

好市多Costco在上海开店的盛况,让国内很多做零售的很"心酸",国内分析好市多Costco的文章也不少,但让中国人来分析绝大部分生意在美国的公司,总是觉得差点意思,那么,美国人自己怎么看好市多Costco呢?
本文分析认为有11个理由,可以说明为什么Costco拥有极佳的商业模式,广泛而持久的护城河,以及为什么它仍然最有可能提供良好的股东回报。【湾区盒子BAYBOX】
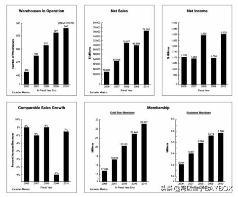
核心数据
Costco是一家经营约772个仓库的零售商。535个位于美国和波多黎各,100个在加拿大,39个在墨西哥,28个在英国,26个在日本,16个在韩国,13个在台湾,11个在澳大利亚,两个在西班牙,一个在冰岛和法国 Costco还在美国,加拿大,英国,墨西哥,韩国和台湾经营电子商务网站。此外,Costco的几乎所有仓库,助听中心和药房旁边都有加油站。
但是,Costco与其他零售商的真正区别在于它的批量购买和销售数量,而不是单独的商品,您必须成为购物的成员。
历史表现
在我们进一步挖掘之前,我将简要介绍一些显示Costco一直比较牛气的数据表现。
- 让我们从股价表现开始,这是非常了不起的:

相对于标准普尔500指数而言,其表现非常出色,而且在此期间比WMT好得多。
- 成员数量是Costco最重要的指标,并且正在增长:

左Y轴是会员收入,右轴是会员增长的五年滚动年复合增长率。显然,会员收入的增长正在放缓。
- 成员的增长带来了令人印象深刻且稳定的EPS增长:

每股盈利增长几乎与瑞士发条一样。左侧y轴为EPS,右侧y轴为EPS增长的滚动五年年复合增长率。当Costco较小时,显然增长较快,但自2002年以来一直稳定在10%左右。
那么,好市多Costco到底为什么能够保持持续增长?以下是11个重要原因
原因1:商业模式
零售业务很"简单":您购买商品,添加加价并将其出售给客户以获取利润。Costco选择了基于会员资格的不同模式:想要在Costco仓库购物的客户必须购买会员才能这样做。因此,Costco的策略与大多数零售商有所不同。我从年度报告中引用它的使命:
"以最低的价格不断为我们的会员提供优质的商品和服务。"
这是一个易于理解的模型,但复制并不容易,因为管理需要遵守规则来执行它。
截至2018年底,约有5200万人支付了会员费。仅作比较,这是世界人口的0.67%,但约占美国人口的28%。这令人印象深刻,但表明还有增长的空间。
Costco的商品加价幅度很低,而且几乎没有任何利润。由于忠诚的客户,它在营销上的花费更少,专注于质量最好的最赚钱的商品,大批量购买,比竞争对手少的商品,使用便宜的仓库,而且员工相对较少。Costco根本不想在物品上赚钱,因此可以提供非常低的价格。基本上所有利润都来自会员费。随着它的增长,它会增加供应商的杠杆率,从而降低价格。
我认为会员资格是服务费。该服务只是Costco使用其规模和效率以尽可能低的价格订购大宗商品的承诺。因此,最大的风险是管理层破坏了成员之间的信任或商誉。(好市多在资产负债表上没有任何善意,这有点讽刺:会员费完全取决于信托 - 无形资产)。【湾区盒子BAYBOX】
原因2:Costco为会员提供价值
我认为在投资之前要问的最重要的问题之一是:企业是否为客户/成员创造了任何价值?如果是这样,那么竞争优势就会更加持久。
Costco显然确实提供了价值。成员之间的保留率约为90%,这说明了一切,否则为什么需要更新呢?
我相信杰夫贝索斯曾经说过,优秀的公司努力建立一个伟大的产品,其实用不着到处大声喊。这显然适合Costco。
原因3:拥有股份和价值观的管理层
"我们的理念是以具有竞争力的价格为我们的会员提供优质的商品和服务。我们不会在短期内专注于最大限度地收取价格,而是寻求维持我们认为的'价格权威'成员的看法关于优质商品 - 始终如一地提供最具竞争力的价值。" - Costco 2018年度报告
彼得林奇曾经说过,你必须去找一个任何白痴都可以经营的生意,因为很快以后任何白痴都可能会经营它。我不同意。我认为"白痴"甚至可以毁掉最简单的商业模式,即使是像Costco这样简单的商业模式。错误的管理者可能会试图增加短期收益的利润,但这会使整个行动处于危险之中,并有可能破坏成员的信任。
这可能发生在好市多吗?我相信这不太可能。
我很高兴看到所有高管在公司有着至少25年的服务历史。他们都是内部招聘的,这预示着维护商业文化并避免破坏成员之间的信任。
原因4:股东与管理层之间的一致性
我相信Costco是少数真正关注利益相关者/股东的公司之一。
Charlie Munger不需要任何报告,是董事会成员,拥有184,400股价值4500万美元的股票。几年前,芒格说,好市多是他最钦佩的公司。
此外,伯克希尔哈撒韦公司拥有430万股股份,占公司股份的1%。
非执行董事会成员必须在加入董事会后五年内收购6,000股股份。截至今年,截至2018年底,非员工董事持有价值9000万美元的360,000股股票。
所有董事和高管共拥有952,000股股票,价值约2.35亿美元。最大的股东是首席执行官Craig Jelinek,拥有311,000股,第二名Charlie Munger是184,400股。【湾区盒子BAYBOX】
原因5:来自会员费的独特"浮动"
沃伦巴菲特以将保险业务的浮动转变为极好的投资而闻名。保险和银行业务是利用客户浮动的完美范例,但Costco使用相同的原则:在年初,会员在购买之前支付会员费。实际上,会员费是免息*款贷**,没有任何附加条件,当然也不可能违约。它基本上是一个没有到期日,没有兴趣和没有契约的"债券"。Costco可以用这种"债券"做任何事情。在我看来,这意味着Costco应该比竞争对手更高的估值。
例如,Costco可以使用前期会员费中的浮动来为运营资本要求提供资金,其最简单的形式是流动资产减去流动负债。
Costco拥有正向的营运资金,而沃尔玛则拥有负营运资金。由于正向的营运资金流,Costco可以通过使用内部资金轻松增长,并避免使用外部资金,例如债务或股权。此外,它更容易吸收任何"冲击",例如2008/09年发生的经济衰退。
会员费作为资产负债表中的流动负债,实际上这是一种永久责任。因此,营运资本实际上更加强大,并为有机增长提供更多资金。
不仅会员资助部分业务,而且在某种程度上也为供应商提供资金。这是因为Costco更快地扭转库存而不是向供应商付款。
原因6:经济衰退期的"抗跌性"
当我构建我的投资组合时,我首先要看的是经济收缩期间的运营和股市表现。
低波动率股票表现优异的主要原因是,它们在经济低迷时期的下跌幅度较小,因此从波动的股票中回升。两只股票以100美元交易,分别下跌20%和40%,第二年上涨20%和40%,第二年末价格分别为96美元和84美元。显然,波动性越小,产生更好的回报,并且开始第三年的水平高于波动的股票。由于复合效应,我总是喜欢尽可能少周期性的股票。
Costco在2008/09赛季表现如何?2008年7月,该公司的交易价格为55美元,最低价格为35美元。跌幅为36%,低于市场。更重要的是要考虑运营绩效:

