动态范围
动态范围(Dynamic range)是来自任何放大器的最大输出信号和最小输出信号之间的差异。通常,最大有用输出信号由放大器的输出压缩时开始设置。可以容忍的输出压缩量取决于所使用的信号调制和应用中的频谱配置要求。而在底端既最小输出信号功率是受噪声限制的。
动态范围通常有三种必须明确标识的测量类型。这些测量包括包络动态范围,功率控制动态范围和总动态范围。
信号包络
信号包络(signal envelope)是随时间推移的RF信号电压峰值的单边迹线,如图2-8所示。这意味着在极坐标系中信号包络等于时变信号幅度。信号包络不是物理上真实的信号。只有射频信号本身才是物理真实的。尽管如此,信号包络仍然是系统和发射机设计中非常有用的概念。

图2-8 信号包络的定义:调制的RF信号周期性地达到峰值的跟踪轨迹。
图2-8 信号包络的定义:调制的RF信号周期性地达到峰值的跟踪轨迹。
信号包络的特性对发射机设计具有显著的影响。当数字无线信号在调制时具有包络(幅度)变化时,则关于发射机在任何特定时刻或时间间隔输出的输出功率就存在相应的概率。为了理解这些属性,我们使用了三个概率测量参数。
概率密度函数(PDF,Probability density function)P(x):这是信号包络(幅度)具有特定值x的概率,并在仪器测量选择中显示为包络PDF。
累积分布函数(CDF,Cumulative distribution function )P(x <c):第一个感兴趣的累积概率是CDF,其报告包络值x小于或等于特定值c的概率。 CDF曲线是从0到c的PDF特性的积分。这必须是单调递增的曲线,因为包络值小于零的概率是零,并且包络小于峰值包络值的概率是1。信号的CDF曲线提供了有关低包络特性的有用细节,但是却没有关于信号峰值特性的详细信息。
互补累积分布函数(CCDF,Complementary cumulative distribution function )P(x> c):来自CDF的包络峰特征的信息非常少。为了解决这个问题,无线信号工程师使用互补累积密度函数,简单地从1中减去CDF(CCDF = 1-CDF)。当以对数标度绘制时,CCDF中的信息以牺牲低信号幅度的信息分辨率为代价来提供信号峰值特性的有用分辨率信息。
所有这些统计数据都来自PDF数据,这是从信号矢量图中获取的信号幅度的直方图。信号PDF测量通常以两种方式之一进行归一化:它们可以归一化为包络峰值,或者归一化为包络幅度的均方根(rms)值。图2-9(b)中显示的PDF被归一化为包络信号幅度的rms值,并且该归一化保持在图2-9(c)和2-9(d)中的相应CDF和CCDF曲线中。

图2-9
图2-9 包络变化信号的概率测量示例:(a)时间升余弦(TRC,temporal-raised-cosine )16 QAM信号的矢量图; (b)幅度PDF; (c)CDF和CCDF以线性单位表示; (d)该信号的CCDF以对数为单位表示。
从这些统计数据中,我们可以确定信号包络的以下属性:
•峰值包络功率(PEP,peak envelope power):信号可能具有的最高功率,发生在信号包络中的最大值;
•rms包络(rms envelope):信号包络的均方根值;
•包络底(envelope floor):信号包络的最小值 - 必须是非负的;
•峰值平均功率比(PAPR,peak-to-average power ratio):PEP与信号平均功率的线性比例:PAPR = 10log10(papr);
•平均与最小功率比(AMPR,average to minimum power ratio ):信号PEP与信号最小功率的线性比例:AMPR = 10log10(ampr);
•包络动态范围(edr,envelope dynamic range):最大包络值与最小包络值的电压比。 1 <edr <∞
•上升沿和下降沿时间:信号包络从一个值上升(或下降)到另一个值所需的时间;
•转换速率(slew rate):信号包络的第一阶导数,通常是该导数的峰值 - 转换速率通常在低包络值时最高,但并非总是如此。这些包络属性如图2-10所示。

