小时候看《功夫》,觉得这套如来神掌实在是炫酷,幻想着自己有一天也能这样从天而降。

后来学了物理,尤其是学完自由落体运动之后,越发觉着这个幻想永远都不可能实现了。然后顺便也怀疑影视作品和文学作品中“从天而降”场景的科学性,哎,谁让我学了物理╮(╯_╰)╭。

撑伞从天而降

窗帘降落伞
以及下面这个衣裤降落伞。
原来欧阳锋被困秃木峰顶,他武功虽高,终究无法从这笔立千丈的高峰上溜下来,熬了几日冻饿,情急智生,忽然想到一法。他除下裤子,将两只裤脚都牢牢打了个结,又怕裤子不牢,将衣衫都除下来缚在裤上,双手持定裤腰,咬紧牙关纵身一跃,从山峰上跳将下来。这法子原本极为冒险,只是死中求生,除此更无他策,果然一条裤子中鼓满了气,将他下降之势大为减弱。
——《射雕英雄传》第三十七章 从天而降
想要知道如何科学地从天而降,首先需要知道从天而降的时候在空中会发生些什么。
● 终端速度 ●
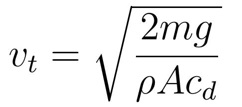
我们高中学过自由落体运动,这是没有考虑空气阻力的影响。物体从高空坠落,如果是做自由落体运动,那么它的速度是一直在增加的。但实际上,由于空气阻力的存在,高空坠落的物体的速度不会无限制地增加下去,而是有一个极限,这个极限叫做终端速度。
如果无视空气产生的浮力,会有下面这个公式:

Fd为所受的空气阻力;
ρ为物体下落时所处空气的密度;
v为物体下落的速度;
cd为物体的阻力系数,与物体的形状等因素有关;
A为物体的投影面积。
当物体下落的速度足够大的时候,所受的空气阻力和重力大小相等,方向相反,于是下落的速度就不再增加,达到了终端速度,下落物体的终端速度可以这样求得:

跳伞员如果采取俯伏向下的姿势,不打开降落伞的话,其终端速度约为55m/s(~195km/h),我国D字头的动车组列车的行驶速度也差不多是这个值。如果跳伞员把四肢收起来,头朝下,做出类似钢铁侠飞行时的那种动作,终端速度会提升至90m/s(~320km/h),几乎快到了游隼向下追捕猎物时的速度 [1]。
1960年8月16日,美国空军上尉约瑟夫·基廷格(Joseph Kittinger)创造了个记录,当时他从一个漂浮在31330m高度的氦气球吊篮上跳下来,下落过程中的最高速度达到了274m/s,差不多是音速的9/10 [2]。直到2012年这个记录才被打破,费利克斯·鲍姆加特纳(Felix Baumgartner)乘高空氦气球飞到了39045m的高空然后跳下来,最高速度达到了373m/s,已经突破了音速。当然了,这个最高速度是在高空中实现的,因为那里大气稀薄。

约瑟夫·基廷格 | 来源:Wikipedia
说了那么多,其实想表达的就是:如果想科学地从天而降,办法就是提高空气阻力。下落的时候要提高空气阻力,可能首先会想到降落伞。降落伞主要是通过巨大的投影面积来增大空气阻力的。
降落伞可以将终端速度降低90%以上,因此携带了降落伞的人可以以3~4m/s(~12km/h)的相对较低的速度撞击地面 [3]。
常见的降落伞主要有两种,一种是圆伞,一种是翼伞。

圆伞 | 来源:explainthatstuff.com

翼伞 | 来源:explainthatstuff.com
● 圆伞 ●
顾名思义,圆伞,就是圆形的降落伞,外形看上去像水母。降落伞由主降落伞和备用降落 伞组成,备伞是在主伞打不开的情况下使用的。

一种圆伞结构(1是引导伞,3是伞顶孔,4是主伞,9是操纵棒) | 来源:explainthatstuff.com
主伞开伞方式一般有两种:一是拉绳将伞包拉开,伞包内引导伞先弹出,产生足够的拉力拉开主伞。二是拉绳将稳定伞拉开,同时开锁器开始计时,几秒钟之后,解除对稳定伞的限制,从而拉出主伞,使主伞张开 [4]。上图中的1就是引导伞。

图中的小降落伞就是稳定伞 | 来源:“我们的天空”微信公众号
主伞释放后拉力会迅速增加,可以看这个示意图了解一下。

跳伞员跳伞之后受力变化的示意图 | 来源:hypertextbook.com
如果注意观察会发现,圆伞上好像总是有几个“破洞”。这其实是排气孔,不是“破洞”,并且是有意为之。其中顶部的叫做伞顶孔,允许空气从圆伞顶部缓慢逸出,而不是从圆伞的“裙摆”逸出,这有助于减少降落伞的晃动。另外可以用操纵棒控制前后排气孔的开闭,进而控制降落速度,改变运动方向,还可以减弱层风的影响,减少摇晃。

降落伞的”裙摆“处有前后排气孔 | 来源:“我们的天空”微信公众号
如果用雨伞做降落伞会出现什么情况呢?如果你的伞不够坚固,要么会被吹翻,要么会被吹得伞面、伞骨分离;如果伞足够坚固,那也别高兴得太早,嗯,伞会吹得侧翻。所以,用雨伞做降落伞还是别想了。

