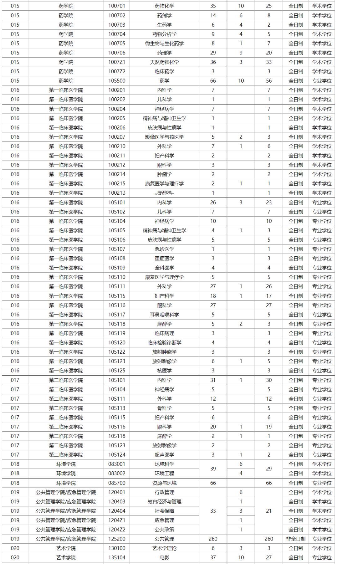
考研计划招生人数和考研报录比是考生择校择专业时的参考重点之一,因此考研报录比成为考生衡量报考难度的重要因素。为了节省考生们的时间,君君整理了 “暨南大学考研人数统计情况” 。 (当前官方新数据)
下面是暨南大学考研人数统计情况,仅供参考。




“择校择专业”猛戳这里>>>2024考研择校择专业-考研学校/专业选择-考研可以报几个学校-中公考研网
“院校排名”猛戳这里>>>2024考研专业/院校排名-研究生学校/专业排名-研究生院校排名-中公考研网
“考研英语”猛戳这里>>>2024考研英语-考研英语一-考研英语二-中公考研网