S1E0 前言 XRD整体知识框架介绍
大家好,今天给大家分享的内容是XRD基础知识。
做这个分享的原因是网上的XRD知识大多数太基础,感觉懂了又感觉不是很懂,非常入门,还有的又很偏都是物理公式,非物理专业比较吃力。所以想简单展开讲讲X射线粉末衍射的知识,也作为自己对这方面知识的一个总结。
今天我写的X射线内容难度是中等,比大多数五分钟了解XRD的内容深一点,比系统的X射线衍射课程简单很多;主要受众是不太懂X射线衍射的同学和已经知道X射线衍射、布拉格方程,但是更具体的原理不太懂、精修也不太懂的同学。因为还是有点难度,假如你什么都不懂,但是想快速了解,建议先去看其他视频,搜关键词XRD、XRD绘图等,假如你已经很懂X射线衍射原理,已经熟练使用GSAS、Fullprof、Highscore等软件,那么恳请批评指正。
先来看下我需要讲的X射线衍射内容的逻辑顺序。内容分为XRD原理、XRD制样及操作、物相分析、Origin绘图、XRD精修这五个部分。主要内容是放在XRD原理部分,后续的还没完全整理完全,会一点一点放出来。课程顺序目前根据篇幅分为10个,看具体进程或许会添加或删减。

X衍射知识点框架

课程顺序
其中XRD原理部分主要可以搞懂以下这些问题:什么是X射线?X射线怎么产生的?为什么要用X射线做衍射?X射线是跟物质有哪些作用?什么是衍射?衍射和散射有什么区别?为什么XRD图会在不同的角度出峰?为什么会有基线的存在?为什么不同的峰高低不同?为什么峰有的窄有的宽?XRD主要原理是什么?大家看完之后,可以再回答这几个问题复习一下。

看完XRD原理需要解决的问题
由于本人水平有限,所以讲的内容可能有错误的、遗漏的、片面的地方,恳请大家在评论区批评指正,会及时修改错误。
XRD原理-X射线的基本知识
前面已经写过XRD的整体知识框架,以及后续的分享顺序安排,这次主要来看下X射线的基本知识。由于本人水平有限,所以讲的内容可能有错误的、遗漏的、片面的地方,恳请大家在评论区批评指正,会及时修改错误。
今天要讲的内容框架如下。

1.1 XRD定义及用途
XRD全称为X-Ray Diffraction,X射线衍射,所以称为XRD
XRD具体用途是什么呢?来看下定义,即利用X射线在晶体中的衍射现象来分析材料的晶体结构、晶格参数、晶格缺陷(位错等)、不同结构相的含量及内应力的方法。具体来说,XRD最简单的应用就是来看晶体的结构,不同的结构会出现不同的XRD谱图。比如你制备一个材料,那么具体有没有合成出来呢?不能说你和文献方法一样就是合成出来了吧,你得证明一下,那就去扫个XRD,和你要的物质的标准卡片比对一下,假如正确就是合成出来,假如不一致,那就物相分析看你具体合成了什么,杂质是什么?当然这里说的都是晶体的结构,假如是非晶体,需要用其他表征来分析结构。XRD谱图不止能够看结构是什么物质,还能通过谱图的其他信息比如峰的左右偏移来看掺杂元素是否在结构的角度上掺杂进去,还能够通过峰形峰位等信息做精修来看晶格常数abc是多少、晶格缺陷是怎样的,假如结构是多相的还可以半定量的看具体每个成分的含量是多少。以上都是XRD的用途。
1.2 X射线的本质
那么X射线衍射中的X射线是什么呢?X射线的本质是电磁波的一种,具有波粒二象性。是伦琴发现的。我们需要花一些篇幅来讲电磁波,分清电磁波、光、光子、可见光、电子、中子等概念,电磁波谱包括无线电波、微波、红外光、可见光、紫外光、X射线、伽马射线等。以上波长从大到小,能量从小到大排列。要注意需要把电磁波和电子、中子区分开。电子主要是电子束的形式做表征,比如扫描电镜、透射电镜等,利用电子打到物体上产生的二次电子、俄歇电子、背散射电子来看物体的形貌,另外电子也是可以做衍射的。而中子大家见的不多,中子散射一般是国家的大科学装置才能做,实验室不具备这样的条件,比如东莞那边有个散裂源可以专门做中子衍射等试验,当然核反应堆也可以用引出中子来做试验。而电磁波是我们平时最常用的表征手段,电磁波的传递介质是光子,所以速度是光速,在人类还没有发现电磁波之前,一直把可见光叫做光,现在我们知道可见光只是电磁波的一种, X射线,紫外光、红外光都是电磁波的一部分,都具有波粒二象性,即传递的时候是体现出波动性,反应的时候体现的是粒子,量子化学也是基于此展开的,也就是很多反应或者能量表面上看是连续的,其实都是一份一份传递的。而波动性也正是衍射、干涉等物理现象产生的原因。实验室里我们有很多利用电磁波进行的表征,比如红外光谱仪、紫外分光光度计、拉曼光谱仪、XPS(光电子能谱),波长覆盖范围广,X射线也比较容易获取,结构分析也比较细致。当然,这些波段也是同步辐射覆盖的范围,同步辐射也是国家的大科学装置,也是主要利用电磁波来进行各种试验,有兴趣的话后面可以专门讲讲。

电磁波谱
1.3 X射线的性质
那么话题拉回来,我们已经知道X射线是电磁波的一种,具有波粒二象性。那我们来看下X射线的性质,X射线波长介于0.01-1000Å,1nm=10Å。其实还可以再细分成软X射线和硬X射线,主要是能量上的区别,这里不多展开。同时,X射线的穿透性也是需要了解一下,因为X射线比较危险,需要知道他的性质才能知道如何做好防护。X射线可以穿透2-3cm 木板、15 mm 铝板、1.5mm 铅板。实验室XRD仪器开关的门一般是玻璃做的,其中玻璃里面含有铅,厚度大概是1cm,不用担心安全问题,有些实验室也把XRD仪器单独放一个房间,也是保险起见。我们实验室用的XRD是布鲁克的D8 advance,假如里面正在产生X射线,突然开门的话,X射线会自动关闭的。另外介绍一下,同步辐射光源实验的屋子整个都是用铅板做的,很厚,价格几百万。
1.4 用X射线做衍射的原因
那我们为什么要用X射线作衍射呢?我们已经知道有X射线衍射,电子衍射和中子衍射,电磁波有那么多种“光”,为什么选择X射线这一波段来做衍射?是因为衍射依赖于晶体结构和入射粒子的波长,如果光的波长很大比如5000Å,则被晶体单个原*弹子**性散射的波叠加之后,通常得出的光是折射光,就好像一个“直线”的光碰到原子只会发生偏移和穿透,而干涉性就比较难得到。但是假如辐射的波长和晶格常数相当或者小于晶格常数,那么就会出现衍射现象。
1.5 X射线的产生方式
那么X射线是怎么产生的呢?这里我们主要讨论的是人造的X射线,太空中的X射线通常是一些高温高能的物质辐射产生,这里不多叙述。一般X射线的产生有四个方式,分别是X射线管、激光等离子体、同步辐射和X射线激光。我们主要介绍实验室用的XRD的X射线产生方式(X射线管),次要介绍同步辐射X射线的产生。其他可以去网上自行搜索查看。
1.5.1 射线管产生X射线方式
实验室XRD用的X射线管产生X射线的原理简单来说就是由高速运动的带电粒子与某种物质撞击后与物质的内层电子相互作用产生X射线。具体来说,可以一边看图示一边看步骤,步骤是:
- 产生自由电子。用钨丝制成阴极,通电流后可以释放辐射电子。
- 使电子作定向高速运动。X射线需要在高真空下运动,假如是空气中X射线会有衰减。
- 电子在运动路径上击中阳极靶材。阳极称为靶。常用靶材有Cu,Mo,还有Cr, Fe, Co, Ag, Al等。打的位置是慢慢旋转的靶的外围的一个焦点,这样方便靶其他部分冷却。焦点一般是1*10mm长方形。电子打到靶上只有1%的能量能激发出X射线,其余99%都变成热能。所以一般XRD都需要水冷机,防止阳极靶材融化。

旋转靶示意图

旋转靶真实图片
- 电子和阳极靶材的作用产生X射线。电子与靶碰撞时,会和靶材的电子层作用.电子本身会失去一部分能量,另里一部分会以光子的形式辐射出去. 光子是电磁波的载体,所以就是以电磁波的形式释放出去.不同的靶材电子层不一样,所以会产生不同波长的X射线. 常见Cu靶发出的X射线为1.5406Å。Mo靶为0.7093Å。1纳米=10Å。
- X射线发射出去与物质作用。产生的X射线通过一个窗口才能跑出X射线管。窗口由金属铍制成或者由硼酸铍锂构成的林德曼玻璃制成。不用普通玻璃,因为普通玻璃会吸收X射线。

X射线管剖面图

X射线管侧面示意图
1.5.2 同步辐射产生X射线方式
讲完实验室XRD射线管产生X射线的原理后,再简单讲下同步辐射的X射线产生方式。因为高能电子在强大磁偏转力作用下,会发射出电磁波。所以同步辐射就利用同步加速器加速电子,再让电子做磁偏转,电子就会沿着偏转轨道切线方向发射连续谱的电磁波。所以一个切线就可以拉出来做一个线站,这里不多介绍,感兴趣后面可以专门讲。

同步辐射光源
1.6 X射线谱
我们知道X射线是有不同的波长的,那么产生的X射线波长、强度肯定是参差不齐的。所以我们还需要认识一下X射线谱。X射线谱分为连续X射线谱和特征X射线谱。
连续X射线谱就是对X射线管施加不同的电压,会产生不同波长和强度的X射线所得到的谱图。电压越高,产生的光子越多,X射线强度越大。在连续X射线谱中,发现在某两个波长处会有尖锐的峰,电压高低只会改变峰的强度,并不会改变峰位。这两个峰对应的波长由物质的电子层性质决定,即相同的靶材激发的两个峰峰位都一样,所以称为特征X射线。由特征X射线构成的X射线谱称为特征X射线谱。这两个特征峰我们称为Kα1和Kα2。

连续X射线谱和特征X射线谱

不同电压电流靶材的X射线强度
具体特征峰产生的原因如下: 物质的电子层的主量子数n=1,2,3..时,分别称为K,L,M..层.电子的排布遵从能量最低原理,先填充低能量层,再填充高能量层。
当外来的高速粒子(电子或者光子)能量足够大时,可以将电子层的某个电子击出原子系统,此时出现一个空位,能量处于不稳定的状态(激发态),会有更外层的电子跃迁到空位上,跃迁的时候会辐射出光子,也就是X射线.K系射线,L系射线等分别指的是外层电子跃迁到K层和L层。α和β分别指的是跨越一层主电子层(例如L到K,M到L)和两层主电子层(例如M跃迁到K),1和2分别指的是从L层不同轨道跃迁到其他电子层,所以Kα1指的是从L层电子较多轨道电子跃迁到k层产生的X射线。不同轨道电子数不同,跃迁数量就不同,所以Kα1和Kα2强度不同,kα1:kα2=2:1。M和L层谱线波长长,强度弱,易被物质吸收,所以以K系为主。

不同电子壳层激发

kα1和kα2
由于产生的X射线是有X射线谱的,也就是说产生的X射线波长和强度都参差不齐,但是我们一般实验用的都是单色光,也就是统一波长的X射线,那要怎么办呢?所以我们就要利用滤波片来“滤”掉其他波长的X射线,这里的滤打了双引号,因为这其实是利用某种物质来吸收我们不需要的其他波长的X射线,留下我们需要的单色光。所以我们需要来讨论一下X射线与物质的作用部分。
1.7 X射线与物质的作用
前面说过要利用某种物质来吸收X射线达到滤光的作用,还有我们利用X射线来做衍射,都涉及到了X射线与物质的作用,所以我们需要系统的展开讲一下。X射线与物质作用主要是三种:一是X射线的散射,二是X射线的吸收,三是X射线的透射。X射线的散射又分为相干散射(汤姆逊散射),非相干散射(康普顿散射)。X射线的吸收主要就是吸收,但是吸收之后可能会产生光电效应,俄歇效应等。X射线的透射就是透过去。我们主要研究前两个作用。

入射X射线与物质的作用
1.7.1 X射线的散射
我们先来看下产生衍射的原因,相干散射。相干散射(汤姆逊散射)就是X射线和原子的内层电子相撞时候,光子把能量都给电子,电子受到X射线影响受迫振动,不断加速或者减速直到振动频率与入射X射线相同.因为变速的带电粒子会向四周辐射出电磁波,所以此时的电子又变成一个电磁波源可以向外发射X射线.由于振动方向相同,频率相同,相位差恒定,所以称为相干散射。这也是产生衍射需要的作用,这也就是XRD谱图上出峰的原因,相干产生衍射,衍射强度叠加从而出峰。
再来看下XRD谱图导致背底产生的作用,非相干散射。非相干散射(康普顿散射)就是X射线与外层电子或者金属晶体中的自由电子碰撞,这个电子会被撞离原运行方向并带走光子的一部分动能称为反冲电子。而原来的X射线会损失一部分能量,使得波长增加并与原方向偏离2θ角。影响: 非相干散射不参与晶体对X射线的衍射,只会在衍射图中形成强度随着sinθ/λ增加而增加的背底,不利于衍射精度。

