简介
上海大学法学院经过40余年的建设,已有法学一级学科硕士点、法律硕士专业学位授权点和法律金融学、知识产权管理两个自主增设二级学科博士学位授权点,形成了一支职称结构、年龄结构、学缘结构、学历结构合理的师资队伍。法学专业教师先后承接了一大批国家社科基金项目和省部级课题,获得多项国家和省部级社科优秀成果奖励。
学科排名

在第四轮教育部学科评估中,上海大学法学位列C+。
专业目录及参考书目
2022招生专业目录


参考书目


专硕科目不指定参考书目
2021招生专业目录


参考书目:


专硕科目不指定参考书目
2020招生专业目录


参考书目:


专硕科目不指定参考书目
近年录取情况
2021年录取名单:
法学

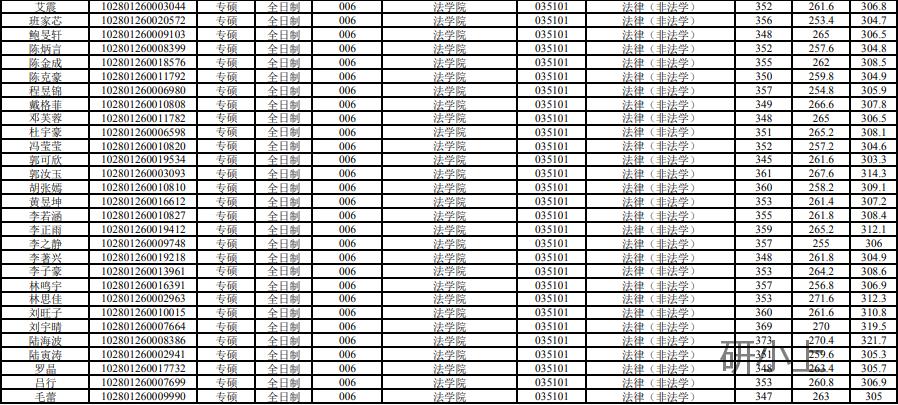
法律(非法学)(部分截图)

法律(法学)

2020年录取名单:
法学(部分截图)

法律(非法学)(部分截图)

法律(法学)

2021年法学录取21人,最高分403,最低分325。法律(非法学)录取55人,最高分373,最低分344.法律(法学)录取24人,最高分354,最低分324。
2020年法学录取33人,最高分395,最低分325。法律(非法学)录取57人,最高分362,最低分325.法律(法学)录取28人,最高分371,最低分326。
从两年的录取人数来说,法学院有缩招的趋势,不过人数变化不大。
报录比
近年报名及录取人数

2021年法学的报录比:8:1,法律(非法学)报录比:21:1,法律(法学)报录比:13:1
2020年法学的报录比:4:1,法律(非法学)报录比:13:1,法律(法学)报录比:12:1
法学院招生较少,只有三个专业招生。从两年的报录比来看,2021年法学院上岸难度增大。尤其是法律(非法学)专业报考人数1129,录取只有55人,竞争很激烈,属于该院之中的热门专业,难度真的很大,报考该专业的考生要三思而行。法学学硕专业报录比相对低,但是上岸也是有难度的!法律(法学)的难度也是很有的。
复试分数线
2021年复试分数线


2020年复试分数线


2021年的复试分数线比2020年降了4分,法学院的几个专业分数线都一样,整体来来说专硕难度更高。
总结
上海大学作为一所综合类211高校,由于上海大学生位于东部沿海经济发达地区,地理位置优越,法学院的几个专业又是热门专业,报考人数也不少,竞争是水涨船高。难度在那摆着,因此大家要全力以赴,不能掉以轻心。