图2-10 信号包络的定义,如图2-8中信号的包络所示。
图2-10 信号包络的定义,如图2-8中信号的包络所示。
对功率放大器的设计者来说处理具有有限(非零)的包络最低值的信号是有利的。这是因为调制信号的极性特征在包络值为零时会遭遇到不连续性。考虑图2-11(a)的二进制相移键控(BPSK)信号的通用实现。如图2-11(b)所示,该信号的包络在所有点都是连续的,但其导数在包络为零的位置不连续。信号相位,如图2-11(c)所示,在同一点也是不连续的,在包络零点之前有一个值,并且刚好超过包络零点时移动180度。这些极性不连续性(记住从(2.1)到(2.4)出来的物理信号是极性的)要求PA在信号零幅度时特别线性。

图2-11
图2-11 包络过零过渡时具有极性不连续性:(a)原始信号; (b)该信号的包络,在包络零点处具有未定义的一阶导数,以及(c)信号的相位特性,在每个包络零点处具有相位不连续性。




许多常用信号具有在任何信号矢量图的中心处通过零幅度的转变。图2-12所示的示例是QPSK,64 QAM和OFDM等调制信号的星座图示例。这些信号中的每一个都显示出了矢量图中心的转换,这意味着这些信号中的每一个都具有图2-11中所示的特征。经验还证实,这些信号中的每一个都需要功率放大器电路具有严格的线性特性要求。

图2-12
图2-12 具有无限EDR(envelope dynamic range)的信号:(a)QPSK; (b)64 QAM; (c)OFDM。所有这些信号都在其矢量图的中心处闭合。
避免这些不连续性的传统方法是设计某种调制方法,使得从一个星座点永远不会有直接路径通过相量原点到达另一个星座点。常用技术如图2-13所示,前两个信号使用称为星座旋转的技术,其中实际上使用了两个星座(空心圆,圆圈)。任何信号转换仅发生在一个星座点和另一个星座点之间,并且从不在同一个星座内。这消除了通过信号原点的星座转移,并打开了矢量图的中心。图2-13(c)中使用了另一种技术,其中同相(I)和正交相位(Q)调制波形偏移了符号时间的一半。该技术还消除了通过原点进行任何状态转移的可能性。

图2-13
图2-13 带有限包络底的信号:(a)用于EDGE的3π/ 16-8PSK; (b)用于NADC,TETRA和Bluetooth TM EDR的π/ 4-DQPSK,以及(c)具有直线符号转换的O-QPSK。所有这些信号在其矢量图的中心都有开放区域。
还可以通过使用信号处理来消除引起这些问题的过原点(origin crossings)现象。结果是在矢量图中打开中心区域,导致该过程的“吹孔(hole blowing)”的描述性名称。这个信号处理可以完全不影响信号PSD(功率谱分布)。不幸的是,信号转换的必要变化是一种失真,因此必将导致误差矢量幅度(EVM)标准的降低。
功率控制
通信范围由发射功率和接收器灵敏度的组合设置的。一般原则(以及监管规则)要求发射机应该产生与无线通信链路的基本可靠性所需的功率一样多的功率。这里的功率测量是有效值( rms)功率。在评估任何无线通信链路的覆盖范围和覆盖区域时,信号包络的动态(envelope dynamics)并不重要。只有信号的平均功率很重要。
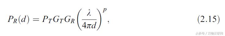
众所周知,由于必须覆盖通过的距离的变化,导致发射机功率需要变化。接收到的功率PR( received power)与发射机功率PT(transmitter power )之间的特定距离d之间的关系是:

其中GT是发射天线的增益(由于方向性); gR是接收天线的增益(由于方向性),λ= c / f是无线电信号在自由空间中的波长。这里指数p描述了无线电信道的传播特性:p = 2是自由空间视距(LOS,line of sight)传播的最佳情况,p~3是被遮挡的非视距(NLOS,non line of sight)空间,p~4是反射的信号,等等。
为确保接收机的固定接收功率为-90 dBm,如果到接收机的距离增加,则发射机输出功率必须增加。通过系统的功率控制机制确保发射机具有正确的输出功率。图2-14显示了一个代表性情况,其中在2 GHz的频率下,组合天线增益为10 dB。根据传播特性描述符p的值,所需的发射机功率随着距离的增加相对缓慢(p = 2)或者非常快(p = 4)。 p的值很少是沿着地面无线电传播路径的恒定值。标记为“3m break(拐点)”的图2-14中的曲线显示了当接收机在3米内传播特性表现为p = 2时所需的发射功率,并且在该示例的环境中p在从接收机的距离大于3米时具有的值为4。

图2-14 维持-90 dBm进入基站接收机所需的上行链路功率。
总动态范围
对于任何发射机电路,总动态范围是功率控制动态范围和包络动态范围的总和。例如,如果所用调制的包络动态范围为20 dB,并且功率控制动态范围为40 dB,则发射机的总动态范围为20 + 40 = 60 dB。图2-15显示了第三代蜂窝移动台发射机动态范围的一种衡量标准,显示出包括平均功率控制动态范围,加上包络变化动态范围的总输出信号动态范围超过120 dB。

图2-15 在指定功率控制最大值和最小值下的WCDMA PSD测量的复合叠加
带宽扩展
具有绝对最小带宽的信号是纯正弦波。与纯正弦波的任何偏差都需要存在额外的频率分量,这是傅立叶变换的要求。来自正弦波形的这种变化需要某种非线性操作。因此,任何非线性操作都必须相应地增加信号的带宽。反过来也是如此:如果信号的带宽增加,则必然发生了非线性过程。这种特性适用于包络信号和RF载波信号。而这里感兴趣的带宽扩展(bandwidth expansion)与包络有关。
例如,考虑具有单音正弦调制的DSB-SC(具有抑制载波的双边带)信号,如图2-11(a)所示。该调制信号的RF带宽是调制频率的两倍,具有以不存在的载波为中心的单音上边带和下边带。如图2-11(b)所示,包络是RF峰值的幅度轨迹(仅限于正号),在这种情况下的调制音调是一种全波整流正弦波形。该包络的频谱具有许多偶次谐波,为了精确地构建信号过零点(zero crossing),所有这些偶次谐波都是必需的。因此,即使在这种非常简单的情况下,包络的带宽也远大于RF信号本身的带宽。
除了恒定包络信号之外,任何信号的包络(幅度)分量在带宽上比在输出RF信号中宽。这是信号同相和正交分量与信号幅度之间非线性关系的直接结果:

仅相位信号还受到来自原始包络变化信号的带宽扩展的影响。确定信号的相位也是线性同相和正交分量的非线性关系:

来自放大器非线性的频谱再生在仅有相位信息的信号处最大化,因为它是从信号中去除所有包络变化的最终结果。此调制组件带宽扩展的示例如图2-16所示。

图2-16 从转换到极坐标的调制信号分量带宽扩展的一个示例。
相关文献中的一个常见经验法则是包络信号带宽在预期信号带宽的五倍和七倍之间。这是否真实完全取决于实际的信号调制细节以及发射机输出端允许的失真(例如带内EVM,带外ACLR)。实际上,所有这一切都在说我们只关心包络信号带宽达到某一点。毫不奇怪,该带宽基本上与需要校正三阶,五阶和七阶失真分量的失真校正系统的带宽相同。从技术上讲,对于任何过零信号,A(t)和φ(t)的真实带宽都是有限的,因为在数学上,无论评估频率有多高,信号功率谱密度(PSD,power spectral density)都不会精确到零。
本头条号后面会陆续讲解介绍动态电源射频发射机的的基本结构以及工作行为和原理,敬请关注。
(完)