X射线相干散射

X射线非相干散射
我们一直在说散射,却没说衍射,散射和衍射是什么关系,有什么区别呢?1)散射是光(电磁波)对实在物体(粒子)对的相互作用的结果,而衍射一般则用于没有物体,比如说空孔对光(电磁波)的相互作用的结果。2)从相干性来看,散射一般不论相干与否、弹性与否,是个总称。而衍射则是强调了相互作用后相干性的特点。3)从散射的空间分布来看,不强调某个特定方向的时候泛说散射,而要强调某个特定的模式、方向的分布时则说衍射。
1.7.2 X射线吸收
说完散射的作用,再来讲讲X射线吸收。这部分其实对于我们今天讲的XRD应用不多,主要是应用在靶材的选择和滤波片的选择上。但是作为补充知识了解一下绝对没问题的。其实X射线吸收的作用非常重要,因为X射线吸收作用远大于散射作用,散射是发生衍射的基础,可以用晶体结构分析;而X射线吸收与元素、化合价有关,可用于材料的成分、价态分析。假如后面需要做X射线吸收谱,XAS、XAFS、EXAFS、NEXAS、XNES等,这些都可以作为基础知识,这里只作简单介绍,具体后面可以仔细讲讲。
简单说X射线吸收其实就是X射线照射到物体表面之后,一部分通过物质,一部分要被物质吸收。那说到吸收,具体吸收多少呢,就需要引出X射线吸收系数。吸收系数从宏观到微观可以分为线吸收系数、质量吸收系数以及和波长元素的吸收系数。线吸收系数定义:X射线穿透物质后的强度衰减与射线在物质中经过的距离成正比。公式为: ��=�0��−μ�
入射线的强度为I0,进入一块密度均匀的吸收体,在x处时其强度为Ix,μ称为线衰减系数,x为试样厚度。质量吸收系数指的是吸收和物质本身性质的关系。公式为 ��=�0��−(μ/ρ)ρ�
ρ为吸收体的密度,(μ/ρ)称为质量吸收系数,它是物质固有的特性,对于一定波长的入射X射线,每种物质都具有一定的值。吸收系数和波长及元素的关系如下,由于元素的吸收系数是入射线的波长和吸收元素原子序数的函数。这个关系也是质量吸收系数的展开,公式为 μ/ρ=�λ3�3 ;K为常数,波长λ,Z是原子序数。可以看出这三个吸收系数由宏观到微观,最终还是扯到了和元素波长有关。
说完了吸收多少的问题(吸收系数),应该再说说吸收之后发生了作用的问题,这里作用主要分为光电效应和俄歇效应。光电效应定义是入射X射线的光量子与物质原子中电子相互碰撞产生的物理效应。过程如下:入射光量子能量足够大时,可以从被照射物质的原子内部(比如K层)击出一个电子,同时外层高能态电子要向内层K空位跃迁,辐射出一个特征X射线。俄歇效应就是原子发射的一个电子导致另一个或多个电子(俄歇电子)被发射出来而非辐射X射线(不能用光电效应解释),使原子、分子成为高阶离子的物理现象,是伴随一个电子能量降低的同时,另一个(或多个)电子能量增高的跃迁过程。这里由于篇幅有限,不作过多阐述。
那么我们学了吸收的作用,还是要来看看X射线吸收在X射线衍射应用中的应用。这边主要还是利用吸收限的应用。前面提到有两个:滤波片的选择和阳极靶的选择。先来看看滤波片的选择,我们一般需要单色的X射线,即波长一定的X射线,但是一般K系谱线有Kα和Kβ,需要滤掉一条。所以可以用质量吸收系数为μm吸收限为λk的物质,使得强烈吸收λ<λk的X射线。所以要选λk在Kα和Kβ之间并尽量靠近Kα的金属片作为滤波片。再来看看阳极靶的选择,在X射线衍射实验中:如果所用X射线波长较短,正好小于样品组成元素的吸收限,则X射线将大量地被吸收,产生荧光现象,造成衍射图上不希望有的深背景;如果所用X射线波长正好等于或稍大于吸收限,则吸收最小。因此进行衍射实验时应该依据样品的组成来合理地选择工作靶的种类:应保证样品中最轻元素(钙和原子序数比钙小的元素除外)的原子序数比靶材元素的原子序数稍大或相等。如果靶材元素的原子序数比样品中的元素原子序数大2~4,则X射线将被大量吸收因而产生严重的荧光现象,不利于衍射分析。比如分析Fe试样,应该尽量用Co靶或Fe靶,假如用Ni靶,则背底会很高。

不加滤波片和加滤波片特征峰对比
结语:本次分享讲了X射线的原理部分,已经可以回答前面我们提过的一部分问题:什么是X射线?X射线怎么产生的?为什么要用X射线做衍射?X射线是跟物质有哪些作用?那么X射线衍射的X射线部分我们解决后,下一步就是解决什么是衍射?X射线具体在晶格间是如何产生衍射的?为什么XRD图会在不同的角度出峰?为什么不同的峰高低不同?为什么峰有的窄有的宽?XRD主要原理是什么?下次分享将学习XRD原理部分的下半节衍射部分。
XRD原理-衍射基本知识 布拉格方程
本系列的文章主要着重于粉末X射线衍射的相关知识。S1E0已经写过了粉末XRD整体学习框架,简单交代了学习背景以及学习难度;S1E1我们讲完了X射线的原理部分,已经可以回答了下列问题:什么是X射线?X射线怎么产生的?为什么要用X射线做衍射?X射线是跟物质有哪些作用?
而今天的内容主要着重于粉末XRD原理部分的衍射相关的知识。学习完毕后可以回答以下问题:什么是衍射?X射线具体在晶格间是如何产生衍射的?为什么XRD图会在不同的角度出峰?XRD主要原理是什么?布拉格方程具体是如何推导的?有哪些其他的衍射的方法?
今天要讲的内容框架如下:

内容框架
1.1 引言
光去强行记住一些知识太过枯燥,但是假如我们假如知道这些知识的发展历程,或许对这两个公式记得更加清楚。
让我们把时间拉回1912年,那个时候,物理学家已经发现了光的衍射现象,但是证明X射线是一种波的证据还是太少。同时晶体学家也慢慢认识到晶体的基本知识,间距大概是1~10Å。这个时候劳厄(Laue)和学生讨论光的散射角的时候,突然想到,假如X射线假如是一种波的话,那么就会在合适的光栅上产生衍射,但是那么小的光栅无法加工出来,但是晶体假如跟晶体学家推断的一样是这样的周期性排列的结构,那能不能用晶体作为光栅呢。于是赶忙做实验验证,带了两名研究生用CuSO4·5H2O晶体作为试样,得到了第一张投射花样的照片,并且经过研究,还推导出了X射线在晶体衍射的几何规律,这就是著名的Laue方程。Laue发表论文之后,两个英国人看到他的报告觉得很有意思,分析了他的实验,在同一年推导出了比Laue方程更加简单的衍射公式-布拉格方程。这俩人就是布拉格父子。
1.2 衍射类型
既然说到衍射,那肯定要把用于表征物质的几种衍射类型给说全了,衍射类型分为X射线衍射(光子衍射),中子衍射,电子衍射。这三者的区别在于,X射线是电磁波、不带电没有磁性,电子带负电,中子不带电、质量较大而且具有磁性。所以导致这三者在波长(动量)与频率(能量)之间的关系截然不同。X射线由于不具有质量,更多的是展示波的性质,同时波长比晶格稍小,所以对于分析晶体的晶胞参数很有效。而电子波长短,衍射强度大,穿透能力弱,对于分析微区结构很有优势,透射电镜通常会用电子衍射。中子质量大,主要是和原子核作用,所以对轻原子敏感,也可以分辨同位素,而X射线主要是和电子层作用,所以测电子多的元素(原子序数大的元素)比较有优势。中子对于轻原子(如H、N、O)散射很强,测量起来具有优势,穿透性很高,测量起来也是无损测量。这三个衍射方式可以互相辅助。更为具体的原理和优缺点大家可以另外查询,这里不多赘述。
另外补充一点:电子虽然是一种物质,但是也具有波的性质。关于物质波也有个小故事,当年,爱因斯坦认为,波有粒子特性(波粒二象性),而德布罗意大胆猜想,物质也有波的性质,称其为物质波。若干年后,几位年轻的科学家,用电子(一种粒子物质)做了光栅衍射成功,证明他的猜想正确。

三种衍射方式
1.3 简单晶体结构知识
晶体结构内容有点多,有很多基本概念和示意图,建议大家系统性的阅读结构化学的相关教材。这里我只为了内容的完整性简单的叙述一点。
物质有三种聚集态,分别为气态、液态、固态。固态分为晶体、非晶体、准晶体。晶体就是原子呈周期性排列的固体物质。非晶体就是原子呈无序排列的固体物质。准晶体是一种介于晶体和非晶体之间的固体。对于X射线衍射,我们主要关注晶体。晶体具有均匀性(长程有序)和各向异性,还具有确定的熔点。这是初中化学的知识,再来用结构化学叙述一下晶体的相关概念。
晶体宏观特征是由于晶体内原子分子等微粒在空间的周期排列的结果,可抽象成为一个数学上的点阵。点阵有直线点阵、平面点阵、空间点阵。直线点阵的形状是不同长度的线段。平面点阵有4种形状5种形式,其他可以由这几种推出。空间点阵有7种形状(七大晶系)、14种形式(14个布拉维格子)、230个空间群,其他可以由这几种推出。如图所示。

平面点阵

空间点阵,七大晶系

空间点阵变化的由来
晶胞是点阵结构中划分出的平行六面体,它代表晶体结构的基本重复单位。晶胞的两个基本要素,一是晶胞的大小和形状,二是晶胞的内容。晶胞的大小和形状可用晶胞参数来表示,晶轴三个方向确定后,a,b,c,α,β,γ描述晶胞边长、晶面夹角,并据此确定晶胞所属晶系。晶胞的内容包括原子的种类、数目和原子的位置(原子的分数坐标来描述)。一般可以*载下**cif文件来获得晶胞信息,后面晶体结构数据库那方面内容会讲到。

晶轴方向
晶面是点阵结构中平面点阵面。晶面在三个晶轴上的倒数之比可以化为一组互质的整数比,这叫有理数定理。例如与xyz轴截距分别为3,2,1,则倒数为1/3,1/2、1/1,则晶面为(236)(用圆括号表示晶面)。晶面族是晶体中原子、离子或分子排列完全相同的所有晶面。用大括号表示,例如{100}。
晶面间距是任三个晶轴上截数为整数的一族晶面中,相邻晶面间的垂直距离。每个晶系的晶面间距公式不同。给出三个较为常用的公式。

常用的三个晶面间距公式
晶体几何方面的知识大致就介绍一些最基础的,上述的有些定义和公式后面会用到,所以放出来方便后续知识展开。
1.4 衍射的概念
终于说到衍射,先来简单介绍一下衍射。衍射是干涉的结果,由于X射线具有波的性质,而波遇到障碍物时可以偏离原来直线传播,这也是产生衍射最根本的原因,可以看图,把波想象成水波,波即使从小孔传输过去后,会向外一圈一圈散发而不是直线,再遇到小孔时候,由于每个波的相位不同,假如周期相差nλ,则振幅叠加,形成相长干涉。若相位刚好=(n+1/2)λ,则振幅为0,会形成相消干涉。前面我们也提过散射和衍射的关系,这里再提一下,当做复习:1)散射是光(电磁波)对实在物体(粒子)对的相互作用的结果,而衍射一般则用于没有物体,比如说空孔对光(电磁波)的相互作用的结果;2)从相干性来看,散射一般不论相干与否、弹性与否,是个总称。而衍射则是强调了相互作用后相干性的特点;3)从散射的空间分布来看,不强调某个特定方向的时候泛说散射,而要强调某个特定的模式、方向的分布时则说衍射。

干涉和衍射

波的合成
1.5 布拉格方程
衍射的概念说完,就要看X射线的衍射是如何产生的了,假如有过了解XRD,都应该知道布拉格方程,假如不知道也没事,衍射的产生主要可以根据布拉格方程理解,是布拉格父子推导出来的,简化了劳厄方程,使之更适合非物理专业的同学理解。那我们就先看公式:2dsinθ=nλ。这里对布拉格方程做个简单的解释:我们已经知道X射线是具有波动性的,同时也知道晶体的结构是具有一定周期性结构的,周期性原子之间或者原子组成的晶面之间也是有间距的。先复习下前面说的X射线和物质的作用部分,X射线作用到原子的电子层上主要是发生散射和吸收,对衍射有帮助的作用是散射中的相干散射(汤姆逊散射)。即X射线作用到原子的电子层上,电子吸收X射线,接着向外发出不同方向的同频率振幅的X射线。电子散射出X射线,原子含有很多电子也会散射出X射线,晶胞含有很多原子,也会散射出X射线。具体电子-原子-晶胞直接的X射线是如何有小到大叠加的,会受到哪些影响,我们会放到下一次分享衍射强度那块细讲。我们先直接默认最后晶胞散射出了X射线,然后来分别讨论一个晶面和不同晶面上晶胞散射X射线的效果。

