摘要:众所周知,喵星人是与人类(铲屎官)关系十分密切的动物(主子),人喵共存的历史据说可以追溯到10,000年以前。猫咪不仅是人类亲密的朋友,有时甚至被当做神膜拜。猫脑内中枢神经与平衡和运动相关的部分相当发达,以至于不少地区都有“猫有九条命”的说法。本文基于经典力学原理,结合詹姆斯·克拉克·麦克斯韦早年的研究思路,创造性地利用猫动力学,科学解释了喵星人高空落地时姿态的成因,同时为人类对此现象的和平利用提供了思路。
关键词:喵星人 角动量 猫动力学 经典力学
1 引言
作为一种在世界范围内广受欢迎的活动,人类撸猫可以追溯到10,000年以前[1]。分类学上,猫(学名:Felis silvestris catus)通常指家猫,为小型猫科动物,是野猫(Felis silvestris)中的亚种[2]。猫咪在不少地方被视为神明(及主子),据说可以为人们带来财富和好运。

图片来源: 微博@吾皇的白茶
人与喵星人之间的亲密关系是人与动物和谐相处的最佳典范~
此外,由于猫咪脑内中枢神经有关平衡与运动部分的神经相当发达,所以从离地八九米高度的地方坠落往往还可以安全着地,所以在不少地方都有“猫有九条命”的说法。

图片来源: giphy
关于猫咪到底有多少条命,似乎世界范围内并没有定论。在大多数国家,人们相信猫咪有九条命,但在意大利、德国、希腊、巴西和不少讲西班牙语的地区[3,4],猫咪就只有七条命了。更有甚者,在土耳其等阿拉伯地区,猫咪被认为只有六条命[5]。
2 猫动力学研究:麦克斯韦的早期工作
由于猫咪身上众多不可思议的特性,人们对于猫咪的研究在很早之前就已经展开。而经典力学的创立,为研究猫提供了科学的工具。

图片来源: ifunny.co
人们对于猫有九条命的一种解释
说起对于猫咪的研究,麦克斯韦可以算得上是先驱。1879 年11 月,著名物理学家詹姆斯·克拉克·麦克斯韦逝世。4 个月后,苏格兰物理学家彼得·格思里·泰特(P. G. Tait,他是麦克斯韦的发小)在Nature杂志上撰文,热情称颂了麦克斯韦的成就。

图片来源: 豆瓣
詹姆斯·克拉克·麦克斯韦(1831~1879),苏格兰数学物理学家。麦克斯韦被普遍认为是十九世纪物理学家中对后世影响最大的一位。他的理论为狭义相对论和量子力学打下了基础,是现代物理学的先声。在麦克斯韦百年诞辰时,爱因斯坦盛赞了麦克斯韦的工作,称其为“自牛顿时代以来的一次最深刻、最富有成效的变革”。

P. G. Tait. Clerk Maxwell’s Scientific Work. [M] //Sir John Maddox,Sir Philip Campbell,路甬祥. 《自然》百年科学经典第一卷(修订版)精装本. 北京: 外语教学与研究出版社,2015: 512-531.
不过就在这篇文章里,泰特提到了麦克斯韦在读大学时的一桩趣事——
“
麦克斯韦在读本科期间做了一个实验,虽然从某种程度上说这是一个生理学实验,但是它也和物理学密切相关。实验的目的是解释为什么猫在落地的时候总是能保持脚先着地。实验中他把猫轻轻地抛到毯子上,抛掷时,让猫具有不同的初始转动。麦克斯韦得到了满意的结果:猫在空中的时候,本能地利用了角动量守恒。如果给它的初始转动过快,它就会把身体伸展开,避免头先着地;相反地,如果给它的初始转动过慢,它就会缩成一团,最后总是能避免头先着地。[6]
”

图片来源: giphy
懂角动量守恒的喵星人
VS
不懂角动量守恒的地球人
虽然麦克斯韦已经对于喵下落时的运动姿态做了提纲挈领式的诠释,但在笔者看来毕竟语焉不详(不然这篇推文岂不是毫无卵用了)。因此,笔者拟从基本的物理学原理出发,通过尽可能少的数学推导(反正读者老爷们也不愿意看),重新解释喵星人下落的基本原理。

图片来源: youtube
3 二维空间中猫咪的转动
为了研究猫咪的运动,有必要引入“质心”的概念(尤其是考虑到喵星人不会静静地等着任人摆弄……)。

图片来源: giphy
好奇心爆棚的喵星人
首先,让我们回忆一下初中的物理知识——牛顿第二定律——“物体加速度的大小跟作用力成正比,跟物体的质量成反比”(即F=am)。这里我们假设猫咪是由无数个微小的猫咪粒子(简称“喵子”)构成的,每个粒子的运动速度远远小于光速,所以符合经典力学的一般原理。那么我们可以用i来表示第i个“喵子”,Fi 表示第i个“喵子”的受力,mi表示其质量,ri表示其位移。根据牛顿第二定律,可知,

