麦克斯韦电磁理论和牛顿力学的融合是人类解决两个非常成功却又直接冲突的理论的一次非常宝贵的经验,这个问题跟我们现在面临的广义相对论和量子力学的冲突非常类似。
撰文 | 长尾科技
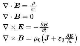
1、真空中的麦克斯韦方程
麦克斯韦方程组的微分形式是这样的:

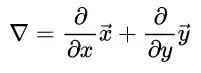
这组方程的来龙去脉我们在《最美公式:你也能懂的麦克斯韦方程组(微分篇)》里已经做了详细的介绍,这里不再多说。这组方程里,E 表示电场强度,B 表示磁感应强度,ρ 表示电荷密度,J 表示电流密度,ε0 (0为下标)和 μ0 (0为下标)分别表示真空中的介电常数和磁导率(都是常数),▽是矢量微分算子,▽· 和▽×分别表示散度和旋度:

接下来我们的任务,就是看如何从这组方程里推出电磁波的方程。
首先,如果真的能形成波,那么这个波肯定就要往外传,在远离了电荷、电流(也就是没有电荷、电流)的地方它还能自己传播。所以,我们先让电荷密度 ρ和电流密度 J 都等于0,当 ρ=0,J=0 时,我们得到的就是真空中的麦克斯韦方程组:

有些人觉得你怎么能让电荷密度 ρ 等于 0 呢?这样第一个方程就成了电场的散度 ▽·E=0,那不就等于说电场强度 E 等于0,没有电场了么?没有电场还怎么来的电磁波?
很多初学者都会有这样一种误解:好像觉得电场的散度 ▽·E 等于0了,那么就没有电场了。其实,电场的散度等于0,只是告诉你,通过包含这一点的无穷小曲面的电通量为0,电通量为0不代表电场 E 为0啊,因为进出这个曲面的电通量(电场线的数量)可以相等。这样有多少正的电通量(进去的电场线数量)就有多少负的电通量(出来的电场线数量),进出正负抵消了,所以总的电通量还是0。于是,这点的散度 ▽·E 就可以为0,而电场强度 E 却不为0。
所以这个大家一定要区分清楚:电场 E 的散度为0不代表电场 E 为0,它只是要求电通量为0而已,磁场也一样。
这样我们再来审视一下真空中(ρ=0,J=0)的麦克斯韦方程组:方程(1)和(2)告诉我们,真空中电场和磁场的散度为0,方程(3)和(4)告诉我们,电场的旋度等于磁场的变化率,磁场的旋度等于电场的变化率。前两个方程都是独立地描述电和磁,后两个方程则是描述电和磁之间的相互关系。我们隐隐约约也能感觉到:如果要推导出电磁波的方程,肯定得把上面几个式子综合起来,因为波是要往外传的,而上面单独的方程都只是描述某一点的旋度或者散度。
有一个很简单的把它们都综合在一起的方法:对方程(3)和方程(4)两边同时再取一次旋度。
方程(3)的左边是电场的旋度▽×E,对它再取一次旋度就变成了▽× (▽×E);方程(3)的右边是磁场的变化率,对右边取一次旋度也可以得到磁场 B 的旋度▽×B,这样不就刚好跟方程(4)联系起来了么?对方程(4)两边取旋度看起来也一样,这看起来是个不错的兆头。
可能有些朋友会有一些疑问:你凭什么对方程(3)和(4)的两边取旋度,而不取散度呢?如果感兴趣你可以两边都取散度试试,你会发现电场 E 的旋度取散度▽·(▽×E ) 的结果恒等于0。