现在我们挑选出与入射角线成2θ那个方向上的散射波。
先看同一晶面上的散射情况:看上图中的波1和1a,分别被p和k原子散射,产生的1‘和1a’位相是一样的,因为经历的路程是一样的,QK=PR,所以波和波之间是相加的。同样的,同一个晶面上的其他原子散射的2θ方向都是互相加强的
再看不同晶面散射的情况:我们看1和2分别散射到A和B晶面上,两条X射线之间波程差为ML+LN=d‘sinθ+d’sinθ。假如波程差为波长的整数倍,即2d’sinθ=nλ,则还是相互加强。n为反射级数。对于一定的d‘(晶体)和λ(不同靶产生X射线的波长),必然可以产生衍射的若干的角θ1,θ2.......n=1时,为第一级反射,就是波1’和2‘相差一个波长,同理,1’和4‘差3个波长。
这样不管是相同晶面还是不同晶面最终的X射线相位都相同,可以相互叠加,最终信号增加被检测到,在XRD图上呈现出峰,而其他的不符合的角度则相消干涉,称为XRD图上的基线。
1.5.1 衍射方向
我们已经知道了XRD图谱上的峰都是由于衍射才产生的,那么下面的问题就是为什么不同角度会产生不同的峰?这是由于每个晶体结构都有属于的晶系,每个晶系都有不同的晶面间距计算公式。每个晶面都有对应的hkl,把hkl带进公式里可以算出晶面间距,把晶面间距d带入布拉格方程(2dsinθ=nλ)可以得到一组关于θ,λ,a(晶格常数)的等式。当λ,a固定时候,就会有对应的θ,这就是XRD图上不同角度出峰的原因。不同晶系晶面数量不同,所以出峰的多少也不一样,立方晶系很简单,所以一般立方晶系的物质XRD峰就很少。
1.5.2 Laue方程和布拉格方程
前面提到劳厄方程,那么这里就简单说下两者的关系。布拉格方程只是对劳厄方程做了个总结和简化,我们可以用布拉格方程来理解一下劳厄方程。先来看下劳厄做的实验,α0为入射角,α为衍射角,波程差为α(cosα-cosα0),产生相长干涉的条件为α(cosα-cosα0)=hλ。由于晶体中原子是在三维空间上排列的,所以产生了衍射,所以必须满足三个方向的相长干涉才会产生衍射点。
即α(cosα-cosα0)=hλ,β(cosα-cosα0)=kλ,γ(cosα-cosα0)=lλ。这就是Laue方程,假如联立求解,就可以得到布拉格方程。

劳厄法

劳厄法的示意图
1.6 衍射方法
我们今天主要讲的衍射方法主要是粉末衍射法,但是还是把其他的衍射方法简单的介绍一下。按照衍射手段分为两种模式,一种是照相法,另一种是衍射仪法。照相法利用照相底片记录衍射点。衍射仪法利用X射线探测器记录强度,测角仪记录位置。测量单晶体衍射法有:用劳埃法、周转晶体法、四圆衍射仪法。测量多晶衍射方法有:粉末衍射仪法;德拜照相法。另外还有微区衍射、双晶衍射仪等。这里我们侧重讲多晶衍射方法,顺带介绍一下比较经典的劳厄法和周转晶体法。其他衍射方法自行找资料拓展。

衍射的类型
劳埃法:引言中已经讲过劳厄的故事,劳厄当年为了证明X射线波动性,准备了一个X射线光源,波长可以调,然后把单晶当成光栅,希望可以产生衍射点。如图所示,有反射和透射两种。单晶的特点是每种晶面只有一组,单晶固定到台架上晶面相对X射线方位已经固定,即θ角一定。由布拉格方程可以知道,θ固定之后,每个θ就只有一个波长能够产生衍射现象,就产生了不同的衍射斑点。


周转晶体法:布拉格父子觉得上面的劳厄法变化X波长太麻烦,而周转晶体法是利用单色的X射线照射晶体,晶体沿着某一个晶向转动,所以λ不变,改变θ,某个特定的角度就会产生一条衍射线,底片上会出现感光点。这种方法主要用来确定未知晶体的结构。
粉末法:这部分需要重点理解。转动晶体还是太麻烦,能不能固定波长,又不用转晶体,那就转动X射线。也就是我们平常最常用的方法,粉末法,利用平铺的粉末混乱的铺在样品台上,有无穷多个颗粒和晶面随机分布,每个晶体都有不同的晶向排列,在X射线处于某个角度的时候(2θ)时候,总有足够多的晶体的晶向可以产生相长干涉,产生衍射峰。这就是为什么不同角度出峰的原因。假如粉末研磨不均匀,某个晶面特别多,其对应的峰就会很高,这就是择优取向,后面制样会讲。

粉末衍射法

粉末衍射法
再来看下不同衍射方法的特点和条件,会对衍射方法整体的发展有所了解。

几种衍射方法的特点和条件
结语:本次分享主要讲了XRD的衍射部分相关知识,包括衍射的概念、类型,晶体几何的简单知识,重点介绍了布拉格方程的应用,相信大家已经可以回答开头提出的问题了:什么是衍射?X射线具体在晶格间是如何产生衍射的?为什么XRD图会在不同的角度出峰?XRD主要原理是什么?布拉格方程具体是如何推导的?有哪些其他衍射的方法?
下节课就是更加精细的分析关于XRD的峰的衍射强度相关知识,学完就可以回答:为什么不同的峰高低不同?为什么峰有的窄有的宽?峰形有哪些影响因素,是如何影响的。
S1E3 XRD原理-衍射强度
本系列的文章主要着重于粉末X射线衍射的相关知识。S1E0已经写过了粉末XRD整体学习框架,简单交代了学习背景以及学习难度;S1E1我们讲完了X射线的原理部分,已经可以回答了下列问题:什么是X射线?X射线怎么产生的?为什么要用X射线做衍射?X射线跟物质有哪些作用?S1E2我们讲完了衍射的基本知识,已经可以回答了什么是衍射?X射线具体在晶格间是如何产生衍射的?为什么XRD图会在不同的角度出峰?XRD主要原理是什么?布拉格方程具体是如何推导的?有哪些其他的衍射的方法?
由于本人水平有限,所以讲的内容可能有错误的、遗漏的、片面的地方,恳请大家在评论区批评指正,会及时修改错误。
本次分享的内容是更近一步来讲衍射的强度部分知识,这部分知识其实是做XRD精修前需要了解的基本知识的一部分,主要侧重于峰形的影响因素以及如何影响的。学习完毕后可以回答这些问题:为什么不同的峰高低不同?为什么峰有的窄有的宽?峰形有哪些影响因素,是如何影响的?
今天讲的内容框架如下:

本章框架
1.1 引言
前面衍射方向部分已经用布拉格方程解释了不同晶系不同晶面会在不同位置出峰,即θ角的出峰在λ一定的情况下取决于晶面间距d,衍射方向反映了晶胞的大小及形状。对于大多数只做物相分析(具体物相分析的步骤我在后面章节会仔细讨论,这里暂且先讲原理部分)的同学,就是只通过XRD谱图拖到jade或者EVA里对一下标准卡片,只需要知道材料是否合成成功,是否有其他杂质。那么只知道布拉格方程就可以了。但是XRD谱图其实还包含了一些其他信息,比如我合成的样品已经合成出来了,但是晶粒尺寸怎么样呢?有没有晶格畸变?具体某种物质有没有掺杂进去,掺杂了多少?就可以通过XRD的强度信息来得到初步结论。衍射强度是布拉格方程无法描述的,在材料的定性分析、定量分析、固溶体点阵有序化及晶体畸变分析等其他信息时候,往往需要更多的信息,这些信息都是从衍射强度中获得的。这就涉及到XRD的精修处理。学习XRD精修处理需要一些基础知识,这节主要就是讲一些XRD精修的基础知识的一部分。可能比起前面部分会有点深入,建议入门XRD精修的同学看一下就好。只做物相分析可以粗略看一下,看下次分享的操作及分析部分。

XRD图除了物相分析外的其他信息
那我们接着来说衍射强度,在XRD谱图中,为什么我们看到的XRD峰有高低以及或窄或宽的峰形呢,从结构方面可以说这是由于晶体不仅晶格常数不一样,而且组成晶体的原子个数原子种类以及原子在晶胞中的位置不同造成的。即不同的原子种类和原子位置表现为XRD峰的高低,这类信息统称为衍射强度。但其实还有其他很多因素,比如温度、仪器、结晶性、晶粒尺寸、微观应力等一系列因素导致。在X射线衍射仪测量平板状粉状晶体试样, 试样厚度足够时得到的粉衍射累计强度。

衍射强度总公式
式中 I0为X线束,λ为其波长,m,e为电子质量和电荷,C为光速,R为衍射仪测角台半径,Nc为单位体积晶胞数,V为被照射体积,F(hlk)为结构因子,n为反射面的多重性因子,A(θ)为吸收因子,μ为线吸收系数,e^-2M为温度因子, A(θ)前面那个复杂分式是角因子(极化因子和洛伦兹因子)。
我们今天只是介绍一些常用的,内容框架分为结构因子、多重性因子、洛伦兹因子、吸收因子、温度因子。
1.2 结构因子
影响衍射强度的因素有很多,其中一个很关键的就是结构因子。结构因子就是定量表征原子个数、原子位置以及原子种类对衍射强度影响规律的参数。是消光规律产生的原因。也可以解释为什么XRD谱图中的峰有的比标准卡片上的少,有的峰比标准卡片上的低。那具体原子种类和原子位置原子个数是如何影响的呢?表现为哪个参数呢?我们需要从一个电子出发,到一个原子,再到晶胞,来细致的分析一下晶胞的衍射强度,具体且看下面介绍。
1.2.1 简述
我先来简述一下原子位置、原子个数、原子种类是如何影响衍射强度的。
原子位置是如何影响峰强的呢?举个简单的例子说明。如图,两个晶胞都具有同种原子,区别仅在于其中有一个原子移动了向量1/2c的距离。现在看(001)晶面的衍射情况。如图3-3(a)表示恰好在θ方向有衍射出现。但是3-3(b),中间多了个(002)原子面,假如1’和2‘的波程差为λ,则3’和1‘波程差为1/2λ,此时就会产生相消干涉,假如b图情况足够多,则相消干涉可以持续下去,直到001的反射强度为零,也就是不显示出峰强。

原子种类是如何影响峰强的呢?例子和上面类似,假如将A原子换成B原子,由于原子种类不同,原子的电子层和X射线的作用也不同,即对X射线的散射不同,那么干涉后1’和2‘可能就会有一定程度的相消干涉,就会造成衍射强度的减小甚至消失。
原子个数是如何影响峰强的呢?例子和上面还是类似,当晶格中多了一些原子或者少了一些原子,也就是产生缺陷、空位。那么也会对衍射的作用产生影响,影响最后峰的强度。
1.2.2 详述
我们再详细的叙述一下结构因子。想要对结构因子的本质理解需要按照X射线在一个电子上的散射强度,在一个原子上的散射强度,在一个晶胞上的散射强度来逐步分析推导。
- 一个电子对X射线的散射。
根据电磁波理论,原子对X射线的散射主要是核外电子而不是原子核引起的。因为原子核质量很大,相比之下电子更容易受到激发产生振动。
X射线与电子作用,发生汤姆逊散射(前面已经介绍过X射线和物质的作用),即电子绕其平衡位置受迫振动,放出与入射射线波长相同的电磁波,也就是X射线在电子上产生了波长不变的散射,因为相位差恒定,所以也是相干散射或者叫弹性散射。
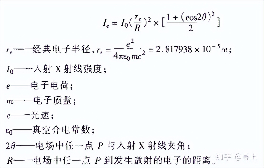
被电子散射的X射线是射向四面八方的,强度I的大小与入射束的强度和散射的角度有关,一个电子将X射线散射之后在距电子为R的强度公式如下。非相干散射对衍射没有效果,但是会带来背底,不多讨论。

一个电子将X射线散射之后在距电子为R的强度公式
我们可以根据公式来看电子对X射线散射的特点。1 散射线强度很弱,约为入射强度的几十分之一;2 散射线强度与到观测点距离的平方成反比;3 在2θ=0时,散射强度最强,2θ=90°时,强度为2θ=0时的一半。 1+(���2�)22
由于X射线被电子散射后各个方向不相同,被偏振化了,偏振化的程度取决与2θ角,所以称这部分为偏振因子,也叫极化因子(polarization factor)。之所以放个英文是因为精修软件中通常会有相关参数调节,这里可以放下对应一下。

GSAS 2 polariz调整地方

GSAS 1 polariz调整地方
- 一个原子对X射线的散射
原子核虽然也有电荷,但是由前面散射强度公式可以知道散射强度和散射的粒子质量平方成反比,所以原子核引起的散射强度和电子比起来忽略不计。那么我们讨论原子对X射线的散射其实是讨论原子内多个电子对X射线的散射。
原子散射波是由各个电子散射波合成的结果,原子序数Z的原子的Z个电子按照电子云分布在原子空间的不同位置,所以不同位置的电子的散射波相位会有偏差,两个稍微有相位偏差的正弦波合成的还是一个正弦波,由于原子尺度远小于X射线的波长,所以相位不会是整数倍,所以原子散射波不会是电子散射波的叠加,但是也不会大到相消,通常是以电子散射波加起来再损耗一点的大小。具体的损耗大小需要引入系数 f (f<Z)来表示原子散射因子,f是考虑各个电子散射波的相位差之后合成的结果。数值上,f等于原子散射波与一个电子散射波振幅之比。

