
文 | 娱乐爆社说
编辑 | 娱乐爆社说
●—≺ 前言 ≻—●
数控机床整机加工精度是衡量其加工性能的重要指标,是整个国家机械制造能力和发展水平的重要体现,精度优化设计是提升机床加工精度行之有效的途径。
由于不同的几何误差对整机加工精度的影响程度存在差异,如果凭借以往的设计经验对数控机床进行优化设计。

精度优化分配结果很容易受到主观因素的影响,导致机床的加工精度过高或过低。
因此,需要对各项几何误差进行灵敏度分析,确定其对整机加精度的影响权重,从而可以正确地指导机床精度优化设计。

近年来,在数控机床几何误差的灵敏度分析方面,国内外学者已经进行了大量的研究工作。
有学者以矩阵微分法为基础,完成了机床几何误差灵敏度分析模型的建立,通过对比各项几何误差的灵敏度系数,成功辨识出关键几何误差参数项,实现了误差溯源,同时为数控机床的精度优化设计奠定基础。

选择机床工作行程的3个位置点作为样本点进行灵敏度分析,并假设所有的线性误差和角度误差均为定值,即分别为0.1μm和0.1μrad,最终辨识出了机床的关键几何误差。
学者提出了一种基于改进的Morris方法的全局灵敏度分析方法,根据分析结果,提出调整和修改机床关键零部件参数的建议和指南,从而经济合理地提高机床的加工精度。

利用对单项几何误差直接求导的方法辨识关键几何误差参数项,同时为了方便计算各个误差参数项的灵敏度系数,假设所有线性误差参数为10μm以及角度误差参数为5″。
最终借助Isight软件和多元线性回归方法得到了关键几何误差项。

在此基础上,在指定的工作空间内辨识出了10项关键几何误差,最后通过仿真分析验证了该灵敏度分析方法的正确性。
利用乘法降维法简化了误差分析模型,将概率分布的高维积分转化为一维积分,降低了全局灵敏度分析模型的复杂度,

最后辨识出了影响机床加工精度的关键误差项,为机床的精度优化设计和误差补偿提供了重要依据。

纵观现有的研究文献,学者们在数控机床几何误差灵敏度分析方面开展了大量的研究工作。
在这些研究工作中使用的方法主要包括直接求导法、有限差分法、摄动法、蒙特卡罗方法、Sobol法和Morris方法等,这些方法计算量大、计算过程复杂且可行性和实用性较低。

为了方便计算各项几何误差的灵敏度系数,有些学者假设所有几何误差均为定值,这样造成了灵敏度分析结果无法反映出数控机床几何误差随机床加工位置变化而变化这个关键因素。
并且角度误差参数与线性误差参数的单位不同,还需要分别求取其灵敏度。

因此,探索一种较为简单、准确、有效的几何误差灵敏度分析方法,实现关键几何误差的准确辨识并获得各项几何误差对机床加工精度的影响权重具有非常重要的实际应用意义。
为了准确辨识关键几何误差并简化计算过程,定义了一种简单且能真实反映各项几何误差对机床加工精度影响程度的灵敏度指标。

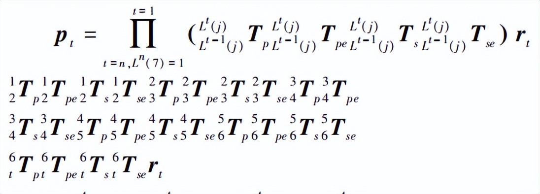
本文首先基于多体系统理论,建立机床整机加工精度预测模型。
然后基于该模型,建立各项几何误差的灵敏度分析模型,同时定义一种新的灵敏度指标,确定各项几何误差对整机加工精度的影响权重,从而可以正确地指导机床精度设计。

●—≺ 建立整机加工误差预测模型 ≻—●
在现有的建模方法中,以多体系统理论为基础的误差建模方法得到了广泛地应用,多体系统理论通过对机床的抽象化处理,可以大大简化数控机床结构分析的复杂性,是一种合理有效的建模方法。

