(此处已添加小程序,请到*今条头日**客户端查看)
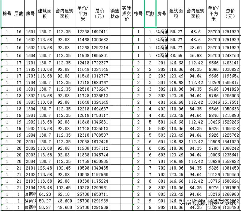
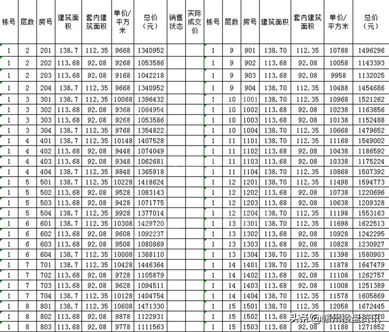
5月17日晚上,蓉江新区毛坯住宅盘联泰天禧迎来第二批房源加推开盘,加推房源为1#2#高层,共计149套,建面约110-113-123-138和146平五种户型,两梯三户和两梯四户。现在赣州联泰天禧备案价格已经出炉,一起来看看:

1号楼是2个户型:建面约113和138平,两梯四户,共21层;2号楼是三个户型:建面约110、123和146平,两梯三户,共24层;整体备案价格是就九千多到一万二千多,均价一万一左右。本次开盘的户型选择较多,在蓉江新区众多楼盘对比之下,这次加推户型面积偏小,刚需买的话压力不会太大。
(此处已添加小程序,请到*今条头日**客户端查看)


联泰天禧位于蓉江新区滨江板块,与富力现代城隔了一个碧桂园,靠近武陵大桥、蟠龙大桥等,周边配套有富力蓉江之星、滨江公园、武陵小学、师大附中。小区住宅物业费:2.6元/㎡·月(含电梯运行费),车位管理费:60元/个/月(子母车位按1.5个计算),预计2024年交房。

目前蓉江新区滨江板块靠近江边的在售住宅不多,嘉福住宅已经售完,富力仅剩少量大面积尚未推出,星州润达九玺则只剩下大面积毛坯别墅在售,新旅中书文旅城后期加推房源也不多,新旅明樾堂是今年新开楼盘,还有大平层在售。预算高的话小编还是推荐大家新房买在蓉江新区,低的话就不要轻易入手,首付月供都比较高。
(此处已添加小程序,请到*今条头日**客户端查看)
微信可以关注公众号:“赣州楼市圈”
大家可以点个赞互动一下,有什么意见与建议欢迎大家指出来!谢谢大家!
如需 合作&投稿 可直接私信本号!谢谢!