X射线受一个原子的散射

相位和振幅不同的正弦波的合成

原子散射因素曲线
- 一个晶胞对X射线的散射。
假如单胞中有N个原子,各个原子的散射波的振幅和位向是各不相同的,所以单胞中的所有原子散射波的合成振幅也不可能等于各原子散射波振幅简单相加,而是应当和原子自身散射能力(原子散射因子f)、与原子之间的相位差Φ,以及单胞中原子个数N有关。
如果单位晶胞的原子1,2,3,4...坐标为u1v1w1,u2v2w2...散射因子为f1,f2,f3..相位差为Φ1,Φ2,Φ3.....则相干散射合成的振幅A为下方公式:

结构因子公式
假如我们把这个公式带入到不同晶胞中计算,会发现只要(hkl)等于奇数,晶面其反射线将完全消失,这就是反射线消光规律。下图给了一下总结:

反射消光规律
设想一个晶胞内有异种原子存在的情况。此时,我们必须在F的求和公式中考虑各原子的原子散射因子f不相同。这样,即使对一种晶胞而言,如果是由异种原子组成将会得到与同种原子组成时不同的结构因子,因而消光规律和反射线强度都发生变化。实验中经常出现在某一种合金上原来不存在的反射线,经过热处理形成长程有序后出现了,这就是所谓的超点阵谱线。这种超点阵谱线出现的原因,就是晶胞内出现异种原子使F发生变化引起的。
1.3 多重性因子
解释完结构因子,已经知道消光规律,知道有些时候峰的高低可能是有结构因子引起的,但是为什么XRD谱图中峰的高度差别很大,有的很高有的很低?这就需要多重性因子来解释。晶体学中,把晶面间距相同、晶面上原子排列规律相同的晶面称为等同晶面。例如立方晶系{100}晶面族有(100)、(010)、(001)等。布拉格条件下等同晶面都可以参与衍射,衍射强度也越大。晶面个数对衍射强度影响的影响因子叫多重性因子,用P表示。P表示等同晶面的个数。如立方晶系{100}多重性因子个数为6,{111}多重性因子为8。
需要注意的是P值是按晶系的不同面不同的,如正方晶系的(100)和(001)面间距不同,所以(100)P值为4.各类多重性因子可查阅下图。

粉末法的多重性因素
1.4 洛伦兹因子
为什么XRD谱图中的峰会有峰宽或者说峰形?有的峰底部非常的宽?这是由于实际晶体不一定是完整地,实际X射线波长也不一定绝对单色,入射的角度不一定完全平行,所以当满足布拉格方程时强度最大,但是偏离一定角度时候也有强度。此时的强度和入射角度、参与衍射的晶粒数等有关。我们可以用洛伦兹因子来表示。而具体是如何影响的,我们从三个部分来讨论一下,分别是晶粒大小影响、晶粒数目影响、衍射线位置影响。
1.4.1 晶粒大小影响
我们在讨论布拉格方程时候,实际上默认晶体无穷大,而实际上并非如此,当晶体很小的时候衍射情况会变化。

晶体大小对衍射强度衍射影响
晶体很薄\小时,消光要多个晶面相消干涉,若晶面数目很少时,相消过程不完整,会导致有些应该相消的衍射线重新出现。
那具体是偏离布拉格角大小多少时候峰宽结束呢?假如晶体有m层,角度偏离θ1时候,恰好第一层和第m层相位为λ,那么中间一层与第一层相位就为1/2λ,那么就会消光,分别是1层和m/2层、2层和1+m/2层、3成和2+m/2层.....此时就会消光也就是峰宽结束,所以峰宽偏离到此刻的2θ1.

假如晶体很小那么可能很宽还会有峰强。所以半峰宽和晶粒尺寸有关系,可以用谢乐公式表示:

其中,β为半峰宽度,即衍射强度为极大值一半处的宽度,D代表晶面法线方向的晶粒大小;k为形状因子,对球状粒子 k=1.075、立方晶体 k=0.9,一般要求不高时就取 k=1;测定范围为 3-200nm。谢乐公式在实际应用中,一般用来计算晶粒尺寸,前面已经说过测量的范围和不同粒子k的取值,另外需要说明的是,用TEM来看晶粒大小会更加准确和直观。
1.4.2 晶粒数目影响
在晶粒完全混乱分布的条件下,粉末多晶体的衍射强度与参加衍射晶粒数目成正比,而这一数目又与衍射角有关,也将这一项称为第二几何因子。
1.4.3 衍射线位置影响
在Debyc-Scherrer法中,粉末试样的衍射圆锥面与底片相交构成感光的弧对,而衍射强度是均匀分布于圆锥面上的。正如图3-12所示的那样,圆锥面越大(θ越大)单位弧长上的能量密度就越小,在2θ=90°附近能量密度最小。我们常用的是粉末衍射仪分析法,所以这个影响了解一下即可。

1.5 吸收因子
影响衍射线强度的另外一种因子就是试样对X射线的吸收。由于试样形状和衍射方向的不同,衍射线在试样中穿行的路径便不相同,所引起的吸收效果也不一样。普通的XRD衍射仪制样通常是平板制样,还有一些衍射仪的制样方法可以是消除择优取向的毛细管制样方法,用的是圆柱制样。这两种方法对X射线都会有吸收,我们分别讨论一下。
1.5.1 圆柱试样的吸收系数
图3-14的(a)(b)中画出的是试样的横截面。图(a)中的ABC为在B处以小角度发生衍射的情形DEF为在E点产生背反射的情形。显然在上述两种情形中射线的行程分别为AB+BC和DE+EF是不同的。X射线在试样中的行进过程中必然会被试样吸收,从而导致衍射线强度的减弱行进的路程不同强度减弱的程度也不同。对棒状试样θ越小吸收越严重。对吸收系数大的材料如图3-14(b)所示只有那些从试样上端或下端衍射的衍射线才较容易到达底片(特别严重时一条衍射线可以被试样劈裂成两条)。而背反射谱线只是由试样左侧薄层产生的。

1.5.2 平板状试样的吸收
对于平板试样来说,X射线照射的角度越小,照射面积就越大,照射深度也越浅;反之,照射角度越大,照射面积就越小,其照射深度就越大,所以,二者的照射体积相差不大。当人射线与反射线的角度相等时(即在衍射仪的0~2θ连动条件下)对于无限厚的板状试样,衍射强度为下面公式所示。

式中I0为入射X射线强度,μ为吸收系数,a为参加衍射的晶粒的百分比,b为晶体对X射线的反射能力,指单位体积的晶体将入射线能量反射成反射线能量的比率。至此,我们可以得出结论,对于无限厚的平板试样,在入射角与反射角相等时吸收因子角度无关。
事实上,无论怎样,吸收是不可避免的,吸收越大强度越低。这里要注意的是,吸收对于所有反射线的强度均按相同的比例减少,所以在计算相对强度时可以忽略吸收的影响。
1.6 温度因子
在推导布拉格方程时我们一直认为原子在晶体中是静止不动的。但是,在实际上原子是以平衡位置为中心进行热振动的,即便是在绝对零度时仍如此。例如,铝在室温下原子距平衡位置的平均距离为0.017nm,相当于原子间距(最近距离)的6%,所以,这一影响是不可忽视的。
具体有什么影响呢?温度升高引起晶胞膨胀,d改变(δd与材料的弹性模量E有关),导致2θ变化,利用这一原理可测定晶体的热膨胀系数。
衍射线强度减小因为热振动使原子面产生了一定的“厚度”于是在符合布拉格条件下的相长干涉变得不完全;特别是高θ角衍射线所受的影响更大些,因为高角的衍射系由d值低的晶面所产生的,晶面变“厚”引起的相对误差更大。
产生向各个方向散射的非相干散射,把这种散射称之为热漫散射其强度随2θ角而增大。热漫散射使背底增强,因而导致衍射图形的衬度变坏。
但是热振动不会改变布拉格角,不会使衍射线条变宽,晶体直到熔点时衍射线条依然存在。考虑到上述这些影响在计算衍射强度时要在强度公式中乘上“温度因子”这一系数。显然这一系数是小于1。θ一定时,温度T越高,M越大,e^-2m越小,衍射强度1随之减小;T一定时,衍射角θ越大,M越大e^-2M越小衍射强度I随之减小,所以背反射时的衍射强度较小。
温度因子的公式为:


结语:
至此我们已经讨论完XRD谱图中的衍射强度,可以由结构因子、多重性因子、洛伦兹因子、吸收因子、温度因子来表示。这五个因子里面分别代表了晶胞内原子个数类型位置的影响、不同晶系的晶面多少的影响、晶粒大小数目的影响、试样对X射线吸收的影响、温度的影响。已经可以回答了前面提出的问题:为什么不同的峰高低不同?为什么峰有的窄有的宽?峰形有哪些影响因素,是如何影响的?当然,这些因素也只是介绍了一些并且都是简单的介绍,算是抛砖引玉,感兴趣的同学建议阅读相关教材和文献。
这一节也是我们XRD原理部分的最后一节。学完你已经比大部分同学要懂粉末X射线衍射原理了。后面我将继续介绍XRD制样及操作、物相分析、数据库、绘图、以及简单精修的学习。下一章我将介绍XRD的制样及操作,概要如图。

下一章概要
S1E4 XRD制样及操作
本系列的文章主要着重于粉末X射线衍射的相关知识。上节我们已经讨论完XRD谱图中的衍射强度,可以由结构因子、多重性因子、洛伦兹因子、吸收因子、温度因子来表示。这五个因子里面分别代表了晶胞内原子个数类型位置的影响、不同晶系的晶面多少的影响、晶粒大小数目的影响、试样对X射线吸收的影响、温度的影响。
本节的制样及操作比较难讲,这是由于本人测试的实际经验局限于自己的方向,大多使用的只有粉末平板制样用XRD测试,以及在上海光源用毛细管制样用德拜法测过几次。至于单晶衍射本节本人不涉及。所以本节的篇幅主要侧重于粉末衍射平板测试及毛细管制样测试的原理、样品制备、测试条件选择、以及原位测试的拓展。本节内容制样部分选自于黄继武老师的教材以避免内容的缺失,这样需要不同测试条件、有不同样品、需要设置不同参数的人都可以寻找参考一下,所以整体篇幅会有些繁琐,不涉及自己制样过程和参数条件的部分可以不看。
由于本人水平有限,所以讲的内容可能有错误的、遗漏的、片面的地方,恳请大家在评论区批评指正,会及时修改错误。本节学完之后希望可以回答以下问题:XRD仪器大概组成有哪些?XRD品牌比较大的几家有哪些?样品制备有要求及原因?测试条件该如何选取?
本节框架如下:

本节框架
4.1 仪器简介
介绍仪器的原因是:一是对品牌有个大致了解,知道目前有哪些好的品牌,好的型号,不至于对行情一概不知,自己测试的结果发现峰又低,噪点高,很可能是型号过老,探测器过时等原因。二是知道XRD仪器的基本元件可以加深对自己数据的理解,仪器参数设置界面为什么有那么多参数,代表了什么,测什么样品应该对哪些参数进行调整之类。不用非常懂,但是要略懂,关键时刻可以专门查该方面知识。仪器部分大致介绍下图这些点。

4.1.1 XRD品牌
目前主要的衍射仪制造厂家有德国的布鲁克Bruker公司;日本的理学Rigaku公司;日本的岛津公司SHIMADZU;荷兰帕纳科PANalytical分析仪器公司;美国的赛默飞公司Thermo Fisher Scientific。目前国内主要是布鲁克和理学的仪器占比比较多。当然不同的仪器厂商会有不同的专利,数据采集、数据处理、结构精修等软件。比如布鲁克公司的探测器做的很好,配备了能量色散半导体二维阵列探测器,采集效率高,能量分辨率优异。
目前布鲁克的 XRD 能够做到在光路中不增加任何滤波片的情况下得到无 Kβ 衍射线的高信噪比数据,具有较高的探测效率。同时,其提供的自动光路切换方案能够实现从常规的 BB 几何测试(多晶粉末)到平行光几何(多晶薄膜测试)以及高分辨光路(外延单晶薄膜测试)之间的自由转换。目前其主推产品为 D8 系列,该系列产品具有集成好、模块化、支持拓展等优势。此外,布鲁克能够为用户提供其最新的数据处理、结构精修软件 TOPAS,该软件功能相对于开源软件优化更为强大,能够帮助用户更好的进行数据处理。
理学的产品相对于其他家产品最大的特色在于其采用了转靶技术。旋转的靶材能够承受更高强度的电子轰击而不出现熔断,因此能够提供更高强度的发射线束,对于低含量样品、微量物相、荧光背景较强样品、高温原位分析具有直接帮助。其目前市场上主推产品为 Smart Lab 系列产品,该系列产品具有较为人性的自动化设计,每个需要更换的光学器件都可以被仪器识别,可以避免错误更换光学器件,同时能够实现光路的自动调节。其新搭载的256 通道一维阵列探测器大幅提高了探测效率,并能够有效去除荧光背底,配合高功率转靶技术能够将测试效率进一步提升。
4.1.2 辐射源
目前实验室用的XRD基本都是由封闭的X射线管产生。具体原理前面以及讲过,大致就是用电子轰击金属靶产生X射线。靶材有Cr, Fe, Ni, Co, Cu, Mo, Ag, W.靶材料的原子序数愈大,X射线波长愈短,能量愈大,穿透能力愈强。下图是X射线分析常用阳极材料K系特征谱线与激发电压。其中kα1的波长就是我们测试的X射线波长。