来源:果壳网 [5]
● 翼伞 ●
除了圆伞之外,另一种常见的就是翼伞,翼伞是翼形降落伞的简称,也叫翼型滑行伞或滑行降落伞。从名字上就可以知道,它可以在空中滑行。翼伞大多呈矩形,并且设计成冲压式。

冲压式翼伞 | 来源:hypertextbook.com
所谓冲压式,就是像上图这样,翼伞的上下翼面用不透气的织物制造,上下翼面由肋片连接,分割成很多小气室,各肋片上有通风孔,便于各个气室之间空气流通,从而使伞体在下降时快速充气。

来源:中国军视网
翼伞的前缘是开口的,后缘是封闭的。当滑翔的时候,空气从前缘开口涌入,使得每个小气室撑满,形成一个机翼的形状,从而具有很好的机动能力。

来源:中国军视网
圆伞和翼伞在军事上都有应用,但它们的使用场景不太一样,原因主要是这两种伞的滑降比和可操控性不一样。
滑降比,就是将速度分解成竖直和水平两个方向,水平方向上的速度与竖直方向上的速度的比值就是滑降比。圆伞的滑降比一般是1:1左右,而翼伞因为伞形呈机翼形状,所以有更好的滑翔能力,滑降比一般为3:1,相同高度下,圆伞的留空时间会比翼伞短,方便快速降落。另外,翼伞还比圆伞操控性更强,更容易精准着陆。

精准着陆,命中靶心 | 来源:“我们的天空”微信公众号
圆伞非常适合在相对较小的区域,相对较低的高度迅速地投放大量兵力。但因为跳伞员比较难控制圆伞的落点,所以需要飞行器飞临目标区上空才能跳伞着陆。这样需要直面敌方炮火,危险并且缺乏突然性,所以降落之前需先摧毁敌防空体系,否则空降部队还未着陆就可能损失惨重 [6]。

圆伞可以密集投送兵力 | 来源:Wikipedia
翼伞每下降1m可水平滑行3m,所以能在空中远距离滑翔,如果在5000m高空跳伞,可滑行到15公里外着陆。训练有素的空降兵能在距目标地区相当远的距离跳伞,然后操控翼伞避开障碍和危险区,滑行至目标区着陆,大幅度提高了作战的隐蔽性和突然性 [6]。
但空中操控翼伞的难度较大、危险性较高,对伞兵的跳伞技术要求很高。所以翼伞主要用于空降作战的先期渗透突袭,接应后继空降的大部队或执行某些特种作战任务。
《红海行动》中就有翼伞出现的剧情。在电影末尾抢夺黄饼的片段中,为了悄无声息地发动突袭,队员们在离目标位置还有两公里的时候就开始翼装滑行,然后再打开翼伞降落,起到出其不意的效果。

电影《红海行动》中的翼装和翼伞
想成为合格的跳伞员需要经过大量的训练,比如有的可能需要在风洞上练习高空自由落体。下面有一个巨大的风扇,能将人吹起来,模拟跳伞下落时的场景。

风洞训练

跳伞特技表演人员在风洞中训练 | 来源:ForGIFs.com
最后回答文章开头提到的问题,雨伞不能安全地从天而降,那窗帘行不行?我们来算一算好了。参考资料[7]是一个火箭降落伞尺寸计算器,输入火箭的质量,可以算出所需降落伞的直径。虽然人和火箭还是不一样的,但也不妨把人当做火箭来算一算。假设质量为60kg,如果以4m/s的速度落地,那降落伞的直径需要10m左右。那么问题来了,去哪找这么大的窗帘?

所以,窗帘降落伞别想了,衣裤降落伞也别想了,科学地从天而降,还是用科学的结晶——降落伞吧。
哎,学了物理,生活不仅缺少了奇迹,还缺少了幻想,学了物理的人生,就是这样朴实无华,无聊且枯燥。
感谢“我们的天空”提供的专业审核
参考资料
[1] 维基百科,终端速度,https://zh.wikipedia.org/wiki/%E7%B5%82%E7%AB%AF%E9%80%9F%E5%BA%A6
[2] https://hypertextbook.com/facts/1998/JianHuang.shtml
[3] https://www.explainthatstuff.com/how-parachutes-work.html
[4] 伞兵跳伞时,如果主伞和备用伞都打不开,有哪些补救措施?- 量子玫瑰的回答 - 知乎
[5] https://www.guokr.com/article/441536/
[6] 专家解读翼型滑翔伞:为何仅15名伞兵能空降茂县
[7] https://www.rocketreviews.com/index.php
编辑:重光

↓ 点击标题即可查看 ↓
1. 15年前那场轰动电竞世界的瘟疫,惊动了美国CDC,还发了顶级期刊
2. 飞机为什么能飞起来?直到今天,科学家仍然没有答案
3. 电饭煲蛋糕硬核科学指南:从入门到放弃
4. 宅在家里不动,你的身体会发生什么变化?
5. 费曼:是学物理好还是学数学好?
6. 纳什:如何科学追求对象?
7. 鸡蛋为什么打不发?因为你发泡原理没学好
8. 葡萄干先晒后摘?解开童年疑惑之坚果加工流水线
9. 因为疫情在家的牛顿,都做了些什么?
10. 为什么!我!又走神了!