
昨天下午,2018年中考成绩揭晓,普高提前批次和第一批次录取分数线公布,其中,普高投档控制线564.5分。慈溪中学统招生录取分数线666分,分配生最低控制分数线641分。
第一批次公办普高录取分数线:浒山中学636分;龙山中学571.5分;观城中学590.5分;横河中学581.5分;逍林中学590分;杨贤江中学601分;三山高中614分;周巷中学572分。
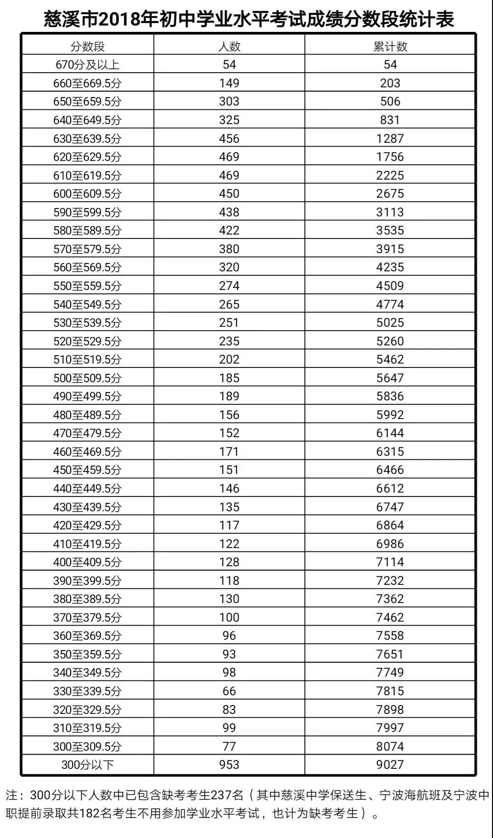
慈溪市中考成绩分数段统计表

慈溪市二〇一八年高中段招生计划
一、普通高中招生计划
|
招生学校 |
招生班级 |
招生人数 |
招生后总班级 |
|
慈溪中学 |
12 |
576 |
36 |
|
浒山中学 |
12 |
432 |
36 |
|
杨贤江中学 |
10 |
360 |
31 |
|
三山高中 |
10 |
360 |
29 |
|
龙山中学 |
8 |
280 |
24 |
|
观城中学 |
10 |
350 |
29 |
|
横河中学 |
8 |
280 |
24 |
|
逍林中学 |
8 |
280 |
24 |
|
周巷中学 |
7 |
245 |
20 |
|
实验高中 |
12 |
480 |
36 |
|
赫威斯育才高中 |
12 |
480 |
37 |
|
慈吉中学 |
5 |
200 |
13 |
|
慈中书院 |
5 |
200 |
14 |
|
科学中学 |
80 |
||
|
合计 |
119班 |
4603人 |
353班 |
二、普通中专、职业高中、技工学校招生计划
|
招生学校 |
招生班级 |
招生后总班级 |
|
慈溪职高 |
25 |
76 |
|
行知职高 |
26+2(*疆新**班) |
86 |
|
锦堂职高 |
14 |
38 |
|
周巷职高 |
14 |
38 |
|
杭州湾职高 |
19 |
79 |
|
合计 |
98+2班 |
317班 |
慈溪普通高中历年录取分数线

来源|慈晓
- END -
如果觉得好,请您为小慈点一个zan
!留言已经开通,小慈等着您的精彩点评!