X射线分析常用阳极材料K系特征谱线与激发电压
当然,还有其他的辐射源,比如细焦斑X射线管、转靶X射线光源、同步辐射光源等。
4.1.3 探测器
探测器是XRD的重要组成部分,主要作用就是将衍射的X射线能量转换为可供记录的电信号的装置。它接收到射线照射,然后产生与辐射强度成正比的电信号。有晶体闪烁计数器(NaI晶体等)、Si/Li半导体探测器(也叫固体探测器)、位敏探测器、CCD探测器(电感耦合探测器)、阵列探测器等。探测的发展大概是很早时候用的是AgBr胶片成像,在小黑屋里成像,后面开始使用光电倍增管闪烁计数器,再后面就开始用半导体探测器,CCD探测器,阵列探测器等一系列更加好的探测器。探测器的主要参数有量子计数率、分辨率、线性范围等参数。探测器各家都有各家的技术和专利,测试不同的数据也有不同的探测器,这里就是简单说下。下图是给了一些二维信号的探测器品牌和型号。

二维XRD探测器型号
4.1.4 光学元件
X射线衍射仪器中的光学元件的功能是增加X光的光通量、改善X光谱纯度、控制X光发散度,从而获得一定大小的入射X光,主要有狭缝、索拉光阑和晶体单色器等。还有反射镜平行光路系统和锥状毛细管等。假如是实验室的XRD,是利用特征光谱来获取特定波长的X射线,除了用滤波片筛掉不一致波长的X射线外,还需要准直器(索拉狭缝)来筛掉不一致方向的X射线从而获取同一方向同一波长的X射线束。出射也是如此。下图是平行光衍射几何的基本系统。

平行光衍射几何的基本系统
4.1.5 衍射装置
随着X射线源、探测器和光学元件的发展,为了满足不同实验的要求出现了不同的衍射几何装置。常见的有1,θ-θ衍射几何:样品水平放置,X光源和探测器转动;2,德拜衍射几何:与德拜照相相同,所不同的是探测器不再使用胶片而改用宽角度的位敏探测器或IP或CCD 探测器记录;3,显微微区衍射:采用细焦斑 X射线源,利用平面探测器收集衍射数据;4,掠入射衍射方法:X 射线与样品表面近于平行,主要适合于薄膜、表面界面结构等的衍射分析;5,时间分辨衍射:能在极短时间内得到衍射图,适用于对一些化学过程和陶瓷材料晶化过程等方面的研究。


德拜照相法

微区衍射及激光定位

掠入射衍射模式
4.1.6 测角仪、样品台
由于加工技术的提高(目前测角仪的精度可达0.0001°),出现了可移动式样品台,样品台上一次可装几个至几十个样品。还有旋转样品台,可消除择优取向对衍射强度的影响。尤拉环装置,可以实现多个自由度的动作,有利于物相定性定量分析、极图测试、残余应力测试、薄膜分析等。

测角仪

4.1.7 高低温附件
高低温附件是为了研究相变过程而开发的衍射附加装置。有超高温(室温至2500℃)、高温(室温至1500℃)、中温(室温至300℃)、中低温(室温至180℃)、低温(室温至-190℃)、超低温(室温至-260℃)等多种附件。反应室附件是将样品台设计为能提供一定气氛(空气、氩气、氮气、真空等)和温度的可供物质发生反应的空间,环境条件可调节,可在物质反应过程中实时测定反应物及生成物的物相。XRD厂家以及一些第三方公司都有卖这些附件。
4.2 样品制备
想要获得好的数据,必须明白回基本的制样方法和要求。当然每个人的样品种类不同,有粉末的,有块体的,有薄膜的等。所以也有不同的制样方法。我们在前面衍射原理部分大致介绍了峰位、峰强是怎么来的,假如忘了还请复习,我们的制备要求基本都是跟原理相关。这部分内容主要参考黄继武老师那本书,以及自己的一些经验。以下是本节框架:

4.2.1 粉末样品制备
4.2.1.1 粉末样品制备要求及原因
粉末样品制备的要求大概有三点。
一是粒度均匀,原因是不均匀的颗粒会遮挡衍射信号。
二是粒度保持在45μm左右。基本就是得用玛瑙研钵研细再测就好。原因是假如颗粒太粗,晶粒数目不够,根据前面学的原理,衍射信号是一个个晶胞共同叠加产生的,数目太少就会使衍射强度降低,假如做半定量,则会偏小。假如太细也有影响,小于10μm,会产生X射线的微吸收;小于100nm,会造成衍射峰的宽化。假如自己的样品不好研磨,或者担心研磨不够细,也可以用个200目/250目/300目的筛子筛一下,孔径分别是74um、61um、50um,当然真实筛的话,样品可能会更细。
三是样品量不少于0.5g。原因是颗粒数目太少会减少衍射强度,导致峰强降低,假如做半定量,则会偏小。假如一定要很少的量当然也行,就是做好强度低的准备。量很少的话尽量把样品放在中心位置,假如光束是矩形的长条,那你也把样品制成相应形状,总之就是要对准光束,使得光不浪费,产生尽可能多的信号。
4.2.1.2 粉末样品制备流程
流程基本就是制粉、研磨与过筛、粉末固定。
A,制粉就是挑选具有代表性的粉末。这就和抽样调查的方式一样,不能太偏颇,这个自己掌握。
B,研磨与过筛就是用玛瑙研钵研磨个几分钟,颗粒不大均匀即可,假如有筛子,可以用200目或者300目的过筛。

C,粉末固定有较多方法。有正压法、背压法、侧装法、撒样法、喷雾干燥法、气溶胶法、沉降分离法等方法。总体还是为了衍射强度更高以及避免择优取向,原理部分有写。方法主要用正压法即可。大家看完正压法可直接跳到下一节,
正压法流程:取0.5g粉末样品撒入玻璃样品架的样品槽,使松散样品粉末略高于样品架平面;取毛玻璃片(如用200目砂纸在载玻片上磨成粗糙表面),轻压样品表面;将多余粉末刮掉;反复平整样品表面,使样品表面压实而且不高出玻璃样品架平面。实验室一般都配有两种深度样品槽的玻璃样品架。当样品量较多时使用深槽(0.5mm)样品架,当粉末很少时,使用浅槽(0.2mm)的,可获得更大的样品面积。如果样品填不满样品槽时,应当将粉末撒在槽的中间位置。正压法的优点是制样简单,缺点是所制粉末样品存在一定的择尤取向,衍射强度与 PDF卡片上的强度1/1不匹配;如果样品中夹杂有粗颗粒,则不易制出平整的样品。正压法一般只适用于物相鉴定,不能用于定量分析。如果粉末的颗粒较粗,容易流动,可在样品槽底部抹一点石蜡油(化工店有售),或者在粉末样品中加入少量的挥发性液体也是可以的。
为了内容的完整性,其他方法大家也可以看看。
背压法流程:将带空心框的铝样品架倒扣在一块磨成粗糙表面的平板玻璃片上或在平板玻璃板上放一张320号砂纸再扣上空心样品架;将粉末从样品框的背面撒入框中,用拇指轻压样品,将粉末压实;将样品架翻转过来,取走平板玻璃片。背压法的最大优点是样品测量面紧密平滑光洁,与样品架表面严格平齐,可获得准确的衍射峰位值。如果使用光滑的平板玻璃作垫底,将产生严重的择尤取向,但采用毛玻璃或高标号砂纸作垫底时,粉末在自由落下时不会滚动,与正压法相比,可减少所制粉末样品的择尤取向,与PDF卡片强度匹配性较好。此方法既能获得好的峰位角又可用于定量分析。另外,如果样品中夹杂有粗颗粒或者粉末流动性较好,便于制样。缺点是制样稍麻烦,而且样品用量较多。
侧装法:该方法由美国国家标准局(NBS)提出。将铝样品架的一侧顶端切除掉,然后用两块玻璃片夹紧样品架,将粉末从样品架切口处轻轻倒入,压紧,移去两侧的玻璃片即可。侧装法的最大优点是样品没有择尤取向,满足定量分析的需要。缺点是样品难以压实,移去玻璃片时要注意样品撒落。
撒样法:撒样法要求“无反射”样品架,这种样品架既不能是像玻璃一样会在低衍射角区形成散射峰的非晶体,也不能是有衍射峰的材料。一般使用非晶硅片、非晶石英片或者高指数点阵平面的单晶硅片或其他类似材料制成的一个平板。对于前者,非晶散射峰不明显,可以忽略;对于后者,虽然是可产生衍射的晶体,但高指数点阵的衍射峰在很高的角度不在测量范围内(一般测量角度小于90°)。撒样法用于样品量很少的情况,直接将粉末撒在无反射样品板上,不加压。一般做法是,试样板面用少量水或酒精湿润(起黏结作用),然后用合适目数(300~350目,分样筛的目数指1英寸长度上筛孔的数目,数目越大,筛孔越小,325目的分样筛孔径约为45μm)的筛子将试样均匀筛落在试样板上。撒样法用于样品量很少的情况,样品的厚度可以控制。由于试样量很少,衍射强度很低,分辨率较差,需要降低扫描速度延长扫描时间以获得好的实验效果。
喷雾干燥法:将试样以约50%的比例与某种不会与样品发生化学作用及不会溶解试样的但较易挥发的液体与少量黏合剂(聚乙烯)和悬浮剂混合成浆状,然后将浆状物喷入一个加热室,形成雾状,浆状物中的液体在加热室中挥发,试样颗粒则自然沉降到置于加热室底部的一块无反射样品板上,得到可用的试样板。这样得到大小约为50um的由许多小晶粒聚集成的球形颗粒,在球形颗粒内的小晶粒的取向是随意的。
气溶胶法:将空气冲进一个装有粉末试样的抽空的管子,试样被冲起形成气溶胶,然后让其自由沉降在事先置于管子底部的无反射试样板上,获得可用的试样。此方法的样品用量只要300~1000μg
沉降分离法:将样品与某种不会与样品发生化学作用及不会溶解样品的液体在容器中混合成悬浮液,在容器底部放一块试样板,样品自然沉降到试样板上,不同颗粒大小的样品的沉降速度不同,故可进行粒度分离。若试样是不同材料的混合物,要注意不同材料比重不同而造成的分离。若要做物相鉴定,可用来浓缩低含量相,有利于其检出。若做定量分析,由于不同物相的密度不同,沉降速度不同,可能得出错误的结论。
4.2.1.3 平板制样的其他问题
A 少量样品的处理
一般X射线光管的射线光斑为1mmx10mm,投射到样品表面时垂直于射线方向的长度不变,固定为10mm,而平行于人射方向的宽度则随衍射角的增大而减小。为获得高角度较高的强度,一般将粉末样品固定于样品槽的中心部分,垂直于入射方向的长度为10mm。但是,如果实验目的是为了定量分析,则不宜这样做,因为此时衍射峰的强度比与标准相对强度1/I是不匹配的。做定量分析时必须做强度校正。
B 试样制备中带入的缺陷
X射线衍射要求结构完美的试样,即不存在使衍射线加宽或位移的各种缺陷,如应力、位错等。若试样经过研磨处理,则需要做适当时间的退火处理,以消除或减少各种缺陷。但是,如果退火处理改变试样化学和物理性状,则不可做退火处理。一般物相鉴定的样品也不需要退火处理。
C 有机样品的厚度
填样深度是为了保证在样品整个扫描范围都能满足无穷厚度的要求,以保证在整个扫描范围的衍射体积不变。对X射线具有不同吸收系数的试样,对样品的厚度要求不同。对于同一实验样品的实验,所有试样对称Bragg反射的填样深度应当相同。有机物主要由C、H、O、N等轻元素构成,对射线的吸收很小,故射线透入样品的深度较深。在高角度区,X射线在样品中的透入深度可达到2mm左右。因此,不应当使用带样品槽的玻璃样品架制样,可采用背压法制样,以保证衍射谱不受样品架的影响。另外,由于X射线在有机样品中的透入深度很深,衍射线信号不仅仅来自于样品表面,深层试样产生的衍射线是不聚焦在聚焦圆上的,使衍射峰加宽,降低分辨率,2θ测量不准确。可在有机样品中加人填料(如在低角度不会产生衍射峰的重金属粉末)以降低X射线在样品中的透入深度。但是,由于样品中参与衍射的有机试样量减少,衍射强度降低,需要降低扫描速度以获得高衍射强度。
D 易氧化潮解的样品处理
有些样品必须在手套箱中完成制样。一般方法是在样品表面用Kapton(聚酰亚胺薄膜)胶带封住。胶带的强衍射峰在20°左右,对于衍射范围高于此角度的样品,透明胶带不会影响实验结果。如果样品衍射范围正好包含此角度,可做一个透明胶带(空白样品)的衍射谱,两者相减可得到待测样品的实验谱。在粉末样品中添加石蜡油也可以起到与空气隔绝的作用。但会产生一个非晶散射峰。可以通过去背景扣除掉。
E 待测相富集方法
当某些物相含量较少时,它的衍射峰强度低,衍射峰数量也较少,查索引和核对衍射卡片,不易准确地判断。利用它们不同的化学和物理性质,对物相含量较少的矿物进行富积(除去杂质成分,使某一种矿物在样品中的质量分数提高的方法),再测量衍射图,能够得到物相较完整的衍射图,是准确地进行物相分析的有效方法
1)挑选法:不同的矿物,它的各种物理性质不同,如外观、形状、颜色,利用这些特点,用工具把少数外观、形状和颜色不同的颗粒分别挑出,使少量的矿物富积。
2)水解法:对黏土类矿物,利用它结晶尺寸小,遇水分解的特点,把黏土加水放入超声波振荡器中振荡,黏土中的高岭石变成很细的颗粒,把样品放入沉降管中,加入适量的水,让其自由沉降,定时移出细料浆,反复作若干次,可将大部分高岭石除去,而含量较少,遇水不分解和不溶解的矿物可以富积。
3)破碎分离法:作刚玉的物相分析时,由于杂质矿物含量少,并且分散较均匀,杂质和刚玉相互连在一起,而刚玉和杂质矿物硬度差别大,研磨样品时,硬度低和有缺陷的部位容易裂开,故细粒度颗粒杂质矿物含量较多,把研细的样品放入沉降管中自由沉降,定时移出细料浆,反复操作若干次,把细粒分离出来,可富积杂质矿物。
4)煅烧法:作有机磨具的填料定性分析时,填料含量较少,且与树脂、磨料黏结在
一起,把样品放入700℃马弗炉内煅烧1h,有机材料分解、燃烧、氧化,变成气体,仅剩下磨料和填料,而它们的粒度和密度不同,进一步分离,使填料富积。
在实际工作中,应根据样品的不同情况,采用适当的方法,使少量矿物富积,以便准确地进行物相分析。
4.2.2 块体样品制备流程
取样要有代表性。样品大小只需要有一个测量面。样品大小和样品框一致。至少不小于10mm*10mm。衍射强度和厚度、面积成正比。
研磨:测量面需要是个平板,不能有弧面。研磨用湿磨,先用粗砂纸再用不低于320号细砂纸磨。干磨会产生相变、氧化、应力等。
块体样品固定:铝空心样品架的正面(光滑平整面,朝下)倒扣在玻璃板上,将块体样品放人样品框的中间位置,测量面朝下倒扣在玻璃板上。再取“真空胶泥”粘住样品架和样品。如果样品很薄而且样品很小时,要特别注意胶泥不能露出测量面,否则,胶泥也会参与衍射,测到的衍射谱中有附加的胶泥衍射峰。
块体样品应用范围:块体样品由于存在各向异性,因此,一般只适用于物相的鉴定,而不适用于物相定量分析。但残余应力测量、织构测量和薄膜样品测量则必须是块体样品。
4.2.3 毛细管样品制备
实验室中的XRD粉末衍射用的都是平板制样,衍射方法都是基于布拉格方程。但是在一些仪器或者同步辐射测试过程中,用的都是德拜法(Debye-Scherrer)来测试。