而此时猫咪受到的合力,即所有“喵子”受力的总和,

图片来源: bilibili
“喵子”的表现形式
(感谢罗小黑的倾情演绎)
这里我们用一个小技巧,定义一个矢量R,如下

那么上面的合力F就可以写成

这样我们就把由无数个“喵子”组成的小猫咪等效成了一个点,这也就是所谓的“质心”。除了质心以外,我们还要引入另一个设定,即喵星人是“刚体”。刚体是一种不存在的理想物体,其原子间的作用力很强,以至于一般的外力不会使之发生形变。

图片来源: 知乎
众所周知,猫是一种具有液体形态的生物,所以“刚体”的假设本身有悖于实际情况。然而,如果引入“猫是液体”这一假设,又会使得我们不得不引入流体力学,这将让问题过于复杂。所以考虑到本文主要讨论喵星人下落时的姿态,忽略其流体的性质而假设其为刚体是一种合乎情理的折中。
有了“质心”和“刚体”两条假设,后面的问题就可以利用中学的数学知识加以解释了。

假设猫咪一跃而起,在某一时刻到达P点,经过极短的时间来到Q点。由P到Q,猫咪转过的角度为Δθ。事实上我们发现,我们可以很轻易地将角度的变化与坐标的变化联系起来,

(这里有一个知识点,PQ的长度在Δθ极小的情况下可以近似地用 r·sinΔθ求得,而 r·sinΔθ又可以近似为 r·Δθ。思考题:为什么?)

提示:这里要用到夹逼定理,也就是所谓的Sandwich theorem(肉夹馍定理)。
利用勾股定理,易得

接下来我们可以定义角速度ω和角加速 度α,

显然,猫咪的速度也可以用角速度来表示,例如

即

同理

这样我们就可以求得猫咪线速度与角速度之间的关系,

图片来源: giphy
要确定质心的位置,一个常用的技巧是帕普斯定理,即“平面闭合曲线绕曲线外但在同一平面内的轴转动一周,则转出来的形体体积等于闭合曲线面积乘以其质心所经过的圆周”。
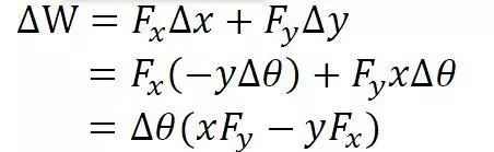
上述结论充分说明,猫咪转动的角速度,与猫咪的线速度没有本质上的区别。自然而然地,这段时间猫咪做的功为,

事实上,在受力情况复杂的情景(譬如这里讨论的喵星人)中,我们仍然可以提取公因式Δθ,那么后面括号里的项就很值得关注了。我们定义

为力矩,那么物体每一部分(如“喵子”)的力矩就可以定义为

而物体总力矩就是每一部分力矩的和,

图片来源: bilibili
总力矩等于每一部分力矩的和
(再次感谢罗小黑的直观演绎)
4 角动量守恒
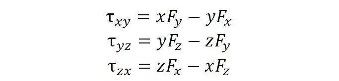
根据麦克斯韦的研究,“猫在空中的时候,本能地利用了角动量守恒”。所以,定义角动量就显得极为关键。关于角动量的定义,可以参照动量。这里我们观察前述有关力矩的表达式,可知

而显而易见,我们可以用另一种方式来表达力矩,

考虑到实际上正是由于力矩的存在,所以物体才产生了转动,所以比照动量,我们定义角动量 L

自然而然地,力矩与角动量存在以下关系,

可以想象,与某一系统相关的力矩有很多,但无外乎是来自系统内的力矩和来自系统外的力矩。系统内的力矩由于牛顿第三定律而成对地消失,所以最终产生角动量的力矩必定是源自系统外的。这也就是所谓的角动量守恒 :如果一个质点系统不受外力矩作用,其角动量不变。

图片来源: giphy
汤姆在空中翻滚的过程中,角动量是守恒的。不过考虑到一开始汤姆是躺着不动的,所以如果研究整个过程,汤姆的旋转还是由于杰瑞的力产生的外力矩。
5 三维空间中猫咪的转动
一般的喵星人并不是生活在二次元的生物,而研究三次元世界中的喵星人则需要讨论三维空间。