这一点你看方程(3) 的右边会更清楚,方程(3)的右边是磁场的变化率,如果对方程左边取散度,那么右边也得取散度,而右边磁场的散度是恒为0的(▽·B=0就是方程(2)的内容)。这样就得不出什么有意义的结果,算出 0=0 能得到什么呢?
所以,我们现在的问题变成了:如何求电场 E 的旋度的旋度(▽×(▽×E ))?因为旋度毕竟和叉乘密切相关,所以我们还是先来看看叉乘的叉乘。
2、叉乘的叉乘
在积分篇和微分篇里,我已经跟大家详细介绍了矢量的点乘和叉乘,而且我们还知道点乘的结果 A·B 是一个标量,而叉乘的结果 A×B 是一个矢量(方向可以用右手定则来判断,右手从 A 指向 B,大拇指的方向就是 A×B 的方向)。
而点乘和叉乘都是矢量之间的运算,那么 A·B 的结果是一个标量,它就不能再和其它的矢量进行点乘或者叉乘了。但是,A×B 的结果仍然是一个矢量啊,那么按照道理,它还可以继续跟新的矢量进行点乘或者叉乘运算,这样我们的运算就可以有三个矢量参与,这种结果我们就称为三重积。
A·( B×C ) 的结果是一个标量,所以这叫标量三重积;A×( B×C )的结果还是一个矢量,它叫矢量三重积。
标量三重积 A·(B×C) 其实很简单,我在微分篇说过,两个矢量的叉乘的大小等于它们组成的平行四边形的面积,那么这个面积再和一个矢量点乘一把,你会发现这刚好就是三个矢量A、B、C组成的平行六面体的体积。

这个大家对着上面的图稍微一想就会明白。而且,既然是体积,那么你随意更换它们的顺序肯定都不会影响最终的结果。我们真正要重点考虑的,还是矢量三重积。
矢量三重积 A×(B×C),跟我们上面说电场E 旋度的旋度▽×(▽×E)形式相近,密切相关。它没有上面标量三重积那样简单直观的几何意义,我们好像只能从数学上去推导,这个推导过程,哎,我还是直接写结果吧:
A× (B×C)=B (A·C) - C(A·B)。
结果是这么个东西,是不是很难看?嗯,确实有点丑。不过记这个公式有个简单的口诀:远交近攻。什么叫远交近攻呢?当年秦相范雎,啊不,A×(B×C) 里的A距离B近一些,距离C远一些,所以A要联合C(A·C前面的符合是正号)攻打B(A·B前面的符号是负号),这样这个公式就好记了,感兴趣的可以自己去完成推导的过程。
3、旋度的旋度
有了矢量三重积的公式,我们就来依样画葫芦,来套一套电场 E 的旋度的旋度▽×(▽×E) 。我们对比一下这两个式子 A×(B×C) 和▽×(▽×E),好像只要把A和B都换成▽,把 C 换成 E 就行了。那么,矢量三重积的公式 A×(B×C) =B(A·C)-C(A·B) 就变成了:
▽×(▽×E) =▽(▽·E)-E(▽·▽)。
嗯,▽(▽·E)表示电场 E 的散度的梯度,散度 ▽·E 的结果是一个标量,标量的梯度的有意义的,但是后面那个 E(▽·▽) 是什么鬼?两个▽算子挤在一起,中间还是一个点乘的符号,看起来好像是在求▽的散度(▽·),可是▽是一个算子,又不是一个矢量函数,你怎么求它的散度?而且两个▽前面有一个电场 E,怎么 E 还跑到▽算子的前面去了?
我们再看一下矢量三重积的公式的后面一项 C(A·B) 。这个式子的意思是矢量 A 和 B 先进行点乘,点乘的结果 A·B 是一个标量,然后这个标量再跟矢量 C相乘。很显然的,如果是一个标量和一个矢量相乘,那么这个标量放在矢量的前面后面都无所谓(3C=C3),也就是说 C(A·B) =(A·B) C。
那么,同样的,E(▽·▽) 就可以换成 (▽·▽) E,而它还可以写成 ▽²E,这样就牵扯出了另一个大名鼎鼎的东西:拉普拉斯算子▽²。
4、拉普拉斯算子▽²
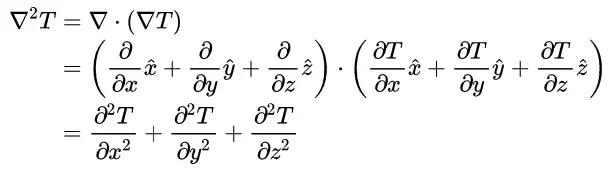
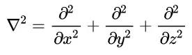
拉普拉斯算子▽²在物理学界可谓大名鼎鼎,它看起来好像是哈密顿算子▽的平方,其实它的定义是梯度的散度。
我们假设空间上一点(x,y,z)的温度由 T(x,y,z) 来表示,那么这个温度函数 T(x,y,z) 就是一个标量函数,我们可以对它取梯度▽T,因为梯度是一个矢量(梯度有方向,指向变化最快的那个方向),所以我们可以再对它取散度▽·。
我们利用我们在微分篇学的▽算子的展开式和矢量坐标乘法的规则,我们就可以把温度函数 T(x,y,z) 的梯度的散度(也就是▽²T)表示出来:

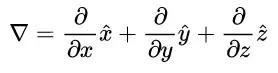
再对比一下三维的▽算子:

所以,我们把上面的结果(梯度的散度)写成▽²也是非常容易理解的,它跟▽算子的差别也就是每项多了一个平方。于是,拉普拉斯算子▽²就自然可以写成这样:

从拉普拉斯算子▽²的定义我们可以看到,似乎它只能作用于标量函数(因为要先取梯度),但是我们把▽²稍微扩展一下,就能让它也作用于矢量函数 V(x,y,z)。我们只要让矢量函数的每个分量分别去取▽²,就可以定义矢量函数的▽²:

定义了矢量函数的拉普拉斯算子,我们稍微注意一下下面的这个结论(课下自己去证明):

然后再看看中间的那个东西,是不是有点眼熟?
我们在求电场旋度的旋度的时候,不就刚好出现了(▽·▽)E这个东西么?现在我们就可以理直气壮地把它替换成 ▽²E 了,于是,电场旋度的旋度就可以写成这样:
▽×(▽×E)=▽(▽·E)-(▽·▽)E =▽(▽·E)-▽²E。
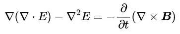
至此,我们利用矢量的三重积公式推电场 E 的旋度的旋度的过程就结束了,然后我们就得到了这个极其重要的结论:

它告诉我们:电场的旋度的旋度等于电场散度的梯度减去电场的拉普拉斯。有了它,电磁波的方程立马就可以推出来了。
5、见证奇迹的时刻
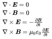
我们再来看看真空中的麦克斯韦方程组:

它的第三个方程,也就是法拉第定律是这样表示的:

我们对这个公式两边都取旋度,左边就是上面的结论,右边无非就是对磁感应强度 B 取个旋度,即:

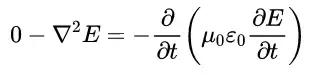
你看看这几项,再看看真空中的麦克斯韦方程组:方程(1)告诉我们▽·E=0,方程(4)告诉我们▽×B=μ0ε0(∂E/ ∂t),我们把这两项代入到上面的式子中去,那结果自然就变成了:

μ0、ε0)(0皆为下标)都是常数,那右边自然就变成了对电场 E 求两次偏导。再把负号整理一下,最后的式子就是这样:

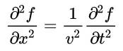
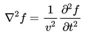
嗯,于是我们就神奇般的把磁感应强度 B 消掉了,让这个方程只包含电场 E。我们再对比一下我们之前唠叨了那么多得出的经典波动方程(参看《见证奇迹的时刻:从牛顿定律到波的运动 》):

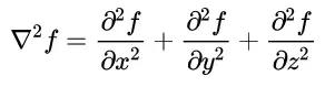
我们在推导经典波动方程的时候只考虑了一维的情况,因为我们只考虑波沿着绳子这一个维度传播的情况,所以我们的结果里只有∂²f/ ∂x²这一项。如果我们考虑三维的情况,那么不难想象波动方程的左边应该写成三项,这三项刚好就是f的三维拉普拉斯:

所以我们的经典波动方程其实可以用拉普拉斯算子写成如下更普适的形式:

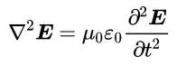
再看看我们刚刚从麦克斯韦方程组中得到的电场方程:

嗯,我们推出的电场的方程跟经典波动方程的形式是一模一样的,现在我们说电场 E 是一个波,你还有任何异议么?

