今天为大家总结高中数学所有公式,该掌握的知识必须熟练掌握哦~提示:建议保存 ☞各种移动端。

【集合】


【基本初等函数Ⅰ】


【函数应用】



【空间几何体】

【点、直线和平面的位置关系】


【空间向量与立体几何】



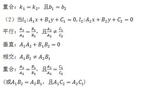
【直线与方程】



【圆与方程】


【圆锥曲线与方程】



【算法初步】


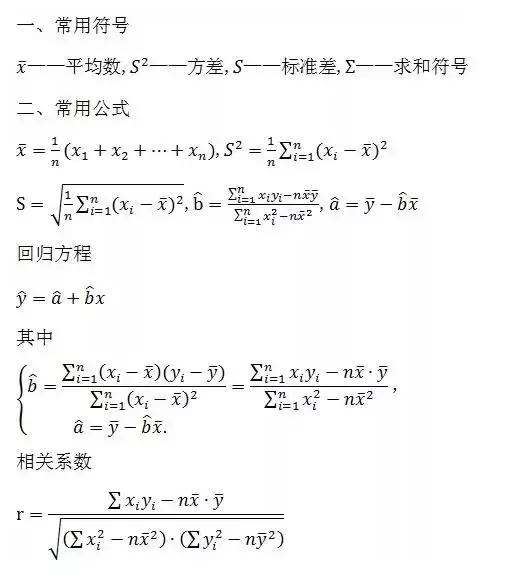
【统计】

【概率】

【离散型随机变量的分布列】


【三角函数】




【三角函数的图象与性质】


【三角恒等变换】

【解三角形】


【平面向量】


【数列】


【不等式】


【常用逻辑用语】


【导数及其应用】


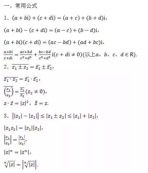
【复数】

【计数原理】


【坐标系与参数方程】



