图片来源: bilibili
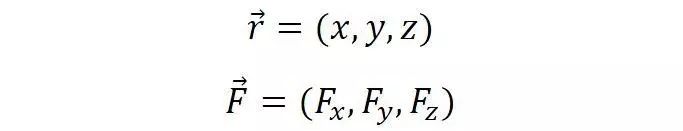
不过在三维空间中的结论,与前述二维空间的情况类似。我们将三维空间中的力矩分解,得到

一个自然而然的想法是,可以用矢量重写上述结论。令

我们有

换言之,

同理

右手法则示意图
值得一提的是,由于力矩是通过位置矢量与力的叉乘形成的,所以力矩的方向与位置矢量和力所张成的平面垂直,方向满足右手法则。上述特点也适用于角动量。像这样由叉乘定义的矢量也被称作赝矢量。

图片来源: bilibili
一秒钟学会右手螺旋定则
毫不意外地,我们可以得到角动量与力矩之间的关系,即

也就是说,作用于某一物体的力矩,决定了此物体角动量的变化率。

图片来源: giphy
小编似乎已经脑补出来读者老爷们的内心OS~
《自然》杂志于1894年报道了法国科学家马雷(Étienne-Jules Marey)用自制计时枪所拍摄的喵星人下落的高速摄影图片。由此我们可以更加直观地了解猫咪在空中的姿态。

Photographs of a Tumbling Cat. Nature 51, 80–81 (1894) doi:10.1038/051080a0.
图片顺序: 从右到左

喵星人下落过程示意图。喵咪下落的过程中身体前后两部分本能地旋转,产生两个角动量;同时身体作为一个整体也会旋转并产生一个角动量。三个角动量的矢量和为零,即喵咪的运动遵循了角动量守恒。
6 应用
文章的最后,我们简单讨论一下上述研究的应用。
黄油猫悖论(Buttered cat paradox)
已知:
-
猫在半空中跳下,永远用脚着陆。
-
把黄油吐司抛到半空中,吐司永远在涂上黄油的一面落地。
结论:

图片来源: 知乎
在太空中让喵星人的角动量不变其实非常容易实现。但在地球上由于重力的作用,事情就变得复杂起来。所以这时就要借助黄油吐司的力量。依照上述两条已知条件,一旦把黄油吐司没有涂上黄油的一面黏着猫的背部,猫将无法用脚着陆,因为黄油吐司永远在涂上黄油的一面落地;但同样的,黄油吐司涂上黄油的一面无法落地,因为猫永远用脚着陆。
不过笔者并不建议大家在家中实施上述实验,毕竟——

图片来源: bilibili

参考文献

[1] Driscoll, Carlos A.; Juliet Clutton-Brock; Andrew C. Kitchener; and Stephen J. O’Brien. 2009. "The Taming of the Cat." Scientific American 300, (6): 68-75.
[2] Driscoll CA, Macdonald DW, O’Brien SJ, CA. In the Light of Evolution III: Two Centuries of Darwin Sackler Colloquium: From wild animals to domestic pets, an evolutionary view of domestication. Proc. Natl. Acad. Sci. U.S.A. June 2009, 106 (S1): 9971–9978.
[3] Sugobono, Nora. "Las vidas del gato". El Comercio. Lima, Peru. Archived from the original on 27 January 2012.
[4] "Qual é a origem da lenda de que os gatos teriam sete vidas?". Mundo Estranho. São Paulo, Brazil: Abril Media. Archived from the original on 17 November 2015.
[5] Dowling, Tim. "Tall tails: Pet myths busted". The Guardian. Archived from the original on 9 September 2013.
[6] P. G. Tait. Clerk Maxwell’s Scientific Work. [M] //Sir John Maddox,Sir Philip Campbell,路甬祥. 《自然》百年科学经典第一卷(修订版)精装本. 北京:外语教学与研究出版社,2015:512-531.
文章部分内容节选自《〈自然〉百年科学经典》
英汉双语对照版《〈自然〉百年科学经典》是外研社联合施普林格·自然集团策划编辑的科学主题丛书,收录并翻译了《自然》杂志自1869年创刊以来近150年间发表过的800余篇经典文献,再现了一个多世纪以来人类在自然科学领域艰辛跋涉、不断探索的历史足迹,堪称一部鲜活的近代科学史诗。全系列采用双语对照的形式,译文都是国内各领域资深的学界大咖把关审核,保质保量。每篇文章都有《自然》杂志资深编辑撰写的专业导读,使中国读者在领略文章原貌的同时,更加便于阅读不同专业领域的文献,促进不同专业领域之间的学术交流。
编辑:赤色彗星