这样,我们就发现 E 和 B 都满足波动方程,也就是说电场、磁场都以波动的形式在空间中传播,这自然就是电磁波了。

电磁波只有两个横波模式(即振动方向和传播方向相垂直)。上图描写的是一个沿 y 方向传播的电磁波,其电场 E 的振动方向是 z 方向,磁场 B 的振动方向是 x 方向。如果电场振动方向是 x 方向,这将对应于另外一种横波模式。
6、电磁波的速度
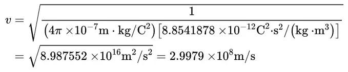
对比一下电场和磁场的波动方程,你会发现它们是形式是一模一样的(就是把 E 和 B 互换了一下),这样,它们的波速也应该是一样的。对比一下经典波动方程的速度项,电磁波的速度 v 自然就是这样:

我们去查一下μ0、ε0(0皆为下标)的数值,μ0=4π×10-7 N/A²,ε0=8.854187818×10-12 F/m,代入进去算一算:

再查一下真空中的光速 c = 299 792 458 m/s。
前者是我们从麦克斯韦方程组算出来的电磁波的速度,后者是从实验里测出来的光速。有这样的数据做支撑,麦克斯韦当年才敢大胆的预测:光就是一种电磁波。


麦克斯韦一直以为自己在研究电磁理论,但是当他的电磁大厦落成时,他却意外地发现光的问题也被顺手解决了,原来他一直在盖的是电磁光大厦。搞理论研究还可以买二送一,打折促销力度如此之大,惊不惊喜,意不意外?
总之,麦克斯韦相信自己的方程,相信光是一种电磁波,当赫兹最终在实验室里发现了电磁波,并证实它的速度确实等于光速之后,麦克斯韦和他的理论获得了无上的荣耀。爱因斯坦后来却因为不太相信自己的方程(认为宇宙不可能在膨胀)转而去修改了它,于是他就错失了预言宇宙膨胀的机会。当后来哈勃用望远镜观测到宇宙确实在膨胀时,爱因斯坦为此懊恼不已。
7、结 语
回顾一下电磁波的推导过程,我们就是在真空麦克斯韦方程组的方程(3)和方程(4)的两边取旋度,然后就很自然地得出了电磁波的方程,然后得到了电磁波的速度等于光速 c。这里有一个很关键的问题:这个电磁波的速度是相对谁的?相对哪个参考系而言的?
在牛顿力学里,我们说一个物体的速度,肯定是相对某个参考系而言的。我们说高铁的速度是 300km/h,这是相对地面的,相对太阳那速度就大了。这个道理在我们前面讨论的波那里也一样,我们说波的速度一般都是这个波相对于它所在介质的速度:比如绳子上的波通过绳子传播,这个速度就是相对于绳子而言的;水波是波在水里传播,那么这个速度就是相对于水而言的;声波是波在空气里传播(真空中听不到声音),声波的速度就自然是相对于空气的速度。
那么,电磁波呢,从麦克斯韦方程组推导出的电磁波的速度是相对谁的?水?空气?显然都不是,因为电磁波并不需要水或者空气这种实体介质才能传播,它在真空中也能传播,不然你是怎么看到太阳光和宇宙深处的星光的?而且我们在推导电磁波的过程中也根本没有预设任何参考系。
于是当时的物理学家们就假设,电磁波的介质是一种遍布空间的叫作“以太”的东西,于是大家开始去寻找以太,但是怎么找都找不到。另一方面,电磁波的发现极大地支持了麦克斯韦的电磁理论,但是它跟牛顿力学之间却存在着根本矛盾,这种情况像极了现在广义相对论和量子力学之间的矛盾。怎么办呢?
1879年,麦克斯韦去世,同年,爱因斯坦降生,这仿佛是两代伟人的一个交接仪式。麦克斯韦电磁理论与牛顿力学之间的矛盾,以及“以太”这个大坑都被年轻的爱因斯坦搞定了,爱因斯坦搞定它们的方法就是大名鼎鼎的狭义相对论。其实,当麦克斯韦把他的电磁理论提出来之后,狭义相对论的问世就几乎是必然的了,因为麦克斯韦的电磁理论其实就是狭义相对论框架下的理论,这也是它跟牛顿力学冲突的核心。所以,爱因斯坦才会把他狭义相对论的论文取名为《论动体的电动力学》。