本文基于该理论对龙门式五轴数控铣床的结构进行了简化分析,将该机床抽象为一个由刀具分支和工件分支组成的多体系统。
然后基于齐次坐标变换原理,建立机床各相邻体间静止及运动变换矩阵。

因此,基于多体系统理论,得到工件坐标系内待加工点在机床坐标系内的位置矢量为:

刀具中心点在机床坐标系内的位置矢量为:

实验中表示J体相对I体的体间理想静止齐次变换矩阵;J体相对I体的体间实际静止齐次变换矩阵。

J体相对I体的体间理想运动齐次变换矩阵;J体相对I体的体间实际运动齐次变换矩阵;

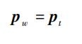
rt表示刀具中心点在刀具坐标系中的位置矢量,在实际加工过程中,若要实现精密加工需要满足工件坐标系内待加工点与刀具中心点重合。

综合实验数据可得,实际加工过程中刀具中心点在工件坐标系中的位置矢量为:

●—≺ 建立几何误差灵敏度分析模型 ≻—●
根据多体系统理论,数控机床的加工误差是由各项几何误差经刀具分支和工件分支传递的结果。
建立的加工误差模型是关于各项几何误差的函数,不同的几何误差导致数控机床加工误差值的差异程度不同。

而几何误差灵敏度分析反映的是在数控机床加工空间中各项几何误差对加工误差的影响程度。
为了对该影响程度进行量化分析和比较,以及简化计算过程,需要定义一种简单且能真实反映该影响程度的灵敏度指标。

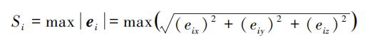
因此,本文将各项几何误差单独作用时引起的加工误差的峰值作为各项几何误差对应的灵敏度。
加工误差的峰值越大说明该项几何误差对加工误差的影响程度越大,峰值越小则说明影响程度越小。

可以建立五轴数控机床加工误差计算模型的一般形式,该模型可以表示为:

式中:G表示n项数控机床几何误差组成的误差矢量,G=(g1,g2,…,gn)T,gi表示数控机床的第i项几何误差,i=1,2,…,n。
D表示机床各运动轴的位置矢量,D(x,y,z,b,c)T;H表示数控机床各体参考坐标系原点的位置矢量,H=(hjx,hjy,hjz,1)T,j表示数控机床第j个运动体;L表示刀具长度。

根据实验数据可以得到各项几何误差单独作用时产生的加工误差:

ei为第i项几何误差单独作用时产生的加工误差,i=1,2,3,…,37,本文将各项几何误差单独作用时引起的加工误差。

峰值作为各项几何误差对应的灵敏度,因此,根据实验数据分析可以得到各项几何误差的灵敏度表达式:

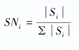
为了更加直观地辨识出关键几何误差并对各项几何误差分配权重,对各项几何误差的灵敏度进行归一化处理,可以得到各项几何误差的灵敏度系数:


●—≺ 仿真分析 ≻—●
为了更加直观地表征各项几何误差单独作用时对机床加工误差产生的影响,本文选择适用于五轴数控机床加工精度检验与验收的“S”形检测试件作为研究对象。

利用MATLABR2016b对“S”形检测试件的表面轮廓度误差进行仿真分析,本文仅以X轴的各项几何误差为例进行分析。
通过仿真分析得到了X轴的各项几何误差对加工误差产生的影响,结果上述实验所示,其余各项几何误差的对加工误差的影响程度仅展示了最终结果。

为了更好地说明各项几何误差,对其进行编号处理,根据“S”形检测试件表面轮廓度误差的仿真分析结果,可以得到各项几何误差的灵敏度数值。
基于实验数据分析以及各项几何误差的灵敏度数值,可以得到各项几何误差的灵敏度系数,并对其进行排序。

将灵敏度系数大于0.05定义为关键几何误差,从数据结果中中可以直观地看出第10、17、22、24和37项几何误差为该机床的关键几何误差。
同时根据上述实验要求可以得到各项几何误差的权重因子,根据权重因子对各项几何误差分配权重,为接下来机床精度优化分配的研究工作奠定基础。