德拜法(Debye-Scherrer)
此时用的装样品的工具是毛细管。这个毛细管不是平常实验室的测熔点毛细管。而是特制的装粉末样品的。形状像长颈漏斗,上头是大的敞口用来装样品,下面越来越细,并且是密封的。材质有特种玻璃,硼硅酸盐玻璃和石英玻璃等类型,专门用来测衍射,所以其材质相关指标也很严格。可以根据自己实验条件自行选择毛细管的材质、直径和壁厚。

一罐毛细管

毛细管的一些参数
装样品的方法是,夹一根毛细管到滴管中,将样品倒一些到称量纸上,再倒入毛细管的大头,将滴管垂直震荡压实,使得样品到达毛细管底部,用打火机烧断毛细管,保留1~2cm的尾部。将毛细管开口端装一点甘油或者用蜡封住,以避免粉末样品洒出,将毛细管固定在样品台。不同线站有不同样品台及测试方式,具体根据线站条件定。操作过程我有记录成视频,这里就不放了。
4.3 测试条件
4.3.1 波长

4.3.2 单色方法
X射线单色化和背底的消除对于微小峰的检测是一项重要的测试技术。正确选择滤波片可以大量吸收掉Kβ辐射,使Kβ变成一个很小的峰,其强度大致为同一衍射面Kα强度的1/100。但去除不掉逃逸峰和比K线波段长的连续X射线,试样发出的荧光X射线也有记录。
单色器是一个表面弯曲的单晶体,调整它的安装方向,使它表面的晶面正好与Kα。辐射产生衍射,而使K。可以通过。而其他波长的辐射由于不满足单晶衍射条件,而不能通过。因此,可以去除掉除特征射线以外的任何其他波长的射线。如K。衍射线、外部光源污染引起的微小峰,还能去除荧光X射线、连续X射线、逃逸峰等。所以,得到的数据背底较低且质量良好,对于原来就受荧光X射线影响小的轻元素试样或与靶有相同元素的试样来说单色器的效果就不大。
利用波长分辨率高的探测器和波高分析器的组合可以将X射线单色化。可能将康普顿散射去除,对于测定轻元素非晶的径向分布函数等工作是有效的。
如果使用高功率X射线辐射和单色器配合,则辐射波长的选择就不重要。
4.3.3 管压管流
特征X射线的强度正比于管压和最低激发电压之差的n次方,又正比于管流。管压小时n值接近于2,且随着管压的增加而变小。另外,在K。滤波方法中成为背底的连续X射线强度正比于管压的平方,且正比于管流。所以,对于各种不同的靶,有不同的最佳管压值,见表1-3。
根据靶的种类和发生器装置的最大容量决定最大管流值。对于密封管来说,管流一般为40mA。对于18kW转靶X射线管,管流一般为250~300mA。实际使用的功率应以小于额定功率的80%为宜。同时,管流过大时,灯丝温度高而使灯丝弯曲,造成衍射峰位移。

4.3.4 狭缝的选择
狭缝的大小对衍射强度和分辨率都有影响。大狭缝可得到较大的衍射强度,但降低分辨率,小狭缝提高分辨率但损失强度,一般如需要提高强度时宜选大些的狭缝,需要高分辨时宜选用小些的狭缝,尤其是接收狭缝对分辨率影响很大。每台衍射仪都配有各种狭缝以供选用。其中,发散狭缝的目的是为了限制光束不要照射到样品以外的地方,以免引起大量的附加的散射或线条;接受狭缝是为了限制待测角度附近区域上的X射线进人检测器,它的宽度对衍射仪的分辨力线的强度以及峰背比(衍射峰强度与背景强度之比值)起着重要作用;防散射狭缝是光路中的辅助狭缝,它能限制由于不同原因产生的附加散射进入检测器。
(1)发散狭缝DS
只要照射宽度不超过试样宽度(标准为20mm),DS宽度越宽,X射线强度就越强。但是,DS=4°的数据表明,衍射峰也会变宽,分辨率下降明显。
通常使用DS=1°的发散狭缝。在这种狭缝条件下,当入射角2θ=20°的低衍射角一侧 X射线超出试样范围,由于照射X射线量减少,衍射峰的相对强度会降低。有此物质的衍射峰在20°(2θ)以下出现很多,对这些物质的测定使用DS=1/2°的发散狭缝。
(2)防散射狭缝SS
切断外来的散射线,防止背底的增加,限制接收狭缝(RS)接收光的角度。使用与DS一致的狭缝大小。
(3)接收狭缝RS
决定接收宽度的狭缝。如这个宽度变成两倍宽,则积分强度也增加到两倍,衍射峰的分辨率降低,所以,当多条衍射峰互相重叠时最好不要使用太宽的接收狭缝。通常使用RS=0.3mm的接收狭缝
4.3.5扫描参数的选择
在聚焦法中利用2θ/θ连动的扫描使试样表面始终位干与聚焦圆相切的状态。能够获得高的X射线强度和分辨率。根据测角仪结构不同,有两种运动方式:2θ/θ扫描方式是光管固定不动,样品和探测器按1:2的角速度转动(图1-4):θ/θ扫描则是样品表面保持水平不动(图1-12a),光管和探测器相对于样品作等速相向运动。
在薄膜分析时用平行光束光路(图1-13)将0固定在某个低角度,进行20单独扫描,以获得一定深度的样品的衍射(图1-12b),是掠入射扫描的一种。图1-12c则是另一种特殊的扫描方式,称为w扫描,其作用是表征样品结晶状态。


(1) 定速连续扫描
试样和探测器按1:2的角速度比均以固定速度转动。在转动过程中,检测器连续地测量X射线的散射强度,各晶面的衍射线依次被接收。现代衍射仪均采用步进电机来驱动测角仪转动。因此实际上转动并不是严格连续的,而是一步一步地步进式转动的。这在转动速度慢时特别明显。但是检测器及测量系统是连续工作的。
连续扫描的优点是工作效率高。例如:扫描速度4/min(2θ),扫描范围为20°~80°的衍射图15min即可完成,而且也有不错的分辨率、灵敏度和精确度,因而对大量的日常工作(一般是物相鉴定工作)是非常合适的。一般理学的XRD都是这种模式的(也可能我见的比较少),这种仪器测试时候一般都是设置的每分钟测几度。
(2) 定时步进扫描
试样每转动一定的角度就停止,然后测量记录系统开始工作,测量一个固定时间内的总计数(或计数率),并将此总计数与此时的20角记录下来。然后试样再转动一定的步径再进行测量。如此一步步进行下去,完成衍射图的扫描。步进扫描也称为阶梯式扫描。布鲁克的D8系列XRD都是这种模式的,这种仪器测试时候一般都是设置每次走多少度(如0.01度),每次走多少秒(如0.2秒),最终的时间都是自动得出的。
(3) 步长的选择
用计算机进行衍射数据采集时,可选定速连续扫描方式,也可以选定时步进扫描方式。这两种方式都要适当选择采集数据的“步长”。采样步长小,数据个数增加;每步强度总计数小,计数误差大;但能更好地再现衍射的剖面图。采样步长大能减少数据的个数,减少数据处理时的数据量;每步强度总计数较大,计数误差较小:但若步长过大,将影响衍射峰形的再现。步长取衍射峰半高宽的1/5~1/10作基准。定性分析时把0.02作为基准。精确测定衍射峰形时取0.01°~0.005°的步长就够了。另外,步长的大小并不直接影响衍射强度,因此对于衍射较弱的样品,应调大每步积分时间提高强度而不是缩短测试步长。在Bruker D8 仪器中, 0.02°的步长就能够满足大多数材料全谱精修所需要的数据要求。

4.3.6 空气散射刀片的选择
在XRD谱图中,低角度的背景通常会很高,这是由于空气散射引起。所以一般会装防止空气散射的“刀片”。这个刀片会根据测试的角度不同而改变高度,从而降低空气散射。
4.4 原位高低温XRD
高低温台附件是可以提供不同温度及不同气氛下的XRD原位测试。具体温度和气氛及样品放置方式取决于附件的型号。目前我自己只知道布鲁克和安东帕是有高低温台卖的,其他的仪器厂商估计也会有。低温用液氮控制,大致能到100K。高温有到1200度的,1600度。

不同的加热模式
由于本人接触的也比较少,只局限于实验室的条件,目前只能提供安东帕的TTK600高低温台的测试方法分享,大致步骤是关高压-安装高低温台及气路连接-制样及放样-开高压-开水阀及高低温台-编程-测试过程-关高压及水阀-拆卸高低温台-数据分析。具体的步骤这里就不放了。基本买了都会用了。
结语
本节内容大致介绍了XRD仪器的整体介绍(品牌及元器件),样品制备的要求原因、粉末样品块体样品的制备方法、测试条件选取的方法及意义。希望大家看完可以回答以下问题:XRD仪器大概组成有哪些?XRD品牌比较大的几家有哪些?样品制备有要求及原因?测试条件该如何选取?
下一节我讲介绍关于物相分析的一些知识,比如数据库的介绍(ICSD,ICDD,JCPDS的关系),cif文件的*载下**途径,cif文件的基本介绍,二维XRD数据(衍射环)的校准和转换成一维XRD的方式(pyFAI),jade的基本操作,EVA软件的基本操作。

本系列的文章主要着重于粉末X射线衍射的相关知识。上节已经讨论完仪器品牌(布鲁克、理学等)的基本介绍、XRD制样(平板制样、毛细管制样)的相关注意事项、测试条件的选取、原位高低温XRD的简单介绍。
S1E5 XRD物相分析 晶体结构数据库
本节主要介绍XRD标准卡片的数据库的相关知识。包括标准卡片数据库的种类及发展历史、标准卡片数据库的使用方法、常用的标准卡片数据库软件和网站、CIF文件的*载下**方法(需要*载下**网站的可以直接跳到5.5节看)、标准卡片及CIF文件包含的内容、根据CIF模拟XRD标准卡片的方法等。
前面几节介绍都是比较侧重原理和理论,都可以在书本和文献中找到相应的知识点。而本节侧重于应用和方法,主要根据本人的一些经验来总结。因此所讲的内容可能有错误的、遗漏的、片面的地方,恳请大家在评论区批评指正,会及时修改错误。希望大家在学完本节之后可以回答以下问题:有哪些标准卡片数据库?应该如何使用标准卡片数据库软件?CIF文件包含哪些信息?CIF文件要如何*载下**?如何根据CIF模拟XRD标准卡片?
本节框架如下