麦克斯韦的电磁理论结束了一个时代,却又开启了一个新时代(相对论时代),它跟牛顿力学到底有什么矛盾?为什么非得狭义相对论才能解决这种矛盾?这些将是我后面要讨论的重点。我会尽力让大家看到科学的发展有它清晰的内在逻辑和原因,并不是谁拍拍脑袋就提出一个石破天惊的新理论出来的。
此外,电磁理论和牛顿力学的融合是人类解决两个非常成功却又直接冲突理论的一次非常宝贵的经验,这跟我们现在面临的问题(广义相对论和量子力学的冲突)非常类似。我希望能够通过这种叙述给喜欢科学的少年们一些启示,让他们以后面对广义相对论和量子力学冲突的时候,能够有一些灵感。
嗯,没错,我在期待未来的爱因斯坦~
后记
文小刚
由麦克斯韦方程所描写的电磁波是一种很奇怪的波。电磁波有两种横向模式(其波的振动方向和传播方向垂直),对应于电磁波(光波)的两种偏振方向,但电磁波没有纵向模式(其波的振动方向和传播方向平行)。自从150年前麦克斯韦提出他的方程之后,物理学家一直在寻找一个媒介,它的形变会导致满足麦克斯韦方程的波,也就是一种只有两个横向模式而没有纵向模式的波。大家坚信这种媒介一定存在,并给它起了名字叫“以太”。麦克斯韦本人甚至提出了一种由机械转轮所构成的媒介,希望这些转轮的旋转所给出的波正是麦克斯韦方程所描写的波。

麦克斯韦转轮模型,由大的六角形转轮和可以游走的小圆转轮所形成。
遗憾的是麦克斯韦的转轮是六角形的,转不动(玩笑),也给不出麦克斯韦方程所描写的波。150年来,物理学家研究了各种各样的材料,其形变会给出由各种各样的波动方程所描写的波,可是没有一种材料会给出由麦克斯韦方程所描写的电磁波。再加上对迈克耳孙-莫雷光速不变实验的错误解释,物理学家提出电磁波(光波)是一种基本的波,它不是某种媒介的形变,以太不存在。这相当于投降,把理解不了的东西说成是基本的,这样就不用去理解了。
最近二三十年来,对拓扑序的研究打开了新思路。我们发现一种由量子转轮所构成的媒介,其中的形变就对应于由麦克斯韦方程所描写的电磁波。所以麦克斯韦150年前的提议几乎是正确的,只要把麦克斯韦转轮量子化就可以了。
在量子转轮模型中,我们把不转的转轮认为是背景。旋转的转轮也不是随机排列的。左转的转轮生成一根根弦,右转的转轮也形成一根根弦。我们认为左转转轮所形成的弦和右转转轮所形成的弦,其方向正好相反。这样我们就得到由有方向的弦所形成的弦液体。这种弦液体中的密度波正好对应于由麦克斯韦方程所描写的电磁波,它有两个横向模式,而没有纵向模式。(详情请见《返朴》文章“光的奥秘和空间的本源”。)


由左转或右转的转轮所形成的弦液体(其弦的方向没有标记),以及弦的密度波。不转的转轮是黑色的背景。
本文经授权转载自微信公众号“长尾科技”。
特 别 提 示
1. 进入『返朴』微信公众号底部菜单“精品专栏“,可查阅不同主题系列科普文章。
2. 『返朴』提供按月检索文章功能。关注公众号,回复四位数组成的年份+月份,如“1903”,可获取2019年3月的文章索引,以此类推。
《返朴》,科学家领航的好科普。国际著名物理学家文小刚与生物学家颜宁共同出任总编辑,与数十位不同领域一流学者组成的编委会一起,与你共同求索。关注《返朴》(微信号:fanpu2019)参与更多讨论。二次转载或合作请联系fanpusci@163.com。