【湾区盒子BAYBOX】
2009年净销售额下降1.5%,可比销售额下降4%,这是历史上第一次销售未达到历史新高。净收入下降15%。当经济收缩时,你不能指望增长,但必须考虑相对数字。Costco在危机期间获得了市场份额,从第五大零售商到第三大零售商。
以下是Costco在2009年年度报告中所写的内容:
"虽然我们的销售额和利润低于2008财年,但Costco在2009财年保持稳定盈利。在过去的财政年度,我们开设了20个新仓库;我们增加了会员卡持有人基数230万会员,会员续约保持强劲87%;我们的员工继续享有工作保障以及零售行业最好的工资和福利待遇之一。"
原因7:同样重要的雇员
好市多致力于低价,但矛盾的是高工资。在工资方面,COST选择了与大多数其他零售商不同的道路。联合创始人Jim Sinegal一再表示,会员很重要,但员工同样重要。
Costco公平地支付和对待员工,因此营业额低,生产率高。由于货架上的物品较少,员工更有效,可以提供更好的服务。
最新的美国客户满意度指数在线零售总结了员工的重要性:
"部门和折扣店的客户满意度下降1.3%,ACSI得分为76,因为该行业正在努力适应向网上购物的转变。店内客户服务也未能达到预期......尽管行业不景气,基于会员资格的仓库商店取得了成功.Costco领先该类别,稳定得分83。"
原因8:自有品牌
Kirkland Signature是Costco自己的品牌商品商标,以其在华盛顿的原始总部命名,并且已经发展成为一个独立的品牌。
Kirkland仅在Costco出售,无论是在商店还是在线,占销售额的25%。
柯克兰到底是什么?因为好市多是零售商,所以它不会制造任何东西。Kirkland产品由Costco的生产商/制造商专门生产。当Costco使用自己的Kirkland Signature(与生产商协商)以更低的成本生产同样的产品时,它可以做到这一点,同时生产至少与原始品牌相同的质量。这意味着Costco会员可以比其他品牌/品牌更便宜地购买它,同时知道质量至少达到标准。如果它无法击败原始品牌的价格,那么当然不会有该产品的柯克兰产品。
简而言之:柯克兰标签是质量和价值的代名词。
原因9:规模
随着好市多的发展壮大,它可以利用其规模。如果你可以购买批量,那么你可以继续压低价格。因此,与亚马逊相比,Costco可以提供具有竞争力的价格。
与Costco相比,亚马逊提供的客户购买数量较少,因此Costco实际上在价格方面优于亚马逊,至少在这些由Cheapism测试的100件商品上。
原因10:依靠内部有机增长而不依赖收购
通过销售更多更好的大宗商品来实现增长,但最重要的是以缓慢而有计划的方式开设新店。任何昂贵或管理不善的收购都不存在风险。
原因11:健康的资产负债表
资产负债表非常强劲。由于没有并购,资产负债表完全没有商誉和无形资产,这对于这样一家大公司来说是非常了不起的。这意味着减少股东权益的风险降低了。
长期债务约为EBIDA的1倍,股东权益的50%和总资产的16%。资产负债为60%。换言之,债务负担适中。
到2018年底,762个仓库中有605个在美国。土地和建筑物均由Costco拥有,在资产负债表中,按成本计价。很可能这些资产存在很多隐藏价值。【湾区盒子BAYBOX】
Costco哪里可能不受待见?
首先是估值,好市多将始终以溢价进行交易。目前,预测市盈率约为30.如果我们看历史估值,它主要以25的倍数交易,而过去几年甚至高于此。它在去年圣诞节触及25的PE(插入图表):

亚马逊是威胁吗?我不这么认为。由于其成员结构和有能力的管理,Costco的模型对零售业的大多数变化都非常不敏感。亚马逊似乎选择了实体店和网上的混合模式,但到目前为止,Costco与亚马逊的竞争一样。亚马逊Prime拥有更多会员,但好市多的模式一直很有弹性。
最大的风险是管理层以某种方式变得短视,并将价格提高到超出成员之间失去信任的水平。但我认为这个可能性很低。【湾区盒子BAYBOX】