本节框架
5.1 引言
在前面几节我们从X射线讲起,说到XRD如何产生、XRD图谱的峰位、峰强、峰形的意义、XRD如何测试。在测试之后,我们得到了某个物质的XRD图谱,那么要如何物相分析呢?也就是判断我们到底合成了什么物质?有没有杂质?这个时候就要根据标准卡片判断。由于不同的物质在结构上有不同的晶系、空间群、原子类型、晶胞参数等,因此每个物质的XRD图谱也是不同的,就像每个人的指纹一样都是特别的,可以根据XRD图谱的峰位置来判断到底是什么物质。
前面我们讲过,在很久之前,研究人员测试XRD是利用X射线打到物质上,在胶片上产生不同的衍射斑点(劳厄法)。因为不同物质在胶片上会产生不同的衍射花样,为了后续比对方便,便把纯相物质的一个个胶片制作成标准物质的“卡片”。每次测完之后,就和之前做的标准物质卡片进行手动比对。后面为了有更多的标准卡片,几个科研人员Don Hanawalt, Ludo Frevel 和 Sid Rinn等搜集了大量固体粉末衍射数据,在1938年整理发布了第一批1054种重要化合物的数据作为物相定性分析的参考。1941年,在美国材料试验协会(ASTM)赞助下,美国Dow Chemical公司将这批数据以3in×5in(76.2mm× 127mm)的卡片形式再版发行,称为粉末衍射档案(PowderDiffraction File,PDF卡片),合称第一辑(Set 1)。即使现在早已将之前的纸质版标准卡片数据库转换成电子数据库来保存,人们还是称之为“PDF卡片”。同时物相分析的方法也很简单,沿用Hanawalt建立的检索物相方法,主要就是收集物相的粉末衍射图、根据峰位和峰强算出出粉末衍射图中d-I(晶面间距d值和对应的衍射强度I)列表、采用XRD图谱的三强峰进行比对、然后再扩展到整个衍射图的比对来确定物相。
再后面,研究人员通过更加先进的手段,不仅测出物质的XRD图谱,还可以分析出其中的其他晶体学数据,如原子分布、原子位置等,于是便做出了一个CIF文件。CIF文件用处很大,在晶体、材料、计算化学领域都会用到。后续会仔细介绍。对于XRD而言,CIF文件也能转换成标准卡片来进行物相分析。
5.2 PDF卡片数据库介绍
不同的标准卡片数据库机构会购买科研人员做出来的卡片收到自己的数据库里,再通过卖给高校和机构来维持运行。不同机构会收购不同类型晶体的标准卡片,如无机晶体结构、有机晶体结构、金属有机材料结构、矿物结构等。
目前标准卡片数据库有ICSD(The Inorganic Crystal Structure Database,无机晶体结构数据库)、ICDD(International Centre for Diffraction Data,国际衍射数据中心)、CCDC(Cambridge Crystallographic Data Centre,剑桥晶体数据中心。里面的数据为CSD, The Cambridge Structural Database,剑桥结构数据库)、COD(Crystallography Open Database,晶体学开放数据库)、AMCSD(American Mineralogist Crystal Structure Database,美国矿物晶体结构数据库)等。这里只介绍一些比较大的常用的,当然还有一些网站可以查询,后面会再放。
5.2.1 ICSD(The Inorganic Crystal Structure Database,无机晶体结构数据库)(德国)
ICSD数据库icsd.products.fiz-karlsruhe.de/
ICSD是搜索无机晶体结构比较全也比较权威的数据库。里面可以*载下**到物质的标准卡片、CIF文件、原始文献等。但是ICSD的数据库需要学校或者机构购买,购买的数据库是网页版的ICSD,里面有最新一年的上传的数据。假如自己学校没有的话,也可以*载下**Findit2011软件,里面的数据库也是用的ICSD的数据库,但是只有2011年之前的(有的也可以操作成2017年前的)。
官方介绍:ICSD由德国的FIZ(Fachinformationszentrum Karlsruhe)和The Gmelin Institute (Frankfurt) 联合编辑,包含自1913年以来出版的已知的无机晶体结构,包含化学名和化学式、矿物名和相名称、晶胞参数、空间群、原子坐标、热参数、位置占位度、R因子及有关文献等各种信息。该数据库提供信息如下:* 纯元素,矿物,金属和金属间化合物的结构数据;结构描述(Pearson符号,ANX公式,Wyckoff序列);书目数据;合成条件。数据库中所有的晶体结构都已经仔细评估和检查。原始数据来自80多个核心期刊和1300个其他期刊。ICSD的更新每年两次,每次添加约3,500新记录。目前的ICSD有9141种结构原型,包含超过18.5万个条目,包括:2032种元素的晶体结构;34587种二元化合物记录;68064种三元化合物记录;66817种四元及四元以上化合物记录;约147,000个(80%)已指定结构类型的条目。

ICSD
5.2.2 ICDD(International Centre for Diffraction Data,国际衍射数据中心)(美国)
ICDD官网www.icdd.com/
ICDD前身是JCPDS,大家常用的Jade6软件用的数据库就是老版的Jade物相分析软件+JCPDS 02年前的数据库。现在也有Jade9+ICSD2017+PDF-2009的软件组合使用。当然,有钱还是可以让实验室购买正版软件使用,里面会有更全的数据库。
先来介绍下JCPDS。1969年,粉末衍射法进行化学分析的联合委员会更名为国际粉末衍射标准联合委员会(The Joint Committee on Powder Diffraction Standard,简称JCPDS),继续负责编辑出版粉末衍射卡集,简称PDF卡片集,卡片号码也改称JCPDS No.,仍沿用之前的编码格式。1971年,JCPDS出版至第21辑卡片已拥有21500种晶体材料的衍射数据及衍射花样。此后每年出版一辑,在每一辑出版的众多新卡片中,既有新物相的卡片,也有对某些旧卡片加以修正的新卡片。由JCPDS出版的标准衍射数据卡片称PDF卡片或JCPDS卡片。
再来介绍下ICDD的历史,1978年,为体现该工作的国际性,JCPDS正式更名为衍射数据国际中心ICDD(International Center for Diffraction Data)。由ICDD出版的标准衍射数据卡片称为ICDD-PDF卡片,至1986年,ICDD收录发行的PDF卡片超过了46000张,依然采用纸质卡片形式出版发行。1941年到1985年,随着衍射仪精度的提高,ICDD收录的PDF卡片精度也在不断提高,主要表现在晶面间距d值精度的提高 (5-6位有效数字)、采用NIST(美国国家标准局)标样定期校正X射线衍射仪的角度和精度、 数字化的强度信息、晶面指标化信息等方面。目前PDF卡片数据库数据不仅仅来自ICDD,同时也与世界上其他著名的晶体结构数据库合作,目前PDF数据库合作的数据库有:(1) ICSD;(2) CCDC;(3) NIST(National Institute of Science & Technology,国家标准技术研究所);(4) 莱纳斯·鲍林文件(Linus Pauling File,LPF, MPDS-Vitznau)。同时自1987年开始,ICDD和MDI(Materials Data,简称MDI,总部位于加利福尼亚州)以互补的方式进行合作,ICDD-PDF数据库和MDI-JADE联合起来使用。
官方介绍:国际衍射数据中心(ICDD)为非盈利的科学组织,致力于收集、编辑、出版和分发粉末衍射数据库(PDF数据库),主要用于结晶材料的物相鉴定。ICDD是全球X射线衍射领域的权威机构。PDF数据库覆盖面广,精度高,兼容性强,功能强大,涵盖30多个领域,是材料学、物理学、化学、地质学、药物学、生物学、检验检疫、司法鉴定等科学研究及工业生产等领域不可缺少的数据库,并赢得全球用户的信任和支持。PDF卡片为标准化衍射数据,所有数据经过严格质量审查、并给出质量标记,集合ICSD, CSD, NIST, LPF晶体结构数据库,是全球综合性的晶体学衍射数据库。

ICDD
5.2.3 CCDC(Cambridge Crystallographic Data Centre,剑桥晶体数据中心)(英国)
The Cambridge Crystallographic Data Centre (CCDC)www.ccdc.cam.ac.uk/structures/
CCDC也被称为CSD (剑桥结构数据库)。主要用来查询有机晶体和金属有机晶体的标准卡片和CIF等信息。CCDC有网页版也有软件版。目前网上有较新的(2021)破解版本的CCDC软件可以*载下**。很多做MOF或者其他金属有机材料的在对合成的XRD进行物相分析时通常是先*载下**CIF文件,再通过软件转换成XRD模拟谱图来对比。
官方介绍:CSD成立于1965年,是世界上小分子有机和金属有机晶体结构的储存库。这个独特的精确3D结构数据库包含来自X射线和中子衍射分析的100多万个结构,已成为全球科学家的重要资源。这是一个值得信赖,高度策划的资源。添加到数据库的每个条目都经过自动检查,并由我们的内部专家科学编辑人员手动管理。每个结构都富含化学表示以及书目,化学和物理性质信息,为原始结构数据增加了进一步的价值。这些编辑过程对于使科学家能够以化学上有意义的方式解释结构至关重要。确保CSD具有最高质量,使全球科学家能够对分子结构和晶体材料的性质和行为产生丰富的见解。这些新知识已应用于整个学术界和工业界,以追求新药,新材料以及对化学和晶体学现象的更深入理解。CSD不断更新新结构(每年>50,000个新结构),并且由于它是每年不断发展的数据库,我们还对现有条目进行了广泛的改进和增强。通过定期的网络更新和早期在线访问新发布的结构,您可以通过CSD轻松了解最新研究。CCDC 使您能够通过我们的 CSD统计和见解部分探索 CSD内部的内容。本节展示了数据库是如何演变的,我们的顶级作者是谁,并提供了一些关于小分子结构化学方向的见解。您还可以在此处找到有关我们通往一百万个结构的更多信息。CSD中的单个结构可以使用CCDC的免费访问结构服务进行查看和检索。通过访问结构,您可以查看2D和3D数据集,查看有关结构的一些基本信息并*载下**各个沉积的数据集。更高级的精选信息以及 CSD 的高级搜索、分析和可视化可通过CSD 系统和更高级的 CSD-Enterprise 套件获得。

CCDC
5.2.4 COD(Crystallography Open Database,晶体学开放数据库)
Crystallography Open Databasecrystallography.net/cod/browse.html

COD数据库的化合物很少,对于一些常见的物质都是有其CIF文件和基本信息的。虽然数据库很小,但是这个数据库是公开免费的。为一些仪器公司(布鲁克、理学等)提供基本免费的检索数据库。
COD数据库是从CSD、ICSD、CRYSTMET和ICDD在网络上免费提供其内容(晶体数据或粉末图案)的精简版。精该数据库捍卫的原则是,我们宇宙的天然或合成晶体样本中的原子位置是不受版权保护的。

COD
还有一些数据库本人不常用,这里就没放。后续在*载下**CIF的部分会直接放链接,感兴趣自己查下相关信息。
5.3 PDF卡片数据库软件介绍
一般来说,我们尽量把物相分析软件(Jade、EVA、Highscore,PDXL等)和标准卡片数据库(ICSD、ICDD、COD等)联用搜索,这样才能快速对材料结构进行定性物相分析。假如课题组会买正版软件当然可以(一年几万或者十几万)。但是对于大部分课题组都是没有这个需求和能力的。当然目前也有Jade9 + ICSD2017 + PDF-2009的软件组合使用的方法了,对于合成常用物质的课题基本够用。然而有些专注于合成新物质或者搞无机材料的课题组需要较新的结构数据的,或者专门*载下**特定物质的CIF文件的。这个时候只能单独使用一些数据库软件来进行检索。其中包括Findit2011软件(ICSD 2011年之前数据库);PDF2-2016(ICDD 2016年前数据库,PDF2和PDF4只有更新和功能上的一些区别);PDF4-2009 (ICDD 2009年前数据库);ICSD网页版(实时更新至最新)等。这边介绍一下一些软件的简单使用。需要软件的可以关注我后私聊问我要。
5.3.1 Fint2011(ICSD数据库2011年之前)
简单操作:0选择搜索方式。化学元素搜索、晶体学数据搜索、晶胞参数搜索、对称参数搜索、文献搜索等。1一般用化学元素搜索,挑选可能的化学元素,可搭配and, and not, or, or not等命令使用。2进行元素个数的限定。如2~6个,3~3个等。3点击搜索。
搜索后可以得到可能的物质列表,可以*载下**CIF文件获得原子坐标信息等。假如想要标准卡片的衍射峰,可以通过CIF文件用Vesta等各种软件提取一下。


5.3.2 PDF2-2016(ICDD 2016年前数据库)
操作方法和上一个一样,但是无法*载下**CIF文件,只能*载下**标准卡片。

5.3.3 PDF4-2009 (ICDD 2009年前数据库)
操作方法和上上个一样,但是无法*载下**CIF文件,只能*载下**标准卡片。



5.3.3 ICSD网页版(实时更新至最新)
ICSD数据库icsd.products.fiz-karlsruhe.de/
ICSD网页版其实是本人最常用的。但由于只有部分高校购买了版权,所以很多其他人是无法使用的。里面的检索方式有基本检索、高级检索和其他检索方式。常用的基本检索就够了。基本检索里可以通过元素周期表选元素,也可以直接输入。如:想要Na, Fe, Co元素,不想要 K, Ni元素,就可以直接输入Na Fe Co -K -Ni 。然后再运行。搜索后点击自己想要查看的化合物可以查询更具体的信息。



