二元一次方程的解法:
定义:方程两边都是整式,含有两个未知数,并且含有未知数的项的次数都是1的方程,叫做二元一次方程.使方程左右两边相等的未知数的值叫做方程的解
你能区分这些方程吗?

(二元一次方程);

(一元一次方程);

(一元二次方程);

(二元二次方程)。
对二元一次方程概念的理解应注意以下几点:
①等号两边的代数式是否是整式;
②在方程中“元”是指未知数,‘二元’是指方程中含有两个未知数;
③未知数的项的次数都是1,实际上是指方程中最高次项的次数为1,在此可与多项式的次数进行比较理解,切不可理解为两个未知数的次数都是1.
解
使二元一次方程两边相等的一组未知数的值,叫做二元一次方程的一个解.
对二元一次方程的解的理解应注意以下几点:
①一般地,一个二元一次方程的解有无数个,且每一个解都是指一对数值,而不是指单独的一个未知数的值;
②二元一次方程的一个解是指使方程左右两边相等的一对未知数的值;反过来,如果一组数值能使二元一次方程左右两边相等,那么这一组数值就是方程的解;
③在求二元一次方程的解时,通常的做法是用一个未知数把另一个未知数表示出来,然后给定这个未知数一个值,相应地得到另一个未知数的值,这样可求得二元一次方程的一个解.
注意点
(1)二元一次方程组:由两个二元一次方程所组成的一组方程,叫做二元一次方程组.
(2)二元一次方程组的解:二元一次方程组中两个方程的公共解,叫做二元一次方程组的解.
对二元一次方程组的理解应注意:
①方程组各方程中,相同的字母必须代表同一数量,否则不能将两个方程合在一起.
②怎样检验一组数值是不是某个二元一次方程组的解,常用的方法如下:将这组数值分别代入方程组中的每个方程,只有当这组数值满足其中的所有方程时,才能说这组数值是此方程组的解,否则,如果这组数值不满足其中任一个方程,那么它就不是此方程组的解.
常用解法
编辑
代入消元法
(1)概念:将方程组中一个方程的某个未知数用含有另一个未知数的代数式表示出来,代入另一个方程中,消去一个未知数,得到一个一元一次方程,最后求得方程组的解. 这种解方程组的方法叫做代入消元法,简称代入法.
(2)代入法解二元一次方程组的步骤
①选取一个系数较简单的二元一次方程变形,用含有一个未知数的代数式表示另一个未知数;
②将变形后的方程代入另一个方程中,消去一个未知数,得到一个一元一次方程(在代入时,要注意不能代入原方程,只能代入另一个没有变形的方程中,以达到消元的目的. );
③解这个一元一次方程,求出未知数的值;
④将求得的未知数的值代入①中变形后的方程中,
求出另一个未知数的值;
⑤用“{”联立两个未知数的值,就是方程组的解;
⑥最后检验(代入原方程组中进行检验,方程是否满足左边=右边).
例



把第一个方程称为①,第二个方程称为②
由①得

③
③代入②得


把

代入③
得

则:这个二元一次方程组的解

加减消元法
(1)概念:当方程中两个方程的某一未知数的系数相等或互为相反数时,把这两个方程的两边相加或相减来消去这个未知数,从而将二元一次方程化为一元一次方程,最后求得方程组的解,这种解方程组的方法叫做加减消元法,简称加减法.
(2)加减法解二元一次方程组的步骤
①利用等式的基本性质,将原方程组中某个未知数的系数化成相等或相反数的形式;
②再利用等式的基本性质将变形后的两个方程相加或相减,消去一个未知数,得到一个一元一次方程(一定要将方程的两边都乘以同一个数,切忌只乘以一边,然后若未知数系数相等则用减法,若未知数系数互为相反数,则用加法);
③解这个一元一次方程,求出未知数的值;
④将求得的未知数的值代入原方程组中的任何一个方程中,
求出另一个未知数的值;
⑤用“{”联立两个未知数的值,就是方程组的解
;
⑥最后检验求得的结果是否正确(代入原方程组中进行检验,方程是否满足左边=右边)。
如:



把第一个方程称为①,第二个方程称为②
①

得到③

③-②得:


再把
代入①.②或③中求出x的值
解之得:

重点难点
本节重点内容是二元一次方程组的概念以及如何用代入法和加减法解二元一次方程组,难点是根据方程的具体形式选择合适的解法。
方程的解
编辑
使二元一次方程两边的值相等的两个未知数的一组值,叫做二元一次方程的解。
二元一次方程组的两个公共解,叫做一组二元一次方程组的解。
二元一次方程有无数个解,除非题目中有特殊条件。
但二元一次方程组只有唯一的一组解,即x,y的值只有一个。也有特殊的,例如无数个解:


无解:


扩展解法
编辑
顺序消元法
“消元”是解二元一次方程的基本思路。所谓“消元”就是减少未知数的个数,使多元方程最终转化为一元方程再解出未知数。这种将方程组中的未知数个数由多化少,逐一解决的想法,叫做消元思想。如:5x+6y=7 2x+3y=4,变为5x+6y=7 4x+6y=8
具体方法
代入消元法(常用,方法参见2.1)
加减消元法(常用,方法参见2.2)
顺序消元法(常用于计算机中,方法下述)
顺序消元法
设一 二元一次方程组

,

若

,则

得(3)式:

若(3)式中的

则可求出求根公式:

二元一次方程组求根公式
以上过程称为“顺序消元法”,对于多元方程组,求解原理相同。
因为在求解过程中只有数之间的运算,而没有整个式子的运算,因此这种方法被广泛地用于计算机中。
换元法
解数学题时,把某个式子看成一个整体,用一个变量去代替它,从而使问题得到简化,这叫换元法。换元的实质是转化,关键是构造元和设元,理论依据是等量代换,目的是变换研究对象,将问题移至新对象的知识背景中去研究,从而使非标准型问题标准化、复杂问题简单化,变得容易处理。
换元法又称辅助元素法、变量代换法。通过引进新的变量,可以把分散的条件联系起来,隐含的条件显露出来,或者把条件与结论联系起来。或者变为熟悉的形式,把复杂的计算和推证简化。
它可以化高次为低次、化分式为整式、化无理式为有理式、化超越式为代数式,在研究方程、不等式、函数、数列、三角等问题中有广泛的应用。
比如

解:设

为a,

为b
则,原方程式变为

解得:

由此:

方程组的解为:

设参数法


解:令

,

则方程②可写为:

→

→

所以

,

二元一次方程组推导过程:
在最后式中只有一个y未知数,求出y值(y=?),再代入a1x+b1y=k1;求出X。例题:
y=(2-3/4×0)/(1-3/4*×)=2/(-1/2)=-43x-4=2或4x-8=0 x=2推导简易方程:
方程=0;未知数0;1
图像法
二元一次方程组还可以用做图像的方法,即将相应二元一次方程改写成一次函数的表达式在同坐标系内画出图像,两条直线的交点坐标即二元一次方程组的解。
解向量法
今有一二元一次方程组

①
设矩阵A=

,向量

和

,根据矩阵和向量的乘积定义,再对比方程组可知有以下关系:

②
我们把②称作方程组①的矩阵形式
而矩阵A可看做是一次线性变换p,即把向量

按照线性变换p变换之后得到向量

。因此解方程的过程可看做是寻找一个向量

,使它经过线性变换p之后得到

。因为这是寻找一个向量的过程,所以又可以称之为解向量。
从直观上来理解上面那句话。例如把一个向量a逆时针旋转30°得到一个新的向量b,那么把b顺时针旋转30°之后,一定可以得到a。再比如把一个向量a的横纵坐标都扩大n倍之后得到向量b,那么把b的横纵坐标都缩小n倍之后,一定也可以得到a。因此,在已知b以及线性变换关系的情况下求出的a就是方程的解。
矩阵A和它的逆矩阵

对应的线性变换互逆,所以解向量的过程相当于是寻找矩阵

的逆矩阵。而根据矩阵的性质,一个矩阵

有逆矩阵的充要条件是二阶行列式

。所以,方程组有解的充要条件就是ad-bc≠0.
根据逆矩阵的求法,

的逆矩阵


即方程组的解为

该方法亦可作为二元一次方程组的求根公式。(前提是

!)
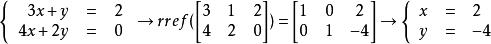
例题
用解向量法解二元一次方程组


此题中,

,

,

,

,

,

,

∴方程组有解,解为

















