × (2ᵏ⁺¹– 1))=σ(2ᵏ) σ(2ᵏ⁺¹– 1)
我们已经知道σ(2ᵏ)= 2ᵏ⁺¹ – 1和σ(2ᵏ⁺¹ – 1)= 2ᵏ⁺¹ = 2×2ᵏ,所以我们可以找到σ(M):

因此,M = 2ᵏ×(2ᵏ⁺¹-1)是完美的。
请记住,这取决于数字2ᵏ⁺¹ – 1为质数的假设。 这些数字称为梅森素数(Mersenne primes),你可能听说过它们的原因是GIMPS,这是一种协作式在线计算工作,用于查找巨大的梅森素数。 每当你听到关于发现新的最大质数的消息时,可能就是GIMPS的结果。 而且,借助欧几里得的证明,每当发现新的梅森素数时,也会发现新的完美数。
例如,2⁵ – 1 = 31是梅森素数,因此2⁴(2⁵-1)= 16×31 = 496是一个完美数。 另外,2² – 1 = 3是梅森素数,因此2¹(2² – 1)= 2×3 = 6是完美的。 2³ – 1 = 7是梅森素数,因此2²(2³ – 1)= 4×7 = 28是完美的。
你可能已经注意到,所有这些完美数都是偶数。 这是有道理的,因为只要k> 0,则数字2ᵏ×(2ᵏ⁺¹– 1)将是偶数。 (如果k = 0,则2ᵏ⁺¹ – 1为1,这不是素数。)
你可能还注意到,到目前为止,我们讨论的所有完美数似乎都包含梅森素数。 这绝非巧合:欧几里得证明该公式产生完美数,2000年以后,莱昂哈德·欧拉(Leonhard Euler)证明了这是获得完美数的唯一方法。 但是关于奇数完美数可能是什么样子的问题(如果存在)的问题仍然悬而未决。
这个问题今天仍然开放。 尽管找不到一个,但是数学家掌握了许多有关假设的奇完美数的信息。 不能被105整除。它必须至少具有9个不同的素因数,其中第二大素因数必须大于10,000。 如果除以12,则余数必须为1;如果除以36,则余数必须为9。
证明关于甚至可能不存在的数字的结果似乎很奇怪。 但是,每条新规则都会进一步缩小搜索范围。 而且,如果幸运的话,数学家可能只证明出奇数完美数必须满足两个不相容的标准,这将一劳永逸地证明不存在奇数完美数。
在寻找不相容的标准时,数学家甚至开始寻找不太完美的数字。 如果你假认为其非素数因数之一实际上是素数,那么“仿完美数”就是看起来很完美的数字。 例如,可以将3、4和5的乘积60视为“仿完美”:如果你假认为它因数分解中的4是质数,那么我们为σ开发的捷径将告诉我们
(1+3)(1+4)(1+5) = 4 × 5 × 6 = 120
如果σ(60)等于120,那么60将是完美的。 当然,σ(60)实际上并不等于120,但是如果我们假装4是素数,它看起来就好像是120。 这就是所谓的“仿完美”。
这些仿造就像是对完美数的推广,因此,关于仿完美数的所有成立结论也必须对完美数也正确。 了解奇数仿完美数将特别有用,因为可以将针对奇数仿完美数发现的任何规则添加到奇数完美数的现有规则中,从而增加查找矛盾准则的机会,并缩小总体搜索空间。
雷内·笛卡尔(René Descartes),又是一位被完美数之谜深深吸引的著名数学家,发现了第一个奇数仿完美数,并向数学家发起挑战,要求其他数学家找到另外的。 在应对这一挑战时,数学家扩大了仿完美数的概念,并发现了一类新的数字需要研究。 在大多数情况下,仅出于数学探索的乐趣而对这些仿完美数进行了研究。 但是,也许我们从仿完美数中学到的东西可以帮助我们证明实际的奇数完美数是不存在的,或者可以让我们找到一个。
花数千年的时间寻找具有奇特性质的数字,证明关于甚至不存在的事物的定理,并发明新的甚至更陌生的数字世界来探索,这似乎很奇怪。 但是对于数学家来说,这是完全合理的。