5.4 PDF标准卡片和CIF文件介绍
虽然平常我们使用PDF标准卡片只需要用角度和强度来画图,或者利用CIF文件来画晶体图和计算,但是PDF标准卡片和CIF文件里面包含的信息我们必须大概了解。
5.4.1 PDF标准卡片介绍
所有PDF采用标准化格式,主要涵盖以下物相信息:1.PDF卡片号;2.衍射三强线的面间距d及相对衍射强度;3.化学式,英文名称,质量标记等;4.衍射分析的实验条件:靶材,单色器,温度等;5.晶体学数据:晶系、空间群、晶胞参数、I/Ic等;6.光学及其他物理性质;7.物相其它资料和数据,试样来源、化学分析数据、处理条件、衍射温度、数据警告等;8.物相所有的衍射数据:面间距d、相对强度I/I1、晶面指数hkl等。
我们可以利用角度和强度来画XRD图。也可以通过PDF卡片里的信息来知道物质的空间群和晶系,不同峰对应哪个晶面。辐射的光源用的是铜靶还是钼靶还是同步辐射光源。这样用数据才能得心应手。

5.4.2 CIF文件介绍
晶体学信息文件(Crystallographic Information File, CIF)是是由国际晶体*联学**合会(IUCr)颁布的用于表示晶体学信息的标准文本文件格式。它包含了每个晶体的详细信息,如晶胞参数、原子坐标、文献资料等。它是进行晶体结构描述,解析,传播和表达时最常使用的文件格式,广泛应用于晶体结构绘图,XRD精修以及材料理论计算等各个方面,在材料科学中具有着重要的作用。各种晶体/材料/计算/绘图软件,如Vesta,Diamond,GSAS,Mercury,Materials Studio,都以晶体信息文件作为输入或者输出结果。因此认识和获取CIF文件就显得极为重要。
我们可以用记事本打开.cif的文件。CIF包含的信息要比PDF卡片的信息要多,因为PDF卡片的信息可以用CIF来转换出来。关键就是因为CIF文件含有原子坐标,相当于是个立体的结构。操作性就会很大,可以画图、计算、拟合等等。其中CIF文件包含了:1. CIF文件的*载下**来源,编辑和使用信息;2. CIF文件的数据编号以及CIF文件文献来源,包括作者名称,题目,杂志名称,页码,DOI等信息;3. 晶体的结构信息,包括结构式,各个原子及其数量,空间群编码,晶系(cubic),空间群(Fm-3m),晶胞夹角(alpha, beta, gamma),晶胞包含的分子数Z,晶胞尺寸(a, b, c),晶胞体积(volume)等信息;4. 晶体中的对称位置及其坐标信息;5. 各个原子的参数信息,其中第1部分的描述分别竖排对应第2部分的信息,依次为:标签,符号,多重性,Wykoff标记,原子坐标(x, y, z),占位度,吸附的氢和原子位置计算标记;6. 原子的类型及其价态。

5.5 PDF标准卡片和CIF文件*载下**
由于CIF文件的内容比PDF卡片的内容要多,只要有了CIF,基本就可以得到PDF卡片的信息。所以*载下**方式先讲只能*载下**PDF卡片的方式,再讲CIF的*载下**方式,CIF到PDF卡片内容的转换就放到下面讲。
5.5.1 通过Jade来*载下**PDF卡片
Jade作为最常用的物相分析软件,在和不同的数据库(ICSD、ICDD)进行联用时,都会把数据库转换成不同的相图保存,即使原始的数据库软件不太好导出PDF卡片,但是用Jade都能导出。所以可以通过jade先搜出对应的物质,再双击物质,在弹出的窗口保存txt文件就是PDF卡片。也可以在物相分析的过程中双击打开PDF卡片窗口。这种方法找PDF卡片最常用,具体方式见下图。





5.5.2 通过PDF4-2009或者PDF2-2016软件等拷贝PDF卡片
虽然这两个数据库无法*载下**CIF文件,但是看看PDF卡片的信息还是可以的。通过搜索特定化合物,来将角度和强度直接复制下来作图也不失为一种方法。具体方法见下图。

5.5.3 通过ICSD(The Inorganic Crystal Structure Database,无机晶体结构数据库)*载下**CIF
ICSDicsd.products.fiz-karlsruhe.de/
前面已经提过,这里再说一遍检索方法。检索方式有基本检索、高级检索和其他检索方式。常用的基本检索就够了。基本检索里可以通过元素周期表选元素,也可以直接输入。如:想要Na, Fe, Co元素,不想要 K, Ni元素,就可以直接输入Na Fe Co -K -Ni 。然后再运行。搜索后点击自己想要查看的化合物可以查询更具体的信息。


5.5.4 通过COD(Crystallography Open Database,晶体学开放数据库)*载下**CIF
Crystallography Open Databasecrystallography.net/cod/browse.html

打开网站后,按下图步骤即可搜索。


5.5.5 通过CCDC(Cambridge Crystallographic Data Centre,剑桥晶体数据中心)网页或者软件*载下**CIF
The Cambridge Crystallographic Data Centre (CCDC)www.ccdc.cam.ac.uk/structures/
CCDC主要针对有机物和金属有机物。具体搜索方式见下图。


5.5.6 通过AMCSD(American Mineralogist Crystal Structure Database,美国矿物晶体结构数据库)*载下**CIF
AMCSDrruff.geo.arizona.edu/AMS/amcsd.php
美国矿物协会晶体结构数据库主要是一些矿物学的晶体数据。该数据库包括发表在《美国矿物学家》、《加拿大矿物学家》、《欧洲矿物学杂志》和《矿物物理与化学》上的每个结构,以及来自其他期刊的精选数据集。该数据库由美国矿物学会和加拿大矿物学协会管理,并由国家科学基金会资助。搜索方式见下图。

5.5.7 通过MP(Materials project)*载下**CIF
Materials Projectmaterialsproject.org/

Materials project是加州伯克利大学劳伦斯实验室及麻省理工学院等单位组建的一个网站。这个网站对于计算化学的人来说是很强大的*器武**。根据已知材料及超级计算机来研究各种材料的性质。*载下**CIF的方法如下。


5.5.8 通过springer materials 数据库*载下**
SpringerMaterialsmaterials.springer.com/
用的比较少,这里就放一下。

5.5.9 通过ICDD (International Centre for Diffraction Data,国际衍射数据中心)*载下**CIF
部分实验室买了正版软件的可以*载下**。本人没用过,这里只是放一下。
5.6 CIF文件到模拟PDF标准卡片的转换
上面给了很多*载下**CIF的方法。那么通过CIF如何查找PDF卡片的信息呢(角度、强度、晶面等数据),如何通过CIF转换成不同靶材的模拟的XRD衍射图呢?其实晶体学软件都可以做到。如Vesta,Diamond,GSAS,Mercury,Materials Studio等都可以。这边就简单列两个就行,其余软件摸索一下就会了。
5.6.1 VESTA转换数据方式
Vesta这个软件是本人最常用的。因为这个软件很小,功能很全,操作很简单,不需要复杂的绘图。处理无机晶体比较友好。具体转换数据方式如下。





5.6.2 Diamond转换数据方式
Diamond在晶体绘图上非常的好用。其将CIF文件转换成标准卡片的方法如下。

结语
本节介绍了XRD标准卡片的数据库的相关知识。包括标准卡片数据库的种类及发展历史、标准卡片数据库的使用方法、常用的标准卡片数据库软件和网站、CIF文件的*载下**方法、标准卡片及CIF文件包含的内容、根据CIF模拟XRD标准卡片的方法等。
下一节将介绍一下物相分析软件Jade和EVA的简单使用
S2 pyFAI软件的安装和简单使用 处理2DXRD数据
今天介绍一个软件pyFAI。可以用来将2D的XRD数据校准并转换成1D的XRD数据。其中包括pyFAI的安装以及简单使用。用这个软件的原因是在上海光源得到的二维衍射数据是CBF格式的,而Fit2D无法处理这个格式的数据。故用此软件进行处理。
一、pyFAI软件介绍
PyFAI是一个python库,可以用于区域探测器获取的x射线/中子/电子散射数据的方位集成数据。软件提供了校准实验装置的工具,可以根据样品和入射光束来定义探测器在空间中的位置。软件还可以将批量将2D的XRD数据校准并转换成1D的XRD数据。
详情见:https://pyfai.readthedocs.io/en/master/pyFAI.html
二、pyFAI软件可以处理的数据类型
主要用来处理tiff、cbf、edf、esper、img、dm3、hdf5、mar2000、mccd、f2d等一系列图像格式数据
三、pyFAI软件的安装
- 去python官网*载下**最新版python
- 安装时候把环境变量勾上,假如没有就装完自己添加,具体什么是环境变量以及如何安装环境变量可百度
- *载下**anaconda,安装时候勾选环境变量。(Anaconda可以便捷获取包且对包能够进行管理)
- 在开始菜单搜索anaconda,找到并打开anaconda powershell 命令。
- 输入pip install pysaxs 回车,即可安装pysaxs、pyFAI两个软件
- 输入pyFAI-calib2 回车,即可打开pyFAI校准窗口
- 输入pyFAI-integrate 回车,即可打开pyFAI积分窗口
- 安装视频教程:https://www.bilibili.com/video/BV16F411a7Nz/
- 校准(calibrate)
四、pyFAI简单使用
1.1 打开软件。
打开anaconda powershell 输入pyFAI-calib2 回车
1.2 Experiment settings:
- 导入文件image file;
- 选择探测器(Dectris-Pilatus-2M);
- 注意探测器的size和导入文件大小保持一致,假如不一致,后续会报错;
- 输入能量或者波长;
- 选择校准物质LaB6;
- 假如图像看不清可以设置一下颜色,推荐使用colormap(颜色格式)选择Viridis,normalization(归一化)选择Arcsinh;
1.3 mask(蒙版/掩膜)
- 蒙版的作用:个人理解是处理数据前调整一下图像,遮住错误的像素,光束阴影,使得后面处理图像更加容易。官方解释:绘制一个蒙版,即包含无效像素列表(无闪烁,模块间隙,光束阻挡阴影,…)的图像。这将打开一个PyMca窗口,让你用不同的工具(笔刷,矩形选择,…)绘制第一张图像(提供的)。当您完成时,回到控制台并按回车键。掩码图像被保存到文件中。
- 用多边形工具遮住光束阴影,用圆形工具遮住光束中心。
- 使用阈值来屏蔽一些像素。点击threshold的几个按钮,按需设置,设置完按mask below确定。我没设置。
- 保存蒙版文件,格式可以用EDF/TIFF。可以不急着保存,后续还会有操作还调整蒙版。全部调好再保存,后面积分步骤会用到。
1.4 Peak picking
- 目的:把衍射环标出来。是为了下一步的拟合光束中心用。
- 拟合方式:用第一个环形工具或者第二个弧线工具来标记环。此工具会自动把环标出来。(我猜测应该是利用寻找相同像素的方式来找环)
1.5 Geometry fitting(拟合光束中心)
- 根据上一步的衍射环来拟合光束中心。点击fit。从而得到Distance(光束到探测器距离)、PONI、rotation(探测器的偏转角度)
- 假如发现拟合的中心肉眼可见不太对,则回到上一步重新调整衍射环。
1.6 cake&integration
- 根据衍射环的位置积分出LaB6的一维XRD。假如发现有一些未知的峰,右键标记,再回到Mask的步骤用几何形状遮住标记的无效像素。再回来拟合。
- 可以调整积分算法。bounding box。如any+CSR+cython
- 假如发现衍射线点数太少。可以调整radial points。来让曲线更平滑(如把2014改成4000)
- 保存仪器参数文件。save PONI file。后面积分过程中会导入
- 保存LaB6积分曲线。
1.7 积分(integrate)
- 打开软件。打开anaconda powershell 输入pyFAI-intergrate 回车
- 调整窗口大小
- 导入仪器参数文件(PONI格式)。点击import from file,导入校准过程中保存的仪器参数文件。
- 导入mask蒙版文件。勾选mask file,点击三个点,导入mask文件。
- 填写极化因子,勾选polarization factor,填写。(如:0.95)
- 填写积分曲线的2θ范围。勾选radial range,输入起止角度。
- 修改积分后的点数。点数=(终止角度-起始角度)*100
- 选择积分算法。如:any+CSR+cython。
- 选择需要积分的文件。点击batch processing。选择一个或者多个文件。积分好文件会自动保存在积分的文件目录下。
- 保存这次积分的各种参数,下次积分直接导入就可以不用重复填写参数。点击save config,保存文件。
五、其他:创建快捷方式
根据自己安装的位置找到pyFAI-calib*ex.e** 及pyFAI-integrate*ex.e**的位置,例如D:\anaconda\envs\pyfai\Scripts文件夹下可以找到。
右键点击pyFAI-calib*ex.e** 及pyFAI-integrate*ex.e**,发送到桌面快捷方式。即可在桌面直接打开。