●—≺ 实验验证 ≻—●
为了验证所提出的公差参数灵敏度分析方法的准确性,利用龙门式五轴数控铣床对“S”形检测试件进行铣削加工。

铣削加工采用ϕ20棒铣刀,补偿策略1是采用材料中迭代补偿方法补偿辨识的关键几何误差并获取补偿后的NC指令代码。
补偿策略2是采用数据结果中迭代补偿方法补偿所有的几何误差并获取补偿后的NC指令代码。

为了便于检测“S”形检测试件的轮廓度误差,如上述实验所示,沿“S”形检测试件的缘条高度方向取3条检测线。

即S1、S2、S3,在缘条高度方向上,S3距离S形缘条顶部5mm,S2和S3、S1和S2的间距均为12.5mm,在3条检测线上分别等距选择25个检测点,共计75个检测点的分布情况。

“S”形检测试件的轮廓度误差测量实验在PRISMOnavigator三坐标测量机上展开,此外为了提高测量结果的稳定性,先后进行5次测量,最终的误差值取5次测量结果的平均值。

为了更加直观地反映所提出的关键几何误差辨识方法的有效性,对比了基于两种补偿策略获得的“S”形检测试件的平均轮廓度误差。

由上述实验数据可以看出在S1、S2和S3上的平均轮廓度误差分别从0.041mm减小到0.036mm,从0.036mm减小到0.032mm。
从0.044mm减小到0.038mm,即基于补偿策略2获得的“S”形检测试件的平均轮廓度误差在S1、S2和S3上分别降低了0.005、0.004和0.006mm。

对比结果说明了通过补偿辨识出的关键几何误差和所有几何误差最终得到的轮廓度误差相差不大。
因此,本文提出的关键几何误差辨识方法可以有效地辨识出机床关键几何误差并为各项几何误差合理分配权重,从而可以正确地指导五轴数控机床精度优化设计。

●—≺ 结语 ≻—●
基于多体系统理论建立了数控机床加工误差预测模型,并基于该模型构建了几何误差灵敏度分析模型。

同时定义了一种简单且能真实反映各项几何误差对机床加工误差影响程度的灵敏度指标,即各项几何误差单独作用时引起的加工误差的峰值作为灵敏度指标。
通过仿真分析得到了各项几何误差单独作用时引起的加工误差的变化规律,求出了各项几何误差对整机加工误差的灵敏度系数。

明确了第10、17、22、24和37项几何误差为该机床的关键几何误差,实现了对各项几何误差分配权重,从而可以正确地指导机床精度优化设计。
为了验证所提出的灵敏度分析方法的正确性,选择“S”形检测试件作为研究对象,

通过补偿所辨识的关键几何误差和全部几何误差的方式对“S”形检测试件进行加工并对比其轮廓度误差,对比结果显示两者之间的差值很小。
因此,证明了本文提出的灵敏度分析方法的正确性。
参考文献
[1]吴石,樊正东,刘献礼,等.考虑热误差的双转台机床工艺误差谱预测方法[J].仪器仪表学报,2021,42(5):66-78.
[2]魏新园,钱牧云,冯旭刚,等.基于偏最小二乘的数控机床热误差稳健建模算法[J].仪器仪表学报,2021,42(5):34-41.
[3]刘冰,陈诚,王勇,等.某型复合加工机床床身动态特性分析与结构优化[J].电子测量与仪器学报,2019,33(3):72-77.
[4]程强,刘广博,刘志峰,等.基于敏感度分析的机床关键性几何误差源识别方法[J].机械工程学报,2012,48(4):92-100.
[5]夏长久,王时龙,孙守利,等.五轴数控成形磨齿机几何误差—齿面误差模型及关键误差识别[J].计算机集成制造系统,2020,26(5):1191-1201.
[6] 基于西门子840D数控系统的龙门五轴数控机床几何误差补偿软件开发[J]. 周显峰;李杰;刘辛军;陈俊宇.制造技术与机床,2018(05)